- 易迪拓培训,专注于微波、射频、天线设计工程师的培养
基于多路单端反激式开关电源的设计方案
0引言
单片开关电源自问世以来,以其效率高,体积小,集成度高,功能稳定等特点迅速在中小功率精密稳压电源领域占据重要地位。美国PI公司的TOPSwitch系列器件即是一种新型三端离线式单片高频开关电源芯片,开关频率fs高达100 kHz,此芯片将PWM控制器、高耐压功率MOSFET、保护电路等高度集成,外围连接少许器件即可使用。本文介绍了一种基于TOP223Y输出为+5 V/3 A,+12 V/1 A的单端反激式开关电源方案设计的原理和方法。
1方案设计的原理
开关电源是涉及众多学科的一门应用领域,通过控制功率开关器件的开通与关闭调节脉宽调制占空比达到稳定输出的目的,能够实现AC/DC或者DC/DC转换。
TOP223Y共三个端:控制极C、源极S、漏极D.因只有漏极D用作脉宽调制功率控制输出,故称单端;高频变压器在功率开关导通时只是将能量存储在初级绕组中,起到电感的作用,在功率开关关闭时才将能量传递给次级绕组,起变压作用,故称反激式。

电路功能部分主要由输入/输出整流滤波、功率变换、反馈电路组成。工作原理简述为:220 V市电交流经过整流滤波得到直流电压,再经TOP223Y脉宽调制和高频变压器DC-AC变换得到高频矩形波电压,最后经输出整流滤波得到品质优良的直流电压,同时反馈回路通过对输出电压的采样、比较和放大处理,将得到的电流信号输入到TOP223Y的控制端C,控制占空比调节输出,使输出电压稳定。
2方案设计的要求
设计作为某智能仪器的供电电源,具体的参数要求如下:交流输入电压最小值:VACMIN=85 V;交流输入电压最大值:VACMAX=265 V;输出:U1:+5 V/3 A;U2:+12 V/1 A;输出功率:Po=27 W;偏置电压:VB=12 V;电网频率fL=50 Hz;开关频率fs=100 kHz;纹波电压:小于100 mV;电源效率:η大于80%;损耗分配因数Z为0.5;功率因数为0.5.
3设计实例
本设计方案是基于TOP223Y的多路单端反激式开关电源,性能优越,便于集成。电路原理如图2所示,可分为输入保护电路、输入整流滤波电路、钳位保护电路、高频变压器、输出整流滤波电路、反馈回路、控制电路7个部分。

3.1输入保护电路
由保险丝F1、热敏电阻RT和压敏电阻RV组成,对输入端进行过电压、过电流保护。
保险丝F1用于当线路出现故障产生过电流时切断电路,保护电路元器件不被损坏,其额定电流IF1按照IF1》2IACRMS选择3 A/250 VAC保险丝,其中IACRMS为原边有效电流值。热敏电阻RT用以吸收开机浪涌电流,避免瞬间电流过大,对整流二极管和保险丝带来冲击,造成损坏,加入热敏电阻可以有效提高电源设计的安全系数,其阻值按照RRT1》0.014VACMAX/IACRMS选择10D-11(10Ω/2.4 A)。压敏电阻RV能在断开交流输入时提供放电通路,以防止大电流冲击,同时对冲击电压也有较好钳位作用。RV选取MY31-270/3,标称值为220 V.
3.2输入整流滤波电路
由EMI滤波电路、整流电路、稳压电路组成。
EMI滤波电路针对来自电网噪声干扰。采用由L1,CX1,CX2,CY1,CY2构成典型的Π型滤波器。
CX1和CX2用来滤除来自电网的差模干扰,称为X电容,通常取值100~220 nF,这里取100μF;CY1和CY2用来滤除来自电网的共模干扰,称为Y电容,通常取值为1~4.7 nF,这里取2.2 nF;同样用来消除共模干扰的共模电感L1的取值8~33 mH,这里取8 mH,采取双线并绕。
输入整流电路选择不可控全波整流桥。整流桥的反向耐压值应大于1.25倍的最大直流输入电压,整流桥的额定电流应大于两倍的交流输入的有效值,计算后选择反向击穿电压为560 V,额定电流为3 A的KBP306整流桥。
在当前的供电条件下,输入储能电容器CIN的值根据输出功率按照2~3μF/W来取值,考虑余量,取CIN=100μF/400 V的电解电容。假设整流桥中二极管导通时间为tc=3 ms,可由:

得到输入直流电压的最小值和最大值。
3.3钳位保护电路
当功率开关关断时,由于漏感的影响,高频变压器的初级绕组上会产生反射电压和尖峰电压,这些电压会直接施加在TOPSwitch芯片的漏极上,不加保护极容易使功率开关MOSFET烧坏。加入由R1、C2和VD1组成经典的RCD钳位保护电路,则可以有效地吸收尖峰冲击将漏极电压钳位在200 V左右,保护芯片不受损坏。推荐钳位电阻R1取27 kΩ/2 W,VD1钳位阻断二极管快恢复二极管耐压800 V的FR106,钳位电容选取22 nF/600 V的CBB电容。
3.4高频变压器
3.4.1磁芯的选择
磁芯是制造高频变压器的重要组成,设计时合理、正确地选择磁芯材料、参数、结构,对变压器的使用性能和可靠性,将产生至关重要的影响。高频变压器磁芯只工作在磁滞回线的第一象限。在开关管导通时只储存能量,而在截止时向负载传递能量。因为开关频率为100 kHz,属于比较高的类型,所以选择材料时选择在此频率下效率较高的铁氧体,由:

估算磁芯有效截面积为0.71 cm2,根据计算出的Ae考虑到阈量,查阅磁芯手册,选取EE2825,其磁芯长度A=28 mm,有效截面积SJ=0.869 cm2,有效磁路长度L=5.77 cm,磁芯的等效电感AL=3.3μH/匝2,骨架宽度Bw=9.60 mm.
3.4.2初级线圈的参数
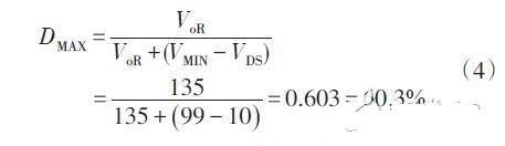
(1)最大占空比。根据式(1),代入数据:宽范围输入时,次级反射到初级的反射电压VoR取135 V,查阅TOP223Y数据手册知MOSFET导通时的漏极至源极的电压VDS=10 V,则:

(2)设置KRP .KRP= IR IP,其中IR为初级纹波电流;IP为初级峰值电流;KRP用以表征开关电源的工作模式(连续、非连续)。连续模式时KRP小于1,非连续模式KRP大于1.对于KRP的选取,一般由最小值选起,即当电网入电压为100 VAC/115 VAC或者通用输入时,KRP=0.4;当电网输入电压为230 VAC时,取KRP=0.6.当选取的KRP较小时,可以选用小功率的功率开关,但高频变压器体积相对要大,反之,当选取的KRP较大时,高频变压器体积相对较小,但需要较大功率的功率开关。对于KRP的选取需要根据实际不断调整取最佳。
(3)初级线圈的电流初级平均输入电流值(单位:A):

可知,KRP选取合适。TOPSwitch器件的选择遵循的原则是选择功率容量足够的最小的型号。
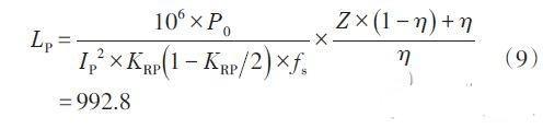
(4)变压器初级电感

3.4.3初级次级绕组匝数
当电网电压为230 V和通用输入220 V时:每伏特取0.6匝,即KNS=0.6.由于输出侧采用较大功率的肖特基二极管用作输出整流二极管,因此VD取0.7 V,磁芯的最大工作磁通密度在BM在2 000~3 000 GS范围内。偏置二极管VDB的压降取0.7 V,偏置电压VB取12 V.
初级绕组匝数:

3.5输出整流滤波电路
由整流二极管、滤波电容和平波电感组成。将次级绕组的高频方波电压转变成脉动的直流电压,再通过输出滤波电路滤除高频纹波,使输出端获得稳定的直流电压。肖特基二极管正向导通损耗小、反向恢复时问短,在降低反向恢复损耗以及消除输出电压中的纹波方面有明显的性能优势,所以选用肖特基二极管作为整流二极管,参数根据最大反向峰值电压VR选择,同时二极管的额定电流应该至少为最大输出电流的3~5倍。次级绕组的反向峰值电压VSM为:

式中:Iout是输出端的额定电流,单位为A;Dmin是在高输入电压和轻载下所估计的最小占空比(估计值为0.3);V(PK-PK)是最大的输出电压纹波峰峰值,单位为mV.计算得出后考虑阈值C6取100μF/10 V,C8取220μF/35 V.
第二级经LC滤波使不满足纹波要求的电压再次滤波。输出滤波电容器不仅要考虑输出纹波电压是否可以满足要求,还要考虑抑制负载电流的变化,在这里可以选择C7取22μF/10 V,C9取10μF/35 V.C5取经验值0.1μF/25 V.输出滤波电感根据经验取2.2~4.7μH,采用3.3μH的穿心电感,能主动抑制开关噪声的产生。
为减少共模干扰,在输出的地与高压侧的地之间接共模抑制电容C15.
3.6反馈回路设计
开关电源的反馈电路有四种类型:基本反馈电路、改进型基本反馈电路、配稳压管的光耦反馈电路、配TL431的光耦反馈电路。本设计采用电压调整率精度高的可调式精密并联稳压器TL431加线形光耦PC817A构成反馈回路。
TL431通过电路取样电阻来检测输出电压的变化量ΔU,然后将采样电压送入TL431的输入控制端,与TL431的2.5 V参考电压进行比较,输出电压UK也发生相应变化,从而使线性光电耦合器中的发光二极管工作电流发生线性变化,光电耦合器输出电流。
经过光电耦合器和TL431组成的外部误差放大器,调节TOP223Y控制端C的电流IC,调整占空比D(IC与D成反比),从而使输出电压变化,达到稳定输出电压的目的。
对于电路中的反馈部分,开关电源反馈电路仅从一路输出回路引出反馈信号,其余未加反馈电路。这样,当5 V输出的负载电流发生变化时,定会影响12 V输出的稳定性。
解决方法是给12 V输出也增加反馈电路。另外,电路中C10为TL431的频率补偿电容,可以提高TL431的瞬态频率响应。R5为光电耦合器的限流电阻,R5的大小决定控制环路的增益。电容器C13为软启动电容器,可以消除刚启动电源时芯片产生的电压过冲。
下面主要是确定R4~R8的值:
按照应用要求,对5 V电源要求较高,但也要兼顾12 V电源,权衡反馈量,将R7,R8的反馈权值均设置为0.6,0.4,各个输出的稳定性均得到保障和提高。
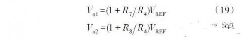
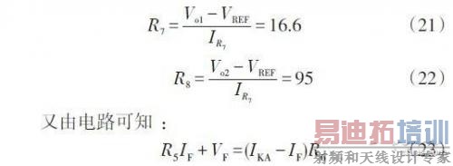
只有5 V输出有反馈时,如R4,R7取值均为10 kΩ,此时电流IR7 =250μA,分权后,R7分得150μA、R8分得150μA.根据TL431的特性知,Vo,VREF,R7,R8,R4之间存在以下关系:

式中:VREF为TL431参考端电压,为2.5 V;Vo为TL431输出电压。根据电流分配关系得(单位:kΩ):

式中:VF为光耦二极管的正向压降,由PC817技术手册知,典型值为1.2 V.先取R5=390Ω,可得R6=139Ω,取标称值150Ω。
3.7控制回路
由电容C7和电阻R12串联组成。C9用来滤除控制端的尖峰电压并决定自动重启动时序,并和R12一起设定控制环路的主极点为反馈控制回路进行环路补偿。由数据手册知,C9选择47μF/25 V的电解电容,当C9 =47μF时,自动重启频率为1.2 Hz,即每隔0.83 s检测一次调节失控故障是否已经被排除,若确认已被排除,就自动重启开关电源恢复正常工作。R12取6.2Ω。
4方案的实验结果
根据以上方案设计的方法和规范,设计出的一种基于TOP223Y双路+5 V/3 A,+12 V/1 A输出的反激式开关电源。在宽范围85~265 VAC的输入范围下对其性能进行了测试,如表1所示。

由以上选取的实验数据得出,+5 V/3 A(反馈权重0.6,负载500Ω)输出的电压调整率为SV =±0.18%,输出的纹波电压为39 mV,输出的最大电流为3.2 A;+12 V/1 A(反馈权重0.4,负载750Ω)输出的电压调整率为SV =±0. 3%,输出的纹波电压为68 mV,输出的最大电流为1.10 A.
该电源在满载状态时,功率可达27.6 W,最大占空比为0.60,电源效率为83.1%,开关电源具有良好的性能,满足应用要求。
5结语
本文所设计的开关电源方案,芯片的高度集成化,外围电路设计简单。电源的性能通过参数的调节仍有提升的空间。双输出双反馈异权重的设计使开关电源的更加实用灵活,不同的保护电路的设计,使电源的实用更加安全可靠,该方案所设计的电源在实际应用中表现良好。
射频工程师养成培训教程套装,助您快速成为一名优秀射频工程师...
天线设计工程师培训课程套装,资深专家授课,让天线设计不再难...
上一篇:直流偏移校正功能与
ADS58H40
PCB
布局优化
下一篇:极端工作环境下的动态可调偏置半瓦驱动放大器ADL5324

