- 易迪拓培训,专注于微波、射频、天线设计工程师的培养
IGBT驱动关键技术研究
录入:edatop.com 点击:
摘要:为解决中、大功率等级IGBT的可靠驱动问题,本文提出了驱动电路的关键参数设计方案。同时,在变流器极端工况下研究了IGBT的相关特性,提出了极端工况IGBT的保护措施,包括IGBT栅极电压应力防护、VCE电压应力抑制、过流与短路等工况的保护措施及工作原理。对电压应力抑制的关键方案:有源钳位、高级有源钳位、软关断等特性进行理论分析,并给出解决实际问题的应用电路。通过双脉冲试验验证了文中提出的相关理论的科学性以及给出的解决方案的可行性。引言
绝缘栅双极型晶体管IGBT(insulated gate bipolar transistor)是一种将MOSFET(场效应晶体管)和GTR(电力晶体管)集成于一体的复合型器件。IGBT以其优良的开关特性、易于驱动触发、稳定的热性能、较高的电流承载能力、较高的阻断电压等优点,广泛应用于机车变流器、风能、光伏、UPS、变频器等领域。
IGBT在变流设备工作中承担着功率变换和能量传输的关键作用。据有关工程应用技术数据显示,由于IGBT损坏而造成的各类变流设备发生故障的概率超过90%。因此,IGBT的安全可靠应用问题已成为国内外相关领域专家、学者及工程技术人员的研究热点。IGBT的应用可靠性问题,相当大的比重在于其驱动可靠性及其保护的设计。本文以IGBT驱动为研究对象,从IGBT的驱动电路设计要点、栅极保护电路、电压应力防护以及过流与短路保护等方面展开,给出IGBT可靠驱动的理论分析及电路解决方案。
1 IGBT驱动关键参数
变流设备的核心器件IGBT在功率变换中起着关键作用。IGBT本身的工作特性,直接影响着变流器的性能,而直接影响IGBT工作性能的驱动电路,其设计的合理性也就决定变流器的各项性能指标。
第一,IGBT驱动电路要根据具体的IGBT参数设计驱动电路的功率,包括驱动的平均功率与瞬时峰值功率。驱动电路的功率直接决定其能否稳定驱动相应的IGBT,保证IGBT可靠开关动作。驱动电路的功率要根据IGBT具体规格而定,主要涉及栅极电荷QG。第二,IGBT的关断电流拖尾效应也是驱动电路设计所要研究的问题之一。采用负向的栅源电压可将IGBT快速关断,从而防止电流拖尾效应。负向的驱动关断电压也可抑制米勒效应,防止IGBT误导通。第三,要保证IGBT低的通态损耗,就必须使其在安全导通时有较低的饱和压降,这样就要求较高的驱动开通电压,但不能超过其限值±20V,因此,选择15V为开通电压。第四,要尽量减小驱动电路的功率,负向的关断电压大小可以有效优化驱动功率。过低的负向关断电压必然造成较大的驱动功率,因此,根据相关数据资料,选择负向10V的电压来可靠关断,且驱动功率也有所减小。第五,IGBT寄生参数对功率回路及驱动电路的影响也必须要重视,输入电容、米勒电容、输出电容等直接影响IGBT的开关动作特性及驱动电路的各项参数。图1所示为IGBT驱动电路的基本构成。

2 IGBT栅极保护分析
IGBT栅极G与发射极E间氧化膜厚度较小,极易由于过电压而击穿。一般的IGBT,其G、E间最高耐压为±20V,超过此电压范围将会损坏IGBT。为此,在驱动电路设计中增加此处的保护功能,保证IGBT安全可靠。
IGBT由于栅极过压而损坏的情况,一般有两种。第一,在变流设备出厂后的运输途中,或未投入运行时,由于静电电荷不断积累,G、E间的静电电压持续增大,当超过IGBT G、E间所能承受的电压范围后,将会击穿IGBT的栅极氧化膜,从而损坏IGBT。第二,IGBT在变流器正常运行中,由于电路中的电压、电流及磁场的突变,在G、E间产生电压尖峰,也会对IGBT产生很大的威胁。以上两个工况需要通过IGBT栅极保护电路设计来解决。第一,为防止静电电荷不断积累而使G、E间电压增大,在G、E间直接放电阻,将静电电荷释放,电阻值一般为10kohm。第二,采用G、E间增加TVS管(瞬变电压抑制二极管)来抑制电路中电流与磁场等相关物理量突变而引起的栅极过电压。或者,也可在栅极与驱动的正向电源上增加钳位的肖特基二极管来将栅极的电压尖峰释放在电源上。图2所示为IGBT栅极保护设计。3 IGBT电压应力抑制
有关数据表明,IGBT在其整个生命周期中,因电路中超过其所能承受的电压而击穿损坏的占整个IGBT失效类型的比例较大。为此,在IGBT驱动电路设计中,有关其过电压防护问题显得尤为重要。
IGBT出现过电压的现象主要由于电路中过大的电流变化率而导致,如式(1)所示。其中,VCE为IGBT集电极与发射极两端电压;Ls为电路中杂散电感;di/dt为IGBT电流的变化率,此处一般为电流的下降速率。由式(1)可见,关断电压应力大小主要取决于两方面:第一,电路中的杂散电感量;第二,电流的变化率。这两个方面直接决定应力的大小。因此,减小电压应力的方法有两种:第一,尽量减小线路中的杂散参数,即寄生电感量,但该方法的成效有限;第二,通过电路的设计,减小电流变化率,从而降低电压应力。本文中主要针对第二种方法进行研究。

(1)
对于电路中较大的电流变化,主要发生在电流较大时,IGBT的关断状态,包括变流器过流或短路等状态。为保证此刻IGBT关断电压应力不超标,就应该将电流变化率减小。流过IGBT的电流变化率主要由其关断的速度决定,因此,可以通过减小IGBT关断速度来减小电流变化率。而减小关断速度的方法一般有两种:第一,采用有源钳位的方法,当采集到电压应力过高时,利用相关电路将该信号反馈给栅极,即主动给栅极注入电流,使正在关断的IGBT再次开通,从而减小电流变化率,减小电压应力;第二,驱动电路中采集IGBT的电压应力,在电压应力过高时采用相关逻辑电路,将其缓慢关断,等效与较大的栅极驱动电阻值,从而减小电流变化率,进而减小电压应力。
图3为有源钳位电路工作原理图,由TVS管和恢复二极管构成。当集电极电位过高时,TVS被击穿,有电流流进门极,门极电位得以抬升,从而使关断电流变化率减小,进而减小尖峰。这个钳位过程的本质是一个负反馈环路,给定的是TVS击穿点,被控对象是集电极电位。
当检测到IGBT的VCE较高时,触发软关断有效,将IGBT的关断速度减缓,从而减小电流的变化率,抑制电压应力。软关断的过程可以等效为IGBT的关断电阻Roff变大的状态,如图4所示。

4 IGBT过流及短路保护
(1)IGBT过电流保护
变流器在一般工作时,过流是一种较为常见的状态。在过流时,承担功率变换的IGBT由于工作电流增大会直接影响其可靠性。在高频变流器中,IGBT一般工作在开、关状态,充当高频的开关器件,因此处在开、关状态的IGBT一般有两种状态:关断(或称为截止)和导通(即饱和导通)。处在导通状态的IGBT的饱和压降很小,因此,IGBT本身的导通损耗就会很小。但是,当IGBT发生过流时,如果没能及时处理,IGBT的电流持续上升,一般的IGBT的工作电流大概为额定电流的3到4倍时,会发生退饱和的现象,即IGBT会退出饱和导通区,进入放大即线性区。在线性区内,IGBT的VCE电压较高,而且工作电流又很大,IGBT的瞬时功率将会较大。对IGBT来说,超过其安全工作区,有过功率损坏的风险。
为此,在变流器发生过流时,为保证IGBT的安全,需要及时关断。然而,IGBT在过流时关断过快,也就意味着电流变化率较大,这样,按照IGBT电压应力抑制的分析,其关断时会有较大的电压尖峰,对IGBT造成威胁,因此,在关断IGBT时可采用有源钳位或者软关断的方法抑制电压应力。综合以上分析,在IGBT发生过流时,必须将其安全可靠地关断。
(2)IGBT短路保护
变流器在工作时由于负载侧故障而引起短路,输出电流会急剧上升,导致IGBT的工作电流也会对应急剧上升。一般地,对IGBT而言,短路分为两种情况:第一,变流器的桥臂内发生直通,回流路径很小,其等效负载也非常小,近似为零,一般称为一类短路。第二,变流器短路点发生在负载侧,等效短路阻抗较大,称为二类短路。二类短路一般也可认为是变流器较严重的过流发生。在短路发生时刻,如果不采取相关措施,就会导致IGBT快速进入退饱和,如IGBT过流保护分析,其瞬态功耗超过限值而损坏。因此,当短路发生时,要尽快关断IGBT,而且关断的速度要平缓,保证电流变化速率在一定范围,避免关断过快而引起电压应力超过限值而损坏IGBT。
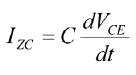
当一类短路发生时,流过IGBT的工作电流上升非常快,在很短时间内达到退饱和电流。如果在此刻将IGBT关断,电压尖峰将非常大,很有可能超过限值。为此,在一类短路发生时,将IGBT缓慢、可靠关断非常重要。为了使得驱动电路在尽可能短的时间内响应电流变化,在有源钳位的方案中增加快速响应措施,使得IGBT驱动能够尽快动作。具体措施如图5所示,在TVS管上并联陶瓷电容,该电容高频特性较好,能够响应高频的电流变化,当IGBT的集电极电压发生快速变化时,该电容可以通过电流信号将变化及时地反馈给IGBT栅极,这样,栅极由于此电流的注入而从即将关断的状态进入再次开通的状态,对IGBT本身来说,其电流的变化率就不至过快,确保其较小的关断电压尖峰。IZC可通过以下公式计算得到。对于一类的桥臂直通的短路和二类的较大负载的短路,除采用高级有源钳位的方法外,也可采用软关断的方法处理,二者的区别在于,软关断的瞬时功耗较大,对变流器本身来讲,如果长时间的处于短路状态,效率会有所降低,与此同时,IGBT会有热应力的风险。

(2)5 试验结果
针对1200V/2500A的IGBT,进行双脉冲试验,对设计的IGBT驱动电路基本的驱动能力、栅极保护、电压应力抑制的有源钳位、软关断等功能及性能表现进行实验验证。

试验平台按照图6所示搭建,IGBT模块为半桥结构,其中上管C、E间连接电感L来模拟负载,同时保证上管在试验中处在关断的状态。给下管G、E间输入图中所示的驱动信号,即设置两次开通,且开通与关断的时间T1、T2、T3可控。通过该双脉冲试验,可以有效验证驱动电路在变流器换流时的功能与性能。图7与图8为实验测试波形,两图中通道1均为下管门极与发射极电压VGE;通道2均为下管集电极与发射极电压VCE;通道3均为集电极电流IC。图7中可以看到当达到VCE门限值时,VGE电压上升,延缓了IGBT的关断速度;如图8所示,当检测到较大VCE电压尖峰时,VGE电压缓慢降低,IGBT缓慢关断,从而抑制了电压应力。

6 结论
对于中、大功率变流器的核心开关器件IGBT,其驱动电路不仅仅要保证正常的驱动能力,还要有相关的保护措施,从而在极端工况下保证IGBT的安全、可靠。
本文从IGBT驱动的基本参数设计、栅极保护、电压应力抑制及过流与短路等方面入手,提出了有效的解决方案,并通过相关理论及具体的电路解决措施,验证方案的科学性与可行性。
参考文献:
[1]柳舟洲,同向前.大功率IGBT短路保护机理的分析[J].电气传动,2015(03).
[2]姚文海,程善美,孙得金.大功率IGBT模块软关断短路保护策略[J].电气传动,2014(09).
[3]尹培培,洪峰,王成华,曹沐昀.无源无损软开关双降压式全桥逆变器[J].电工技术学报,2014(06).
[4]唐勇,汪波,陈明,刘宾礼.高温下的IGBT可靠性与在线评估[J].电工技术学报,2014(06).
[5]张云,徐衍亮,李豹.基于动态电源的MOSFET驱动优化[J].电工技术学报,2013(12).
[6]张云徐,衍亮,李豹.基于动态电源的丽MOSFET驱动优化[J].电工技术学报,2013,28(12):269-275.
[7]宁大龙,同向前,胡勋.IGBT器件的门极驱动模型及应用[J].电力电子技术,2012(12).
[8]雷明,程善美,于孟春,姚文海.基于变门极电阻的IGBT软关断实现[J].电力电子技术,2012(12).
[9]欧阳柳,李华,杨光,杨涛.风力发电变流器的IGBT关断过电压抑制研究[J],大功率变流技术.2012(02).
[10]陈永真.IGBT短路保护的控制策略分析[J].电气传动,2010(08).
绝缘栅双极型晶体管IGBT(insulated gate bipolar transistor)是一种将MOSFET(场效应晶体管)和GTR(电力晶体管)集成于一体的复合型器件。IGBT以其优良的开关特性、易于驱动触发、稳定的热性能、较高的电流承载能力、较高的阻断电压等优点,广泛应用于机车变流器、风能、光伏、UPS、变频器等领域。
IGBT在变流设备工作中承担着功率变换和能量传输的关键作用。据有关工程应用技术数据显示,由于IGBT损坏而造成的各类变流设备发生故障的概率超过90%。因此,IGBT的安全可靠应用问题已成为国内外相关领域专家、学者及工程技术人员的研究热点。IGBT的应用可靠性问题,相当大的比重在于其驱动可靠性及其保护的设计。本文以IGBT驱动为研究对象,从IGBT的驱动电路设计要点、栅极保护电路、电压应力防护以及过流与短路保护等方面展开,给出IGBT可靠驱动的理论分析及电路解决方案。
1 IGBT驱动关键参数
变流设备的核心器件IGBT在功率变换中起着关键作用。IGBT本身的工作特性,直接影响着变流器的性能,而直接影响IGBT工作性能的驱动电路,其设计的合理性也就决定变流器的各项性能指标。
第一,IGBT驱动电路要根据具体的IGBT参数设计驱动电路的功率,包括驱动的平均功率与瞬时峰值功率。驱动电路的功率直接决定其能否稳定驱动相应的IGBT,保证IGBT可靠开关动作。驱动电路的功率要根据IGBT具体规格而定,主要涉及栅极电荷QG。第二,IGBT的关断电流拖尾效应也是驱动电路设计所要研究的问题之一。采用负向的栅源电压可将IGBT快速关断,从而防止电流拖尾效应。负向的驱动关断电压也可抑制米勒效应,防止IGBT误导通。第三,要保证IGBT低的通态损耗,就必须使其在安全导通时有较低的饱和压降,这样就要求较高的驱动开通电压,但不能超过其限值±20V,因此,选择15V为开通电压。第四,要尽量减小驱动电路的功率,负向的关断电压大小可以有效优化驱动功率。过低的负向关断电压必然造成较大的驱动功率,因此,根据相关数据资料,选择负向10V的电压来可靠关断,且驱动功率也有所减小。第五,IGBT寄生参数对功率回路及驱动电路的影响也必须要重视,输入电容、米勒电容、输出电容等直接影响IGBT的开关动作特性及驱动电路的各项参数。图1所示为IGBT驱动电路的基本构成。

2 IGBT栅极保护分析
IGBT栅极G与发射极E间氧化膜厚度较小,极易由于过电压而击穿。一般的IGBT,其G、E间最高耐压为±20V,超过此电压范围将会损坏IGBT。为此,在驱动电路设计中增加此处的保护功能,保证IGBT安全可靠。
IGBT由于栅极过压而损坏的情况,一般有两种。第一,在变流设备出厂后的运输途中,或未投入运行时,由于静电电荷不断积累,G、E间的静电电压持续增大,当超过IGBT G、E间所能承受的电压范围后,将会击穿IGBT的栅极氧化膜,从而损坏IGBT。第二,IGBT在变流器正常运行中,由于电路中的电压、电流及磁场的突变,在G、E间产生电压尖峰,也会对IGBT产生很大的威胁。以上两个工况需要通过IGBT栅极保护电路设计来解决。第一,为防止静电电荷不断积累而使G、E间电压增大,在G、E间直接放电阻,将静电电荷释放,电阻值一般为10kohm。第二,采用G、E间增加TVS管(瞬变电压抑制二极管)来抑制电路中电流与磁场等相关物理量突变而引起的栅极过电压。或者,也可在栅极与驱动的正向电源上增加钳位的肖特基二极管来将栅极的电压尖峰释放在电源上。图2所示为IGBT栅极保护设计。3 IGBT电压应力抑制
有关数据表明,IGBT在其整个生命周期中,因电路中超过其所能承受的电压而击穿损坏的占整个IGBT失效类型的比例较大。为此,在IGBT驱动电路设计中,有关其过电压防护问题显得尤为重要。
IGBT出现过电压的现象主要由于电路中过大的电流变化率而导致,如式(1)所示。其中,VCE为IGBT集电极与发射极两端电压;Ls为电路中杂散电感;di/dt为IGBT电流的变化率,此处一般为电流的下降速率。由式(1)可见,关断电压应力大小主要取决于两方面:第一,电路中的杂散电感量;第二,电流的变化率。这两个方面直接决定应力的大小。因此,减小电压应力的方法有两种:第一,尽量减小线路中的杂散参数,即寄生电感量,但该方法的成效有限;第二,通过电路的设计,减小电流变化率,从而降低电压应力。本文中主要针对第二种方法进行研究。

(1)
对于电路中较大的电流变化,主要发生在电流较大时,IGBT的关断状态,包括变流器过流或短路等状态。为保证此刻IGBT关断电压应力不超标,就应该将电流变化率减小。流过IGBT的电流变化率主要由其关断的速度决定,因此,可以通过减小IGBT关断速度来减小电流变化率。而减小关断速度的方法一般有两种:第一,采用有源钳位的方法,当采集到电压应力过高时,利用相关电路将该信号反馈给栅极,即主动给栅极注入电流,使正在关断的IGBT再次开通,从而减小电流变化率,减小电压应力;第二,驱动电路中采集IGBT的电压应力,在电压应力过高时采用相关逻辑电路,将其缓慢关断,等效与较大的栅极驱动电阻值,从而减小电流变化率,进而减小电压应力。
图3为有源钳位电路工作原理图,由TVS管和恢复二极管构成。当集电极电位过高时,TVS被击穿,有电流流进门极,门极电位得以抬升,从而使关断电流变化率减小,进而减小尖峰。这个钳位过程的本质是一个负反馈环路,给定的是TVS击穿点,被控对象是集电极电位。
当检测到IGBT的VCE较高时,触发软关断有效,将IGBT的关断速度减缓,从而减小电流的变化率,抑制电压应力。软关断的过程可以等效为IGBT的关断电阻Roff变大的状态,如图4所示。

4 IGBT过流及短路保护
(1)IGBT过电流保护
变流器在一般工作时,过流是一种较为常见的状态。在过流时,承担功率变换的IGBT由于工作电流增大会直接影响其可靠性。在高频变流器中,IGBT一般工作在开、关状态,充当高频的开关器件,因此处在开、关状态的IGBT一般有两种状态:关断(或称为截止)和导通(即饱和导通)。处在导通状态的IGBT的饱和压降很小,因此,IGBT本身的导通损耗就会很小。但是,当IGBT发生过流时,如果没能及时处理,IGBT的电流持续上升,一般的IGBT的工作电流大概为额定电流的3到4倍时,会发生退饱和的现象,即IGBT会退出饱和导通区,进入放大即线性区。在线性区内,IGBT的VCE电压较高,而且工作电流又很大,IGBT的瞬时功率将会较大。对IGBT来说,超过其安全工作区,有过功率损坏的风险。
为此,在变流器发生过流时,为保证IGBT的安全,需要及时关断。然而,IGBT在过流时关断过快,也就意味着电流变化率较大,这样,按照IGBT电压应力抑制的分析,其关断时会有较大的电压尖峰,对IGBT造成威胁,因此,在关断IGBT时可采用有源钳位或者软关断的方法抑制电压应力。综合以上分析,在IGBT发生过流时,必须将其安全可靠地关断。
(2)IGBT短路保护
变流器在工作时由于负载侧故障而引起短路,输出电流会急剧上升,导致IGBT的工作电流也会对应急剧上升。一般地,对IGBT而言,短路分为两种情况:第一,变流器的桥臂内发生直通,回流路径很小,其等效负载也非常小,近似为零,一般称为一类短路。第二,变流器短路点发生在负载侧,等效短路阻抗较大,称为二类短路。二类短路一般也可认为是变流器较严重的过流发生。在短路发生时刻,如果不采取相关措施,就会导致IGBT快速进入退饱和,如IGBT过流保护分析,其瞬态功耗超过限值而损坏。因此,当短路发生时,要尽快关断IGBT,而且关断的速度要平缓,保证电流变化速率在一定范围,避免关断过快而引起电压应力超过限值而损坏IGBT。
当一类短路发生时,流过IGBT的工作电流上升非常快,在很短时间内达到退饱和电流。如果在此刻将IGBT关断,电压尖峰将非常大,很有可能超过限值。为此,在一类短路发生时,将IGBT缓慢、可靠关断非常重要。为了使得驱动电路在尽可能短的时间内响应电流变化,在有源钳位的方案中增加快速响应措施,使得IGBT驱动能够尽快动作。具体措施如图5所示,在TVS管上并联陶瓷电容,该电容高频特性较好,能够响应高频的电流变化,当IGBT的集电极电压发生快速变化时,该电容可以通过电流信号将变化及时地反馈给IGBT栅极,这样,栅极由于此电流的注入而从即将关断的状态进入再次开通的状态,对IGBT本身来说,其电流的变化率就不至过快,确保其较小的关断电压尖峰。IZC可通过以下公式计算得到。对于一类的桥臂直通的短路和二类的较大负载的短路,除采用高级有源钳位的方法外,也可采用软关断的方法处理,二者的区别在于,软关断的瞬时功耗较大,对变流器本身来讲,如果长时间的处于短路状态,效率会有所降低,与此同时,IGBT会有热应力的风险。

(2)5 试验结果
针对1200V/2500A的IGBT,进行双脉冲试验,对设计的IGBT驱动电路基本的驱动能力、栅极保护、电压应力抑制的有源钳位、软关断等功能及性能表现进行实验验证。

试验平台按照图6所示搭建,IGBT模块为半桥结构,其中上管C、E间连接电感L来模拟负载,同时保证上管在试验中处在关断的状态。给下管G、E间输入图中所示的驱动信号,即设置两次开通,且开通与关断的时间T1、T2、T3可控。通过该双脉冲试验,可以有效验证驱动电路在变流器换流时的功能与性能。图7与图8为实验测试波形,两图中通道1均为下管门极与发射极电压VGE;通道2均为下管集电极与发射极电压VCE;通道3均为集电极电流IC。图7中可以看到当达到VCE门限值时,VGE电压上升,延缓了IGBT的关断速度;如图8所示,当检测到较大VCE电压尖峰时,VGE电压缓慢降低,IGBT缓慢关断,从而抑制了电压应力。

6 结论
对于中、大功率变流器的核心开关器件IGBT,其驱动电路不仅仅要保证正常的驱动能力,还要有相关的保护措施,从而在极端工况下保证IGBT的安全、可靠。
本文从IGBT驱动的基本参数设计、栅极保护、电压应力抑制及过流与短路等方面入手,提出了有效的解决方案,并通过相关理论及具体的电路解决措施,验证方案的科学性与可行性。
参考文献:
[1]柳舟洲,同向前.大功率IGBT短路保护机理的分析[J].电气传动,2015(03).
[2]姚文海,程善美,孙得金.大功率IGBT模块软关断短路保护策略[J].电气传动,2014(09).
[3]尹培培,洪峰,王成华,曹沐昀.无源无损软开关双降压式全桥逆变器[J].电工技术学报,2014(06).
[4]唐勇,汪波,陈明,刘宾礼.高温下的IGBT可靠性与在线评估[J].电工技术学报,2014(06).
[5]张云,徐衍亮,李豹.基于动态电源的MOSFET驱动优化[J].电工技术学报,2013(12).
[6]张云徐,衍亮,李豹.基于动态电源的丽MOSFET驱动优化[J].电工技术学报,2013,28(12):269-275.
[7]宁大龙,同向前,胡勋.IGBT器件的门极驱动模型及应用[J].电力电子技术,2012(12).
[8]雷明,程善美,于孟春,姚文海.基于变门极电阻的IGBT软关断实现[J].电力电子技术,2012(12).
[9]欧阳柳,李华,杨光,杨涛.风力发电变流器的IGBT关断过电压抑制研究[J],大功率变流技术.2012(02).
[10]陈永真.IGBT短路保护的控制策略分析[J].电气传动,2010(08).
射频工程师养成培训教程套装,助您快速成为一名优秀射频工程师...
天线设计工程师培训课程套装,资深专家授课,让天线设计不再难...
上一篇:升降压电源设计的种类
下一篇:钲铭科DK124
5V9V12V快充电源芯片方案
射频和天线工程师培训课程详情>>

