- 易迪拓培训,专注于微波、射频、天线设计工程师的培养
节能型循环泵控制器
摘要
为了制造出更加节能高效、调控性能良好的空调、水泵等变频电器,设计者不断的提高电机控制技术。永磁同步电机( permanent magnet synchronous motor, PMSM)具有体积小、效率高、控制精度高、调速范围宽等特点,已成为变频控制领域的主流电机之一。为了实现高性能的转速控制,PMSM 控制系统一般安装有机械式速度/位置传感器。但是机械式速度/位置传感器的使用不仅增加了系统的成本,也使得 PMSM 体积变大。同时,复杂、恶劣的工作环境大大降低了速度/位置传感器的可靠性。因此,为了降低系统成本,提高系统的可靠性等的要求,无速度/位置传感器(一般简称无传感器, sensorless)控制技术成为了当前的技术热点。
基于无传感器技术的永磁同步电机 PMSM 矢量控制调速系统结构简单、易维护、体积小、成本低,能应用于一些特殊场合,因此成为了当前的研究热点之一。无传感器控制的核心是转子位置和转速估计,估计的精度和稳定性决定了系统控制性能的优劣。基于滑模观测器(slide mode observer, SMO)的位置估计方法结构简单、易于实现,从而得到了广泛的应用。
1986 年召开的第 25 届决策和控制会议上,麻省理工学院的 J.J.Slotine 教授提出使用SMO 实现非线性估计问题,奠定了滑模观测器应用与转子位置估计的基础。SMO 是利用滑模变结构控制系统对参数扰动鲁棒性强的特点,将状态观测器中的控制回路用滑模变结构代替,从而达到良好的估计效果。滑模变结构是为控制系统预先在状态控制上设计一个特殊的开关面,在系统变量从起始点运动到开关面之前,系统的控制结构维持一种形式;当系统变量达到开关面之后,开始自适应的调整率控制,最终使系统状态沿着开关面一直滑动到平衡点,此时系统的控制结构又维持另一种形式。滑模变结构对参数变化及扰动有良好的鲁棒性,且结构简单、响应速度快,因此在 PMSM 位置估计中得到了广泛的应用。
本文基于滑模观测器在无位置传感器电机控制系统中的应用展开讨论,并给出无传感器系统相应的软硬件实现。
1、节能型循环泵控制器硬件系统
某隔离电源系统完成 DC/DC 的转换,采用全桥拓扑,输出电压为 12V。其中,全桥的原边侧驱动器就采用了UCC27201,共计两颗。

图1-1 节能型循环泵控制器硬件系统
节能型循环泵控制器包括主电路模块、控制电路模块和人机交互模块。
主电路模块包括 EMC 滤波器、整流桥、集成功率器件和驱动的 IPM模块。230Vac 市电经过EMC 滤波器、整流桥整流后变为高压直流电,三相全桥逆变电路将高压直流电逆变为三相交流电实现对电机的控制。
控制电路模块包括微控制器 F28027 的最小控制系统、两路的定子电流检测及调理电路、直流母线电压检测电路、过流保护电路、电源管理模块。
人机交互模块通过 SPI 通信和普通 I/O 口与 MCU 进行通信,可以实时显示电机的转速和电机功率等参数,也可以通过按键设置电机的转速给定值和输出功率的的最大值。
1.1 主控芯片
节能型循环泵控制器控制系统的核心采用 Piccolo F2802x 系列微控制器 F28027 ,其内核为高效 32 位中央处理单元 (CPU) (TMS320C28x),工作频率高达 60MHz,具有多达 22 个具有输入滤波功能可单独编程的多路复用 GPIO 引脚和三个 32 位 CPU 定时器,片上集成 32K 字节的FLASH,16K 字节的 SRAM,1K 字节的 BOOT ROM和片上代码保护模块,分别用来存储用户编制的程序、数据、并实现系统的不同方式引导。自带增强型的捕获单元(eCAP)、6 路增强型PWM 产生单元(ePWM),12 位 16 通道的快速 ADC 单元以及其他一些通讯模块如 SCI、SPI等,非常适合于电机控制。
F28027 芯片电路如图 1-2 所示:

图1-2 节能型循环泵控制器控制系统的核心F28027
1.2 定子电流检测及调理电路
定子电流采样电路将运行中的电流信号转化为电压信号,经过加法和放大电路,RC 滤波后送到 F28027 的 A/D 转换通道。电路将峰值-0.6A~+0.6A 的电流信号调理为 0~3.3V 的电压信号,其中 0A 对应 1.65V,-0.6A 对应 0V,+0.6A 对应 3.3V。因为三相定子电流之和为 0,所以只需要测量两相定子电流,另外一相可通过计算得到。定子电流信号的采样由精密电阻来实现。图 1-3 为其中一相的电流采样及调理电路。

图1-3 定子电流检测及调理电路
1.3 直流母线电压检测电路
用电阻分压的方式将输入的高压直流电转为 0~3.3V 的低压信号送至 F28027 的 AD 采样通道,其中输入电压 425Vdc 对应 3.3Vdc。如图 1-4 所示。U11 为钳位二极管,起到保护 MCU 的作用。

1.4 过流保护电路

图1-5 过流保护电路
过流保护电路将三个半桥电路的一端并联一起通过 R51 接地, 通过 R51 将电流信号转为电压信号,经过运放电路放大,RC 电路滤波后送至 F28027 的 AD 转换通道,通过 AD 采样值判断电路是否产生过流。
1.5 IPM 模块

IPM 模块 FSB50450 集成了三相全桥电路和相应驱动电路,直流母线输入电压可高达500V,功率器件连续工作电流最大可达 1.5A,驱动电路的工作电压为 15V,适合小功率的电机驱动。
[p] 1.6 电源管理模块

电网交流电经过整流桥整流,电容滤波之后为高压直流电,VIPER12AS 将高压直流电变换为15V 的稳定的直流电,一方面给电源芯片 TPS54231 供电,另一方面供给 IPM模块作为驱动电源。电源芯片 TPS54231 恒压输出 3.3V 电供给 F28027 及外围运放电路。
1.7 人机交互模块
人机控制模块功能包括:
1.通过数码管显示输出功率或电机的转速,两种显示模式可以通过按键操作实现切换。
2.通过按键的操作设定电机转速和输出最大功率值。

F28027 通过 SPI 通讯控制 3 组 LED 灯,为了简化电路,降低成本,节省系统资源,将三组的 LED 并联在一起,由一片 SN74HC595DR 控制。由于所有各组 LED 皆由一个 SN74HC595DR并行输出口控制,因此,在每一瞬间,只能显示一组 LED 的值。为了使每组 LED 显示不同的值,就必须采用动态扫描的方法,即在每一瞬间只显示一组 LED 的值。在此瞬间,SN74HC595DR 并行输出口输出相应字符段选码,而位选则控制 I/O 口在该显示位送入选通电保证该组显示相应的值。如此轮流,使每组 LED 分时显示该组应显示的值。
Choose0、Choose1、Choose2 是分别是三组 LED 的片选信号,由 F28027 的普通 I/O 口控制。每组的 LED 的正极驱动信号由 F28027 的 SPI 模块控制,SPI 通讯电路如图 1-9 所示。

2、永磁同步电机矢量控制系统
矢量控制理论于 1971 年由德国西门子公司的 F.Blaschke 提出。矢量控制的基本思想是将电机的三相电流经坐标变换变成以转子磁场定向的两相旋转坐标系下,从而可以像直流电机那样进行扭矩控制。矢量控制系统可在全速度范围内实现电机电流的良好响应、控制效率高、调节器的设计比较容易实现、速度的调节范围宽、具有良好的带载起动性能。因此,矢量控制方案是PMSM 控制系统的首选方案。矢量控制算法的控制框图如图 2-1 所示:

矢量控制的实现步骤如下:
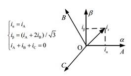
1. 测量三相定子电流。可以只测量两相电流,如
,第三相可以根据三相电流和为零得到,即
;
2. 检测转子位置和转速,在无传感器系统中使用 SMO 方法进行估计;
3. 将三相电流由三相静止 ABC 坐标系变换到两相静止αβ 坐标系,得到
;
4. 将
由两相静止αβ 坐标系变换到两相旋转dq坐标系,得到
。稳态情况下
为常值;
5. 根据转速指令和电机真实转速进行 PI 运算,得到与扭矩控制直接相关的q 轴电流命令值
。采用
控制方式时
;
6. 根据dq轴电流的命令值和真实反馈值,得到相应的误差电流,从而进行电流环 PI 运算,输出结果为期望施加到电机上的电压矢量
和
;
7. 将旋转坐标系下的电压矢量
和
通过逆变换得到两相静止αβ 坐标系下的电压命令
;
8. 根据
进行 SVPWM 调制,计算出新的 PWM 占空比,从而控制逆变器输出期望的电压矢量。
下面详细介绍各步骤的实现方法。
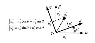
2.1 坐标变换
矢量控制的基础是通过坐标变换将三相交流量变换到两相直流量,从而可以使用经典的 PI 控制器加以控制。矢量控制中存在的坐标系主要包括:三相绕组对应的三相静止 ABC 坐标系;两相静止αβ 坐标系;两相旋转dq坐标系。各坐标系的示意图如图 2-2 所示:

图2-2 矢量控制中的 3种坐标系
2.1.1 Clark 变换
经 AD 测量得到的 3 相电流理论上是幅值相等、相位互差 120°的交流量,可以使用 Clark 变换将其变换到两相静止坐标系下。根据三相电流和为零可知,只需测量两相电流即可完成此变换。Clark 变换公式如下:

2.1.2 Park 变换
经过 Clark 变换后的电流信号仍然是交流量,不利于控制。因此使用 Park 变换将其变换到两相旋转坐标系下。进过 Park 变换后的电流信号变成了直流量。Park 变换公式如下:

式中θ 为当前转子位置。
2.1.3 Park 逆变换
PI 调节器输出的电压 经过 Park 逆变换后才能得到 ,从而便于矢量调制。Park逆变换公式如下:

2.2 PI 控制器
PI 控制器用于对闭环控制中被控对象的误差进行调节,输出相应的控制量,以实现反馈值跟踪命令值,从而得到期望的系统响应。PI 控制器结构简单,易于数字化实现,因此被广泛的应用于闭环控制系统中。
本文所设计到的电机控制系统中共存在 3 个相同结构的 PI 调节器,分别用于控制电机转速、d 轴电流和q 轴电流。相应的 PI 控制器结构框图如图 2-3 所示:

1) PI 控制器的比例增益Kp主要用于调节系统响应的快速性, Kp越大系统对误差的响应越灵敏。但是过大的 Kp值会造成系统响应超调、稳态抖动等现象。
2) PI 控制器的比例增益Ki 主要用于调节系统响应的稳态精度。 Ki太小会降低系统的稳态精度; Ki太大会导致系统的稳态震荡。
3) PI 控制器的限制积分饱和增益Kc 起到降低积分饱和对系统影响的作用。当系统的积分项发生饱和时,继续增加积分项将不会影响输出,此时输出无法起到对系统的调节作用。 Kc用于限制积分饱和现象的发生,使得系统输出从饱和状态脱离出来。
2.3 空间矢量调制(SVM)
电机控制中常用的两电平三相逆变器的拓扑结构如图 2-4 所示。三对开关 Tl
-T2、T3-T4 和 T5-T6 可构成 8 种导通状态,在表 2-1 中分别用序号k = 0,1,2,…,7 来表示。为避免短接,逆变器每条臂上的两个开关不能同时导通,将上边开关导通而下边开关断开的状态定义为 1,否则为0。

表2-1 元件逆变器开关 的8种标通状标

三对开关管对应的 8 种状态所对应的电压矢量如图 2-5 所示。

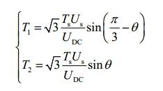
对于任意电压矢量Us 可由临近的两个电压矢量线性时间组合来合成,图 2-6 所示的是在第一扇区的情况,
作用的时间为
。由矢量合成的平行四边形法则,可得:

由三角形的边角关系可得

从而可以得到:

零电压矢量作用的时间为:

为使电压波形对称,将各电压矢量作用时间一分为二,并使三相桥臂每个开关管各开关一次,得到上桥臂开关信号如图 2-7。则 和 作用的时间为 。同理,可以得到其它扇区相应电压矢量的作用时间和开关信号。

3、基于滑模观测器的无位置传感器 PMSM 控制系统
3.1 电机数学模型
矢量控制方法的实现需要当前转子位置信息,为了准确的施加计算产生的电压矢量,需要当前转子位置完成坐标变换。在没有速度/位置传感器的电机控制系统中,位置信号没有办法直接检测得到,因此需要设计相应的位置和速度估计模块。
PMSM 在αβ 定子静止坐标系的数学方程为:

式中,
为α、β坐标系中α 轴和β 轴电流;
为α、β坐标系中α 轴和β 轴电压;Ls 为相电感;Rs 为相电阻; Ke为反电动势系数;We 为转子电角速度;θ 为转子位置;eα、eβ为α、β坐标系中α 轴和β 轴反电动势。

由式 3-1 可以看出,反电动势的相位中包含有转子位置信息,可以通过对反电动势进行观测,从而估计出转子位置。
3.2 滑模观测器算法分析
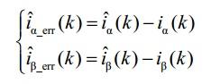
滑模观测器即是基于上述αβ 定子静止坐标系的数学方程实现的,整个滑模观测器位置估计方法的框图如图 3-1 下:

由图 3-1 所示,滑模观测器算法的输入量为:
——α 、β 轴电压;
——α 、β 轴电流;
Rs——定子电阻
Ls——相电感
Ts——控制周期
算法输出量为:
——转子位置估计值
——转子转速估计值
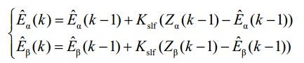
滑模观测器的本质是通过结构变换开关,以很高的频率在滑模面上来回切换,是状态点以很小的幅度在相平面上运动,最终运动到稳定点,从而使得估计值逼近真实值。传统的常值切换滑模控制应用于反电动势观测器时,由于开关时间和空间上的滞后,使得滑模观测器呈现固有的抖动现象。因此使用饱和函数代替开关函数作为切换函数,通过选择合理的边界层厚度削弱抖动。
基于饱和函数的离散滑模观测器为:

式中
k表示当前周期;k −1表示前一个周期。
为代替滑模变结构开关函数的饱和函数,函数曲线如图 3-2 所示。图中,
为边界层。

估计电流的误差方程为:

通过滑模变结构进行估计的结果如下:

式中,
为滑模增益,其值必须满足滑模可达性和存在性条件,否则观测器不能进行滑模运动,一般可取
为转子磁通;
为饱和函数的饱和限值。
将滑模估计的结果为开关信号,其中含有反电动势估计值的信息,经过低通滤波器得到估计的反电动势为:

其中
为滤波器截止频率。
从而求得转子位置为:

对位置微分即可求得转速:

转速信号中包含了滑模所带来的抖动,因此需要对转速进行滤波:

3.3 算法实现
滑模位置估计方法是基于反电动势估计的,电机在零速和低速时反电动势很小,这极大的影响了滑模观测器的性能,甚至是不能工作。因此需要设计另外的算法确保电机启动。最为简单的启动算法是使用压频比(V/F)控制方式启动电机。
为了降低从压频比方式过渡到滑模估计控制方式的电流波动,压频比控制时电流环仍然工作,因此压频比控制的工作原理为:给定电流命令值
和转速命令
*经斜率控制函数后会产生渐变的转速指令
,对
进行积分得到开环控制的转子位置,从而构成整个开环控制。由于压频比控制不可避免的会造成转子位置跟踪的偏差,因此给定的
应略大于启动扭矩。
当给定电流命令值
太大时,虽然这有利于转子真实位置更好的跟踪开环给定的转子位置,但是这会造成功率的浪费,同时会导致切换至滑模控制时电流有较大的波动。因此,起始给定电流命令值
可由调试得到
,
不宜太大。为了确保压频比控制有效启动,当给定的 无法启动电机时应逐渐加大
(由程序中的函数自动完成),直至系统允许的最大值;给定的最大值还是无法启动电机,则进行报警处理。
整个算法的状态机图如 3-3 所示:

4、实验结果及分析
电机最小工作转速为 1000rpm,因此电机起动后立刻加速至 1000rpm,稳定后电流波形如下图 4-1 左所示。水泵的最小工作转速为 1200rpm,此转速下的稳态波形如图 4-1 右所示。由两张波形可以看出,在最小工作点电机稳定运行。

图 4-2 左是电机工作在 2000rpm 时的稳态电流波形,图 4-2 右是电机工作在 3000rpm 时的稳态电流波形。由两张电流波形可以看出,此时电流波形正弦度较高。

表 4-1 列出了在不同转速下的功率和效率数据。数据存在一定的测量误差,但是即使如此,从数据依然可以看出,该水泵系统的高效工作点在 1500rpm 以上。
表4-1 不同转速下的功率和效率数据

射频工程师养成培训教程套装,助您快速成为一名优秀射频工程师...
天线设计工程师培训课程套装,资深专家授课,让天线设计不再难...
上一篇:基于安森美NCP1937控制器的电源应用
下一篇:详解运放及其补偿技术

