- 易迪拓培训,专注于微波、射频、天线设计工程师的培养
利用 OPA 实现 Bass Boost 案例分享
张方文 Fabian Zhang---East China OEM Application Team
摘要
在模拟音箱和耳机驱动系统开发过程中, 工程师经常希望利用驱动电路来改善低频/高频响应曲线. 在数字系统中,往往通过 EQ 来进行调整,只需要很低的成本就可以满足各种应用. 而全模拟系统中要实现 EQ 功能,则需付出更多成本和努力. 本文介绍一种利用 Shelving Filter 来实现 Bass Boost 的方法,相对比较简单、成本低廉。
1、Bass Boost 调整电路的应用场景
音箱设备对于音乐不同频率成分的还原能力不相同,通常利用频响曲线标识这一特性. 抛开是否好听等主观因素,理想的系统频响曲线为一条直线。但是实际应用中,由于结构设计与成本的考量,理想频响曲线是无法实现的. 每一个音频设备都有其频率响应曲线.图 1.1 常见动圈式 SPK 频响曲线:

从图上可以看出,在 100~1KHz & 10K~20K 喇叭本身电声转换效率较差, 为了让系统的频响曲线更接近理想的一条直线,工程师在设计驱动模块时,通常会设计一些电路来调整低频和高频部分的增益,使系统的频率响应曲线更理想化。
2、Bass/Treble 调整电路理论基础及优化设计
有源低通 invert Shelving Filter 电路结构及频率特性曲线如图 2.1 所示


如图 2.1a 所示电路结构,等效反馈阻抗 Rfb 计算公式如公式 1 所示:

与当输入信号频率比较低时,C2 容抗很大,等效为开路.此时 Rfb 约等于 R2,由此可得此时通路的增益 G1 为

当输入信号频率较大时,C2 容抗很小,等效为闭路,此时 Rfb 等效为 R2 与 R3 并联阻抗,通路通路增益 G2 为:

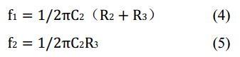
为了更便于分析 Shelving Filter 性能,同时引入两个频率参数:

下面我们根据客户一个应用实例来分析如何选择 Shelving Filter 电容和电阻值. 以满足客户需求. 图 2.2 是客户目标频率响应曲线:

从如图 2.1 所示曲线与 Shelving 低通滤波器频率响应曲线高度一致。因此,可以设计一个 Shelving Filter 来实现该 Bass Boost 功能. 由图可以直接确定,Shelving Filter 的基本参数 G1 = 3dB,G2 = -1.5dB,本文中,为了简化设计与计算,将目标曲线整体上抬 1.5dB, 取 G2 = 0dB,G1 = 4.5dB, f1 = 400hz,f2 = 800hz ,取 R2 = R3。同时设计一个前置高通滤波器达到目前曲线低频抑制效果,本文利用一个简单的 DC-Blocking电路来实现。
根据给定的目标参数,基于 TI DRV632 设计出的电路机构如下:

AC 仿真图如下:

图 2.4 电路仿真图
在客户应用电路上实际量测图 2.5:

通过实测图对比可以看出,使用 Shelving Filter 完全可以满足一般客户对于简单 Bass Boost 电路设计需求。
3、小结
本文通过客户实例分析,详细介绍如何利用 Shelving Filter 来实现简单的Bass Boost。其最主要的特点在于调整目标频率增益的同时,可以让带外的信号不做太大衰减或放大。基于 Shelving Filter 特点,可以更进一步设计出 Treble Boost 电路,甚至可以通过级联,实现任意频段增益控制.对于在无法实现数字 EQ 的系统中,该设计可以帮工程师以更简单快捷成本低廉的方式实现更好品质音乐系统。
射频工程师养成培训教程套装,助您快速成为一名优秀射频工程师...
天线设计工程师培训课程套装,资深专家授课,让天线设计不再难...
上一篇:基于单片机的晶闸管触发装置的设计方案
下一篇:了解模拟世界中的放大器

