- 易迪拓培训,专注于微波、射频、天线设计工程师的培养
变频电源设计:整流、驱动、逆变、滤波模块详述
变频电源自从问世以来在世界各国都倍受关注。它可以根据客户的不同要求通过交直交的变换技术,将给定的交流电转换成频率和电压在一定范围内可调的交流电,而且其谐波含量很少。因此,它的开发与应用发展前景十分诱人。
功率器件的性能指标决定变频电源的发展。20世纪60年代,GTO的问世实现了门极可关断功能。70年代中期,功率金属氧化物场效应管和高功率晶体管的问世,实现了场控功能,至此打开了高频的大门。到80年代,一种兼具MOSFET和GTR二者优点的IGBT电力器件出现,其栅极采用电压控制,驱动功率小;工作频率高,开关损耗小;没有二次击穿,是目前功率电力电子装置中的主流器件。当代,随着不断革新的功率器件的出现,美日欧等大规模集成脉宽调制电路、零电压、零电流变换的拓扑电路和DSP、ARM等智能处理器的广泛应用,使得电源逐渐朝着小型化、集成化、智能化方向发展。国内变频电源产业发展虽只有十几到二十年的历史,但业绩甚佳,也在开关频率方面达到了前所未有的地步,一定程度上降低了原材料的消耗,使装置小型化,加快了系统的动态响应速度,提高了电源的效率。
本文搭建了一个基于DSP的变频电源的实验装置,下面将详细介绍变频电源整流、驱动、逆变和滤波等各个模块的原理图设计。
1硬件电路设计
变频电源结构框图如图1所示。本文中变频电源输入频率为市电频率50 Hz,输出频率为60 Hz.由图1可以看出,整个变频电源的硬件部分由整流模块、逆变模块、隔离驱动模块和滤波模块组成。

图1变频电源结构框图
1.1整流模块设计
常用的三相桥式整流电路大致可以分为三种:不控整流、全控整流、半控整流。它们的电路结构均是一样的,如图2所示,只是所使用的整流元器件不同。三相桥式不控整流电路的整流器件是普通的电力二极管,是不可控的器件。当它承受正向电压时会立即自然导通,承受反向电压时会立即阻断,电路设计简单,功耗较小。其输出电压的平均值可以表示为:

式中U2为交流侧相电压的有效值。

图2三相桥式不控整流电路
三相桥式全控整流电路的整流管全为可控的晶闸管开关器件,桥式半控整流电路的整流管为可控的晶闸管和不控二极管的组合。开关器件晶闸管开通必须具备两个条件:正向电压;触发电流脉冲。这就要求在整流时要附加脉冲产生电路,时间上会产生延迟,也就是延迟触发角。综合分析以上三种整流方式可知:桥式不控整流电路设计简单,功耗小;而全控和半控整流电路控制复杂,晶闸管在导通后功耗相对较大,触发角控制不好会使电路出现断续现象,所以本文采用简单的三相桥式不控整流电路。
整流之后由于脉动电压比较大,本文选取并联电容进行滤波。电容作为储能元件,具有隔直通交、隔低频通高频的功能。在电压型整流电路中,为使输出电压更加平滑,理论上滤波电容取值越大越好。然而实际工程上并不希望这样,因为电容值越大,其体积越大,成本越高,性价比反而越低,而且在电路接通瞬间,瞬时电流非常大,会破坏元器件。根据文献[1],选取滤波电容的值为1 650μF,考虑到耐压值越高价格也越高,选用两个3300μF的电容串联,以此来平分电压,如图2所示。
1.2驱动模块设计
IR2130可用来驱动工作在线电压不高于600 V的电路中的功率MOS门器件。
其内部结构框图如图3所示。

图3 IR2130内部结构图
在本文中应用IR2130时,应注意以下几点:
(1)因为IR2130内部的三路驱动高压侧电力MOS管的输出驱动器的电源是通过自举技术来获得的,为防止自举电容两端电压放电,二极管应选用高频快恢复二极管。为防止自举电容放电造成其两端电压低于欠电压保护动作的门槛电压值,电容的取值应充分大,当被驱动的功率MOS器件的开关频率大于5 kHz时,该电容值应不小于0.1μF,如图4所示。
(2)由于IR2130内部的6个驱动器输出阻抗较低,直接应用它来驱动电力MOS管会引起被驱动的电力MOS器件的快速开通和关断,这有可能造成被驱动的电力MOS管漏源极间电压的振荡。为了避免这种现象的发生,可在被驱动的电力MOS管栅极与IR2130的输出之间串联一个15~22Ω、功率为1/4 W的无感电阻(对电流容量较小的电力MOS管,该电阻值可增加到30~50Ω),如图4所示。
1.3逆变模块设计
逆变电路根据直流侧电源性质的不同可分为两种:直流侧是电压源的称为电压型逆变电路,直流侧是电流源的称为电流型逆变电路。本文中是电压型逆变电路。用三个单相逆变电路就可以组合成一个三相逆变电路。在三相逆变电路中,应用最广泛的是三相桥式逆变电路。三相桥式逆变电路的基本工作方式也是180°导电方式,即每个桥臂的导电角度为180°,同一相(同一桥臂)上下两个桥臂交替导电,各相开始导电的角度依次相差120°。这样,在任一瞬间,将有三个桥臂同时导通,可能是上面一个桥臂下面两个桥臂同时导通,也可能是上面两个桥臂下面一个桥臂同时导通。本文设计的三相桥式逆变电路如图5所示,其中UA和UB之间的电压为整流之后的直流电压。本设计中三相逆变电路的开关器件采用了价格低廉的MOS功率管IRF640,其耐流值是18 A,耐压值为200 V,开关频率可以达到兆级赫兹以上。其中每个MOS管后面都并联了一个续流二极管,续流二极管是负载向直流侧反馈能量的通道,起着使负载电流连续的作用。

图4 IR2130驱动电路

图5三相桥式逆变电路图
逆变电路中采用正弦脉冲宽度调制(SinusoidalPulse WidthModulation,SPWM)技术来控制MOS管导通和关断,其中SPWM波由型号为TMS320F2812的DSP芯片产生。
当使用微控制器实现SPWM调制时通常采用对称规则采样方法,此时三相逆变器输出线电压的基波和谐波幅值分别为:
基波幅值=√3 aUd/2
式中:a为调制度;Ud为直流侧电压。
1.4滤波模块设计
SPWM逆变电路由于其固有的特性,输出波形中含有大量的谐波,在接入负载前必须进行滤波。根据消谐控制的特点,简单的二阶LC低通滤波器就能满足要求。因为电容器C对直流相当于是开路的,而对交流阻抗小,所以C应该并联在负载两端。电感L对直流阻抗小,而对交流阻抗大,所以L应与负载串联。逆变电路如图6所示。

图6逆变电源滤波电路
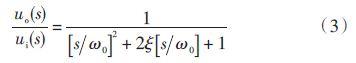
理想的二阶低通滤波器的传递函数为:

式中:ui (s),uo (s)为滤波器输入、输出电压;s为复频率;ξ为阻尼系数;固有角频率ω0 = 1 LC.
为了使滤波器输出电压接近正弦波,同时又不会引起谐振,LC滤波器的截止频率必须要远小于SPWM电压中所含有的最低次谐波频率,同时又要远大于调制波频率。文献推荐PWM逆变器中的LC截止频率f0的选择最好满足:

式中:fr为调制波频率;fc为载波频率;fhar(min)为最低次谐波频率。
LC滤波器的谐振频率是由L和C的乘积所决定的。在最初选择滤波器的参数时,一般先根据滤波器衰减特性选择滤波器的类型,如巴特沃斯型滤波器、切比雪夫型滤波器或贝塞尔型滤波器。由于巴特沃斯型滤波器是一种具有最大平坦响应的滤波器,仿真结果和实际测试特性较为接近,因此本文采用巴特沃斯型二阶低通滤波器。
2软件设计
变频电源的软件设计即变频电源中控制电压与频率的软件编程,本文通过SPWM波来控制变频电源的电压和频率,其中SPWM波形的产生通过TMS320F2812芯片实现。变频电源的整个软件程序分为主程序和中断服务子程序两部分。主程序任务是:初始化并启动系统后,进入while循环,等待定时器T1周期中断的产生。程序流程图如图7所示。
中断子程序是定时器T1周期中断函数,主要功能是更新比较寄存器的值。中断程序中比较寄存器的赋值通过查表法来实现,查表法的原理是预先计算出每个载波周期中各个采样点处的比较寄存器的值,以数组的形式存储起来,在中断程序中直接调用数组。

图7主程序流程图
3实验结果与分析
3.1整流模块实际电路运行波形图
将经过380 V -18 V三相变压器的电压送入到三相桥式整流电路的输入端,经过滤波器滤波后,测得整流的电压如图8所示。

图8整流电路波形图
由图8可得,电压为直流,每个小格是10 V,这样电压值大约为24 V.由于本设计中使用的三相变压器是380 V-18 V,即变频电源的整流输入端交流电的线电压有效值为18 V,所以其相电压有效值为18/√3 =10.4 V,根据式(2)计算,理论上整流之后电压值应为24 V.由此可得,本实验电路运行结果与理论值一致。
3.2逆变模块实际电路运行波形图
根据上面的硬件设计和软件设计,将编好的程序下载到DSP里运行,产生出六路SPWM波后送入到变频电源的两级三极管隔离放大电路的输入端,经过放大之后送到驱动IR2130的输入端;从IR2130出来之后驱动三相桥式逆变电路,经过三相桥式逆变电路和LC滤波器之后,三相负载的相电压波形图如图9所示。
由图9可得,三相电压均为交流电,相位依次相差120°,每个小格是10 V,这样负载相电压幅值大约为9.6 V.根据式(2),当调制度为0.8,直流电压为24 V时,逆变之后线电压应为16.6 V,即负载相电压应为16.6/√3 =9.6 V.所得结果与理论值一致。此外,由图9还可得三相交流电压周期大约为0.017 s,即频率为60 Hz,这与程序里设置的值一致。

图9变频电源三相负载相电压波形图
4结语
本文主要对变频调压电源的硬件进行了详细的介绍,在变频电源的硬件方面,研究了变频电源的结构组成,对变频电源的各个模块进行了详细分析,并对各个模块参数的选择给出了详细的计算过程;同时给出了系统的软件流程以及SPWM的生成方法;最后将实验结果与自行设置的值进行对比,基本保持一致。由于时间有限,系统还存在许多不足的地方,有待改善,例如变频电源系统没有反馈,其输出的电压幅值和频率大小是由软件编程来控制的,即是人为控制的。因此,在后续的研究中可搭建一个带有反馈的变频电源系统,根据输出的电压和频率自动调整逆变模块SPWM波的参数,以使输出的电压和频率稳定。
射频工程师养成培训教程套装,助您快速成为一名优秀射频工程师...
天线设计工程师培训课程套装,资深专家授课,让天线设计不再难...
上一篇:LCD显示控制及触摸屏接口经典设计汇总,涵盖全算法、电路
下一篇:谐波混频器和谐波检测及控制经典方案汇总,含软硬件设计

