- 易迪拓培训,专注于微波、射频、天线设计工程师的培养
预测UCC289X有源钳位正向转换器的环路稳定性技术方案
作者: Richard Yang,德州仪器 (TI)中国Power FAE
摘要
本文中,我们利用连续电感器电流条件下有源钳位正向转换器的峰值电流模式(PCM)改进型小信号模型,预测UCC289X应用的实际环路稳定性。为了验证计算结果的有效性,我们通过实际测量基于UCC2897 EVM样机,并建立UCC2897A仿真模型来进一步证明。其结果表明,基于改进型小信号模型的计算结果也可以精确地预测实际环路稳定性。
1、引言
随着电源可靠性评估的不断发展,使用特定环路分析仪器进行环路稳定性测试成为目前唯一必不可少的要求。但是,在实际开发过程中,工程师们常常在环路稳定性功能调试上面花费太多的时间。例如,使用有源钳位转换器时,我们总是会碰到环路稳定性问题,因为很难在大信号负载动态和小信号环路稳定性之间实现一种较好的平衡,特别是在峰值电流控制模式下更是如此。在大信号负载动态优化方面,MOS电压应力有巨大的影响力。为了获得较好的优化,工程师们通常会花费大量的时间重复调试环路稳定性。
由于其小信号模型并不准确,因此对于这种计算方法是否适用于实际测量存在争议,但是如果可以得到准确的小信号模型,则这个问题便可以迎刃而解。
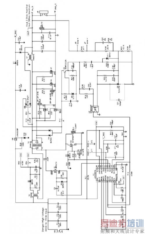
本文的目标是建立一个计算平台,根据UCC289X应用所使用有源钳位正向转换器的改进型CCM小信号模型来验证环路稳定性。图1显示了实际EVM验证举例,另外,本文还将为你提供许多比较数据。最后,经过证明,使用UCC289X应用时,环路稳定性计算对于开发期间的实际设计和调试都非常有用。

图1 基于EVM的原理图
2、功率级传输函数计算
请参见图1所示原理图的BOM。下表列出了功率级参数。
| 功率级参数的定义 | 参数 | 数值 |
| 输入与输出规范 |
|
|
| 输入电压 | Vin | 48 |
| 输出电压 | Vo | 3.3 |
| 输出电流 | I负载 | 30 |
| 变压器匝比(Ns/Np) | N | 0.1667 |
| 电源转换效率 |
| 0.9 |
| 最大占空比设置 | Dmax | 0.65 |
| 运行时间 | T | 4u |
| 输出级参数 |
|
|
| 输出电感 | L | 2u |
| 输出电感的等效电阻 | RL | 5m |
| 输出电容(两个并联330u) | C | 660u |
| 输出电容 ESR | Rc | 5m |
| 一次谐振参数 |
|
|
| 磁化电感 | Lm | 100u |
| 谐振电容 | Cc | 40n |
| Fsw 下的等效有源电阻 | Rw | 1 |
| 一次侧电流检测电路参数 |
|
|
| 检测电阻 | Rs | 4.64 |
| 电流电感器 | Nt | 100 |
| UCC289X 斜率参数 |
|
|
| 电阻1 的斜率补偿 | Rslope | 158K |
| 电阻2 的斜率补偿 | Rf | 1.82K |
求解工作占空比为:

输出负载计算得到:

等效主检测电阻为:

求解mc为:

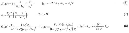
由前面的一些参数,可使用MathCAD或者模拟软件绘制出该传输函数的波特图和相位特性图

其中:

对于UCC289X应用来说,系数KC由内部分电阻器决定;它被设置为0.2,则控制到输出传输函数的最终功率级传输函数为:
图2显示了计算结果:

图2 控制到输出传输函数的波特计算
3、反馈环路的传输函数
在UCC2897X应用中,电压补偿电路大多与图3所示电路一起使用。

图3 电压补偿电路
OPTO建模,对获得反馈环路传输函数最为重要。正常情况下,准确建模取决于两个参数。第一个参数为OPTO的CTR,它取决于其稳定值,并可轻松求解得到。很多时候,第二个参数有些难以得到,因为其具有高频特性。

图4 开关时间对比SFH690BT相关负载电阻
但是,影响这种高频特性的最重要参数为RL和Cin。Cin是指内部电容;我们假设在电流控制电流源输出端之间添加它,以进行瞬态分析。根据下列公式计算Cin:

在这种Ic为1mA的应用中,我们可以假设Tr约为40u,则Cin为:

由上面结果,我们可以选择Cin为10n。
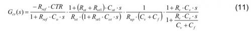
则反馈传输函数为:

因此,闭合总传输函数为:

利用下列函数使环路闭合:

使用MathCAD绘制结果为:

图5 闭合环路的总电压环路稳定性计算结果
4、使用仿真验证环路稳定性
为了论证上面传输函数的有效性,我们基于EVM应用方案创建典型电路基础上建立了一个UCC2897A仿真模型。电路参数与EVM BOM的基本一致。

图6 环路稳定性验证仿真电路
图7到图9显示了计算与仿真之间的对比情况。

图7 38Vdc输入和3.3V/30A输出工作状态下计算与测量总电压环路曲线图比较

图8 48Vdc输入和3.3V/30A输出工作状态下计算与测量总电压环路曲线图比较

图9 72Vdc输入和3.3V/30A输出工作状态下计算与测量总电压环路曲线图比较
下列表显示了比较情况:

它表明,计算结果可很好地匹配模拟结果。
5、利用实际测量验证环路稳定性
为了进一步验证计算得环路曲线图,我们把48-Vdc输入和75Vdc输入时基于UCC2891EVM的计算结果与实际测量结果进行比较:

图10 48Vdc输入和3.3V/10A输出工作状态下计算与测量的总电压环路曲线图比较

图11 75Vdc输入和3.3V/10A输出工作状态下计算与测量的总电压环路曲线图比较
下列表列举了比较情况:

它表明,计算结果可以很好地匹配测量结果。
请注意:测量结果的计算增益余量有些过大,这是因为,当频率较高时,谐振寄生参数预测高度的复杂。
6、 结论
通过使用涉及UCC289X有源钳位正向转换器的改进型小信号模型来预测实际环路稳定性,这对实际环路调试工作非常有用。工程师在对环路稳定性进行调试时,使用这种方法可以实现更高效。
7、参考文献
1、《UCC289/1/2/3/4电流模式有源钳位PWM控制器》,产品说明书(SLUS542)
2、《UCC2897A电流模式有源钳位PWM控制器》,产品说明书(SLUS829D)
3、《UCC3580/-1/-2/-3/-4单端有源钳位重置PWM》,产品说明书(SLUS292A)
4、《有源钳位重置48V 到1.3-V、30A正向转换器UCC2891EVM》,作者Steve Mappus,见于《UCC2891EVM使用用户指南》(SLUU178)
5、《利用UCC2897A理解并设计有源钳位电流模式控制转换器》(SLUA535)
6、《UCC284X/UCC289X/LM5026适用PCM控制改进型CCM小信号模型》
射频工程师养成培训教程套装,助您快速成为一名优秀射频工程师...

