- 易迪拓培训,专注于微波、射频、天线设计工程师的培养
1A 高稳定度恒流源的试制
1原理
作为精密直流测量系统,高稳定度的恒流源的设计是十分重要的。本系统采用的是集成运放反馈型恒流源电路,它通过负反馈作用,便加到比较放大器两个输入端的电压相等,从而保持输出电流的恒定[ 1].图1是反馈型恒流源的电路及方框图,其中包括高速管理、采样电阻、基准电压、比较放大器等。在要求输出电流较大、精度较高的实际应用中,采用反馈型恒流源电路是行之有效的方法。

由图1(a)可知,比较放大器一个输入端是基准电压Us,另一端是负载电流I0 ,采样电阻Rs的电压降I0Rs,若比较放大器两个输入电压暂时不等,其电压值被放大后,加到高速管的栅极( G)与源极( S )之间,从而改变调整管VGS的值,由调整管的转移特性可知: I0在Rs两端的压降也随着改变,直到比较放大器的两个输入电压之差等于零,于是
![]()
即

由此可见,在理想状态下,反馈型恒流源的输出电流I0仅由基准电压Us和采样电阻Rs决定,而与输入电压UI和负载电阻RL的变化没有关系。
2反馈型恒流源输出电流不稳定因素分析
根据图1( a)电路可以推导出输出电流表达式如下
![]()
其中, UI—恒流源直流输入电压; U0—恒流源输出电压; I0—恒流源输出电压; Us—基准电压; r0—调整管电路等效输出电阻; RS—采样电阻; K—放大器(包括调整管)总电压增益。
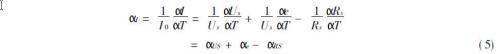
为了说明( 2)式所表达的物理意义,可将其分解为三部分,即

其中, I1主要表征输出电流I0与基准电压Us和采样电阻Rs间的量值关系。当K很大时, KRs>>(Rs+r0),第一部分可写成I1= Us/Rs.这是理想恒流源的输出电流,其值由Us和Rs决定。
I2主要表征I0与恒流源直流输入电压UI的量值关系。当满足KRs>>(Rs+r0)时,I2= Ui/KPs.它实际反映了恒流源电压高速率指标大小。
I3主要表征I0与恒流源输出电压(或负载电阻RL )之间的量值关系。在满足KRs>>(Rs+r0)时, I3=U0/KRs.它实际上反映了恒流源负载调整率指标大小。
容易看出,若总电压增益K的设计值很大, I2、I3可以忽略不计,结果I0= I1= Us/Rs ,使本电路成为一个理想恒流源。
影响反馈型恒流源输出电流稳定性的因素很多。由( 2)式可知,输出电流I0与UI、U0、Us、Rs及K都有直接关系。这还不包括放大器的漂移和噪声电压e以及环境T的影响。
若考虑零点漂移和噪声电压e的影响,恒流源输出电流I0的表达式为:

对( 3)式求全微分并化简得

其中,前三项表示恒流源内部不稳定因素,后两项表示恒流所处的外部因素对其稳定性的影响。
考虑到环境温度的影响。恒流源的温度系数αI可以表示为

即恒流源的温度系数αI由基准电压、放大器零点漂移和噪声电压以及采样电阻三者的温度系数共同决定。
3元器件选择
知道了影响恒流源输出电流的各种不稳定因素后,适当地选择元器件,合理地布线,可以使各种不利因素影响尽量减小,以提高恒流源的整体性能。
3. 1调整管的选用
调整管选用的是绝缘栅场效应管( MOSFET )中的N—沟道增强型。绝缘栅场效应管是利用半导体表面的电场效应进行工作的,由于它的栅极处于不导电(绝缘)状态,所以输入电阻大大提高,最高达1015欧 ,这为恒流源的输出精度打下了良好的基础。N—沟道增强型的工作条件是:只有当VGS> 0时,才可能开始有i0, N—沟道增强型绝缘栅极场效应管的符号及特征曲线如图2所示。
由特征曲线可知,只有在VGS>VT (开启电压)的情况下从源极到漏极才有导电沟道,与此同时,若VGS处于正值时,则有较大的漏极电流i0流向源极,并且i0随VGS的增大而增大。

3.2精密电压基准LM399
LM399是带有恒温控制器的有源齐纳基准,可以提供稳定性极高的电压基准,温度系数为0.00003%/℃,在0. 5mA~10mA工作电流范围内温度系数和基准电压不变.表1为LM399与其它基准电压源性能比较。

在LM399中包含有一个恒温电路,能自动调节整个集成块的工作温度,使之保持在±0. 1℃误差范围,从而大大改善了环境温度变化对电压基准的不利影响。这也正是LM399极低温漂、高稳定性的原因所在。图3为恒流源中基准电压输出电路,在实际电路中所有固定电阻采用低温漂、高精密电阻,电位器选用微型精密多圈电位器。

3. 3采样电阻
对于采样电阻而言,精度自然十分重要,它会直接影响到恒流源的性能,但温度变化和时效变化都会使电阻阻值发生变化,所谓"固定电阻"实际上是不固定的。解决的办法是选取温度参数和时效变化小的电阻材料并采用适当的工艺措施以减小温度和时效变化的影响。实际电路中选用大功率硅锰铜材料制成的精密线绕电阻,其电阻的阻值和温度关系可用下列二次式表示:

式中, RI—t温度下的电阻值; R20—20℃时的电阻值; A—一次项温度系数一般为1×10- 6/℃; B—二次项温度系数约- 0. 5×10- 6/℃。
3. 4第四代集成运算放大器
放大器采用斩波稳零运放ICL7650,全新的设计思想使它在直流特性上成为近于"理想"的第四代集成运放。它有效地控制了零点漂移。ICL7650的主要性能参数如下: ( V±=±1V室温)
a.输入失调电压V10 0.7μV最差5μV
b.输入失调电压温漂dU10/dT 0.01μV/℃
c.开环差模电压增益Aod 120dB
d.输入偏置电流IIB 1.5PA
e.差模输入电阻Rod 1012欧
在实际电路中,选取外接电容器CA=CB= 0.1μF较合适,使用精密的聚苯乙烯优质电容,来保证采样保持的精度; ICL7650运放远离发热元件,防止环境温度变化引起的误差;在输入端采用适当的隔离环节与绝缘措施,防止通过印制板向输入端漏电。

4组装与测试
综上所述,便构成了高稳定度恒流源的基本框架。在实际电路安装时,为了消除电网电压的波动,防止调整管消耗功率太大,采取了调整管与放大器独立电源供电,电路如图4所示,恒流源供电采用EMI滤波,开关电源预稳压( 18.5V/ 3A ) , LM338三端集成稳压器调整电压为15V±0.015V,这样一来大大改善了恒流源输入电压UI变化的不利影响。
电路安装完毕,调整W1改变基准电压Us ,使恒流源的输出电流I0为1A ,经过多次测试,其输出结果见表2.

电流相对变化率为6×10-5.
..............................................
与非深度解读系列:
半导体公司"大学计划"的追问和真相
大环境的不景气是就业环境恶化的元凶,但是也让我们不禁追问半导体公司的大学计划对于学子们的真正意义。厂商们的大学计划都在做些什么?那么多的联合实验室有得到充分利用吗?大学计划的直接体验者--老师和学生们是否真正从中受益…….【专栏作者:高扬】
本土IC公司调查笔记
全球经济不景气的大环境下一些本土IC公司的创新能力、管理能力、抗风险能力、盈利能力,甚至公司创立的动机都受到一些质疑。一方面官方的消息总是告诉我们中国的半导体产业得到了长足的进步;而街巷小道中又不绝流传多少本土IC公司倒闭,多少公司靠欺骗,根本没有核心竞争力….真相只有一个,也许会随《本土IC公司调查笔记》慢慢开启…【专栏作者:岳浩】
电子屌丝的技术人生系列
在这个系列里,每个故事都会向你展示一个普通工程师的经历,他们的青葱岁月和技术年华,和我们每个人的的生活都有交集。对自己、对公司、对产业、对现在、对未来、对技术、对市场、对产品、对管理的看法,以及他们的经历或正在经历的事情,我们可以看到自己的影子,也看清未来的样子……【专栏作者:任亚运】
细说电子分销江湖的那些事
对于从事电子分销行业的同仁们来说这是一个最坏的年代,也是一个最好的年代,我们即面临国际分销巨头在管理、资金、货源等方面对我们造成的冲击,又迎来本土集成电路的崛起,个性化服务盛行的机遇,通过这个系列,我想以"第一现场"的经历带大家一起了解国内集成电路分销的那些年、那些事,以及哪些感慨…..【专栏作者:张立恒】
射频工程师养成培训教程套装,助您快速成为一名优秀射频工程师...

