- 易迪拓培训,专注于微波、射频、天线设计工程师的培养
基于LabWindows/CVI的舵机负载模拟系统设计
地面半物理仿真试验是飞机设计与研制过程中不可或缺的一个环节,用于在地面环境对飞机的工作状态进行模拟,以验证飞机的各项性能是否满足设计需要,该环节对保障飞机的安全性与可靠性具有重要意义。
舵机是飞机自动驾驶仪或飞机增稳系统中的执行机构,属于飞机的关键部件。在飞机地面半物理仿真试验中,需要在地面环境中模拟舵机在全飞行剖面中所受到的气动载荷,进而为整机提供与实际飞行相近似的工作状态,以检验舵机及其他部、组件的性能,并为全机研制、改进与改型提供重要参考依据。
因此,舵机负载模拟是地面半实物仿真试验中不可缺少的重要技术环节。在试验过程中,舵机负载模拟系统需要对负载模拟器进行控制,根据给定的载荷谱为舵机施加相应的载荷。由于在飞机飞行过程中,各个环境参数不断变化,所以舵机负载模拟系统具有载荷类型复杂且变化快等特点,控制难度较大。文中采用上、下位机的分布式结构方案,基于LabWindow/CVI开发环境设计了负载模拟系统控制软件,对多个通道的舵机载荷进行实时模拟,保证了地面模拟试验的真实性与准确性。
1系统硬件设计
1.1系统结构原理
负载模拟系统由加载作动筒、电液伺服阀、控制器与传感器等组成。其中伺服阀与加载作动筒为舵机作动器施加额定负载;拉压力传感器为负载模拟系统提供反馈信号,完成闭环控制;位移传感器用于超差检测和故障判断并为系统提供补偿。单通道负载模拟系统结构如图1所示。

图1 单通道负载模拟系统结构图
整个试验平台中共有5个舵机,所以系统共需要五个负载模拟通道。为了达到最佳控制效果,系统采用上、下位机的分布式控制系统结构。其中上位机用于完成人机接口和协调管理等功能。由于系统中有四个负载模拟通道间存在一定耦合,故采用1#下位机对这四个通道进行协调控制;另一个负载模拟通道的负载频率较高,为保证控制精度,采用2#下位机单独进行控制。整个舵机负载模拟系统的硬件系统结构框图如图2所示。

图2 系统硬件结构图
1.2系统电气连接
系统电气部分的前向通道负责将现场的信号实时采集处理并传回工控机。每个通道包含一个拉压力传感器和一个位移传感器,全部四个通道共计8路反馈信号。反馈信号在现场端通过幅值放大与零位调整后由电缆传输至电气柜的信号调理板,经阻抗隔离和滤波后输入到相应下位机的A/D转换卡,并在工控机中完成相应的数据运算与处理。
系统电气部分的后向通道负责将工控机的控制信号传送至现场的执行机构。每个通道包含一个舵机指令信号、一个加载伺服阀指令信号和一个用于对系统进行保护的开关信号,全部四个通道共计12路控制信号。控制信号从工控机的D/A转换卡或DO接口卡输出,通过功率放大后输送至现场的执行机构处,完成现场机构的控制。
由于系统采用上、下位机分布式结构,为了实现上、下位机之间的通讯,采用了基于RS-485通讯方式的异步并行通讯卡。该通讯卡基于ISA总线,以两块为一组,配合完成通讯。同组的两块板卡使用CBL-M25M9x2数据通讯线进行连接。
2系统软件设计
控制软件系统采用NI公司的专业开发平台LabWindows/CVI进行开发。该平台是工业控制、测试元件开发的专业平台,具有界面简洁、友好,能较好地模拟工业控制仪器与环境等突出特点,其强大的图形用户界面交互编辑功能与丰富的函数库及网络通信模块使其特别适合工业控制系统软件的开发。
控制软件系统分为两大部分:上位机监控及人机对话软件和下位机数据采集与控制软件。为了提高软件的可靠性、保证软件功能的灵活性并满足软件系统的易用性、可扩展性等要求,系统软件采用模块化设计,通过不同的模块来完成软件系统的各个功能。
上位机软件不负责负载模拟过程中载荷的控制,而只承担监测、协调与管理下位机的作用。上位机软件系统包括监控模块、系统设置模块、通讯模块和数据处理模块等组成部分。其主要的功能包括:
1)GUI界面的人机对话接口;
2)试验进程的监测与报警处理;
3)对下位机状态的控制与管理;
4)控制参数的设置;
5)载荷谱、运动谱的设置;
6)系统输入输出通道的标定与自检;
7)试验数据的保存处理与报表输出。
下位机负责试验中对舵机以及负载模拟系统的控制。下位机软件主要包括初始化模块、试验控制模块、通讯模块和状态监测模块等组成部分。其具体功能包括:
1)现场信号的数据采集;
2)控制决策与运算;
3)输出控制;
4)载荷数据的上传。
上、下位机软件之间的数据通信通过高速数据通讯卡完成。数据通讯卡采用全双工模式,通讯内容包括:上位机下传至下位机的启动、停止、自检等指令以及控制参数、载荷谱和运动谱参数等信息;下位机上传至上位机的用于实时显示和保存的现场数据等信息。所用的通讯过程均按照约定的通讯协议完成。
当软件程序开始运行时,系统会首先对各个系统参数以及板卡端口进行初始化。工作人员可以通过上位机软件程序提供的人机交互界面进行传感器标定、控制参数设定、试验任务选择等操作。当开始试验后,上位机会通过通讯模块将控制参数与指令下传给上位机,并同时建立数据显示线程与数据保存线程,将下位机上传的实时数据以动态曲线的形式显示在终端显示器并保存于存储介质中,以方便工作人员实时监测或日后调用。舵机负载模拟系统的整个闭环控制均在相应下位机中完成,其过程包括接收上位机控制参数及指令,对现场数据进行实时采集并做超差检验,完成控制器计算及输出和向上位机上传实时数据等步骤。软件系统工作流程图如图3所示。

图3 系统软件流程图
从控制软件的流程图可以看出,在上位机软件运行过程中采用了多线程技术。这种设计可以更加有效的利用CPU的性能。由于多线程间方便的通讯机制,几个线程可以共享数据空间,大大减少了启动线程所需的空间和线程间彼此切换的时间,使应用更加快捷与方便。同时,多线程技术的采用,也使得程序的逻辑与控制方式更加简单,便于理解与修改。在测控软件设计与应用过程中,对数据采集的实时性要求很高,这需要系统有较高的采样频率,使用高精度的定时器是满足系统需求的关键。在本文的舵机负载模拟系统中,使用了多媒体定时器对控制进程进行管理,其精度很高,最小误差约为1 ms,且多媒体定时器的优先级较高,可以减轻资源紧张时对定时器运行的影响。
3系统控制策略
在舵机负载模拟系统的控制过程中,最大的难点在于对系统运行时产生的多余力进行抑制与消减。
多余力是由承载系统(舵机)的主动运动造成的。承载系统的主动运动,会拖动加载系统(负载模拟器)与其一起运动,在加载作动筒两腔产生强迫流量,引起多余力。多余力的大小与运动的速度和加速度密切相关。同时,多余力具有微分特性,不仅超前于加载力,并且会随着承载系统运动频率的增加而迅速增大。为此,在控制系统设计时,必须采用合理方法,将多余力抑制并消减到一定的范围内。
为了对负载模拟过程中出现的多余力进行抑制,很多学者做出了研究。杨刚等采用模糊自适应控制策略,能较好的消除多余力,但模糊控制器的建立过程太复杂且可移植性差,石旭东等采用CMAC与PID并行控制方法,自适应能力较强,但神经网络学习过程具有较大的不确定性。罗璟等引入H∞控制方法,但这种方法需要建立系统的精确数学模型。
结合工程实际情况,分析项目中舵机负载模拟系统的特点,在对舵机负载模拟系统进行控制时,系统的运动谱(舵机运动规律)和载荷谱(负载模拟器运动规律)都是已知的。所以可以根据结构不变性原理,在计算要输出的控制信号时,预先施加一个适当的前馈补偿,以达到减少外部扰动的目的。
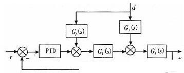
舵机负载模拟系统如图4所示,其中d为干扰输入。根据结构不变性原理,为了消除干扰d对系统的影响,理论上需要满足条件Gf(s)G1(s)+G3(s)=0,即需设计一个前馈补偿环节Gf(s)=-G3(s)/G1(s)。

图4 前馈补偿原理
在设计前馈补偿环节时,以加载输出端的位移做为前馈补偿环节的输入信号。这样选择有两个突出优点。一是采用加载输出端的位移做补偿输入时,消除了连接机构的弹性形变以及惯性负载引起的滞后与衰减作用的影响,简化了负载模拟系统的动态特性,使补偿后的系统被简化成一个二阶环节,有助于提高负载模拟系统的闭环动态性能。二是当采用加载输出端位移为补偿输出时,负载模拟系统控制器中的所有传感器检测信号与执行机构控制信号均在加载系统一侧,在结构上保持了负载模拟系统的独立性。
4系统实现与试验结果
根据上述各部分的分析与设计,完成了舵机负载模拟系统的硬件平台搭建和软件程序的编写与调试。经过一定的调试,达到了理想的控制效果。试验设备在相应载荷指令下的响应如图5所示。根据试验结果可知,实际响应对指令的动态跟踪效果很好,满足了系统的要求。

图5 实验结果图
5结论
本文基于LabWindows/CVI开发环境,对舵机负载模拟系统进行分析与设计。经实践证明,该系统能对舵机载荷进行实时、准确的模拟,具有很好的控制效果,充分满足了试验要求。同时,本文提及的舵机负载模拟系统设计方法,对同类的电液负载模拟器的设计也具有一定的借鉴与参考价值。
射频工程师养成培训教程套装,助您快速成为一名优秀射频工程师...
天线设计工程师培训课程套装,资深专家授课,让天线设计不再难...
上一篇:TI:10W无线电源系统的设计技巧
下一篇:TI:使电池解决方案更紧凑的诀窍

