- 易迪拓培训,专注于微波、射频、天线设计工程师的培养
基于自谐振频率电容器种类的选择算法
为使PDN阻抗曲线能在一个较宽的频率范围内不超过目标阻抗曲线,对去耦电容器种类的选择至关重要。因此,提出了基于自谐振频率电容器种类的选择算法,该算法已经用于工程实际中,效果理想。
随着芯片制造工艺的发展及应用需求的增加,其集成度越来越高。因此,在高速高密度芯片内就会不可避免地产生电源噪声,而其供电引脚也会引入大量外部电路中的电源噪声,这些电源噪声对电路设计的影响已成为高速PCB设计的瓶颈。
电源分配网络通常由如图1所示的结构组成,其中包括:稳压器(Voltage Regulator Module,VRM)、去耦电容器(Decoupling Capacito r)、电路板平面(Plane)、电路板上的扩散电感和电阻以及BCA过孔。

当稳压器输出阻抗超出目标阻抗时,就需要采取措施降低整个网络的有效阻抗,一般通过添加去耦电容器解决这个问题。
文中以电源分配网络的结构为基础,为解决电源完整性(Power Integrity,PI)问题,以达到使电路板上的电源分配网络能为芯片提供纯净的电源,去耦电容器种类与个数的选择环节至关重要。文中主要介绍了去耦电容器种类选择的算法,以及提出的基于自谐振频率电容器种类的选择算法。
1常用的算法
(1)Big"V"法。是利用容值相同的多个电容器并联生成的低阻抗来降低PDN(Power Distribution Net)阻抗。通过不断增加某一容值电容器的个数达到设计目标。由于Big"V"方法应用的前提是不考虑平面并联谐振,通常选用较大容值的电容器。Dr.Howard Johnson建议考虑选择所提供的容值最大的电容器。
(2)Flat Response与Decade Methods.两种方法是利用不同容值的多个电容器并联生成的低阻抗以降低阻抗特性。
Flat Response建议每个数量级选择3个容值,如2.2 nF,4.7 nF,10 nF,22 nF,47 nF,100 nF等。Decade Methods建议每个数量级选择一个容值,如10 nF,100 nF,1μF,10μF,100μF等。
陶瓷电容器,特别是小容值的电容器,通常表现出很高的Q值:每个电容器在SRF处的ESR比jωL小得多。当给定目标阻抗和频段时,应充分利用这些器件的高Q值,通过控制ESR而不是jωL来设计去耦网络。
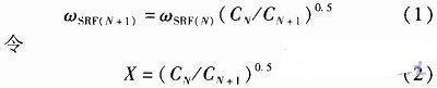
要设计出一个较为平坦的PDN阻抗特性,这些容值递减的电容器分别所需的个数会随ESR值增多。假设网络中所有电容器即具有相同的封装,也具有相同的安装电感,这时它们的SRF有以下规律

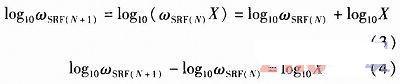
其中,X可理解为相邻两个电容器自谐振频率问的比例关系。从而,Flat Response中的X=1.47,Decade Methods中的X=3.16.转化为对数坐标

由于这两种方法中X均为常数,从而由式(4)可以看出,所选容值的自谐振频率在对数坐标下是等间隔分布的。
具体地,Flat Response算法与Decade Methods算法中容值的选择分为3个步骤:(1)找出VRM不能再维持低阻抗时的频率点FLF_CROSS.(2)确定需要设计的目标阻抗和截止频率FHF_CUT_OFF.(3)估算所需容值的种类

显然,该方法中所选容值的种类数是由需要设计频段的数量级决定,频段的每个数量级中分布的电容器种类是固定的。设计出的去耦网络与其他方法相比,具有以下优点:
(1)元件数量较少。
(2)较高的ESR,将并联谐振峰值降低。
(3)较快的瞬态响应。
2自谐振频率电容器种类选择算法
根据PDN的基本理论,降低并联谐振峰值有两种方法:
(1)使第3个电容器的自谐振频率与并联谐振频率相一致。
(2)使第3个电容器的自谐振频率位于其他两个电容器自谐振频率中间。
确定选哪算法取决于电容器的ESL、ESR,以及容值之间的差距。由于可用电容器的最大种类上限数目不确定,因此可能会出现仅允许用3种电容器甚至更少种类的情况。这里假设最大种类同设置的截止频率无直接关系,重点介绍应用4种及以上电容器时的容值选取算法。对一种、两种以及3种电容器的情况进行了简单讨论。
通过对Flat Response算法与Decade Methods算法的具体分析,可以发现这两种算法有几点不足:
(1)算法的选择在很大程度上受所提供电容器容值种类的限制。如果给定了足够多的容值,而且涵盖了整个设计频率范围,那么可以尝试选用任何一种方法;但如果给定的容值种类偏少或分布不均匀,可能就不能满足每个数量级分布3种,或一种容值的要求。
(2)两种算法都有一个前提条件,所有电容器的ESL以及安装电感相等。这使得这些算法对电容器容值的选择方法在实际设计中并不适用。
(3)在实际应用中,可能会出现同时使用相同容值,不同封装的多种电容器的情况,上的两种算法只能将它们当作一种容值的电容器来使用,无法同时发挥这几种电容器的作用。
为更灵活、充分地的发挥所提供电容器的功能,文中将这些算法进行了优化。
首先,根据实际提供的电容器,对设计中可用到的种类最大值进行估计,然后利用这个最大种类来灵活地确定应该选择的容值组合。
Flat Response算法与Decade Methods算法都遵循一个原则:相邻两个容值的比例关系确定,而且在频域对数坐标中,它们的自谐振频率等间隔分布。式(5)则表明所选电容器的容值种类必须足够多,以保证这些电容器的自谐振频率可以涵盖整个需要设计的频率范围。
在此基础上,对电容器的选择不再单纯以容值为标准,而是在对数坐标中,将需要设计的频率范围平均分解为多个小频段,然后在每个小频段中选择一个电容器来负责提供低阻抗。其中,小频段的个数取决于可用的最大电容器种类。具体地,电容器类型的选择分为5个步骤:
(1)确定VRM不再能提供低阻抗时的频率点,作为设计频段的起点FLF.代码实现为:

(2)确定设计频段的最高频率点,即截止频率FHF.(3)将设计频段在对数坐标下平均划分为N段,N依赖于电容器最大种类数。代码实现为:

(4)获得每种电容器的自谐振频率。代码实现为:FselfO=[Fb1;Fb3;Fb4;Fb5;Fb6;Fb7;F1;F2;F3;F4;F5;F6;F7;F8;F9;F10;F11;F12];%从小到大排列电容器的自谐振频率。
(5)根据电容器的自谐振频率,从1~N段,依次寻找自谐振频率落在该段的电容器。显然,电容器的自谐振频率均位于频段中点最理想。但更多情况下,只能挑选一个离频段中点最接近的电容器。为避免重复选择一种电容器,每次都会判断该电容器是否已经被选择,如果被选择过,则继续在其他电容器中寻找。

这种算法在本质上与Flat Response与Decade Methods相同,同样要保证所选电容器能尽量覆盖整个需要设计的频段,从而达到在每个频率点都有提供低阻抗电容器的目的。这样,无论并联谐振峰值在哪个频率点,都不会出现设计漏洞,保证了设计的可靠性。
相对于Flat Response与Decade Methods,这种算法的优点在于:
(1)限制条件比较少,更适合于实际中PDN网络的设计。
(2)不需要知道过多与电容器相关的具体参数,仅需提供与其相对应的自谐振频率即可,将设计者从繁琐的ESL、ESR和C的限制中解脱出来。
(3)将容值的选择问题直接转化为自谐振频率的选择问题,从而将PDN网络设计彻底搬进频域,更加直观和易于理解。
经过反复验证,该算法在容值种类为4种及以上时,可以得到最佳方案。
但这种算法对于只可使用一种电容器的情况并不适用。通过实验发现,当仅使用一种电容器时,该电容器的容值与截止频率、目标阻抗以及并联谐振峰值均有较大关系。也就是说,无论将电容器的自谐振频率选择在并联谐振峰值处,还是在对数坐标中设计频段的中点,或选用所提供的最大容值的电容器,都不能保证是电容器数目最小的方案。鉴于仅用一种电容器时,其数目的计算仅是简单地增加电容器的数量直到满足条件为止,文中采用尝试比较的方法,以设计频段的中点为中心,取其周围4种电容器分别进行设计,选出使用个数最少的电容器作为最终方案。
当可使用两种电容器时,文中所提算法选择出的两个电容器的自谐振频率分别在FLF和截止频率。通过验证,这种选取并不是最佳方案。这里进行了几种方案的尝试:
(1)在设计频段的中间选择两个电容器。
(2)在FLF和并联谐振频率各选择一个电容器。
(3)在并联谐振频率和截止频率各选择一个电容器。
通过比较,第2种方案需要的电容器个数最少。所以,文中默认在FLF和并联谐振频率各选择一个电容器是最佳方案。该方案代码实现为:

对于选择3种电容器的情况,文中算法的性能依赖于所选的截止频率。如果截止频率较高,该算法依然能得到较好的方案,但截止频率较低时,结果并不理想,必须寻找更加稳定的算法。
这里进行了几种方案的尝试:
(1)在设计频段的中间选择3个电容器。
(2)在FLF截止频率以及并联谐振频率处各选择一个电容器。
通过比较,第2种方案使用的电容器个数最少,即最件方案。

显然,当两个电容器的自谐振频率差距很大时,应让第3个电容器的自谐振频率和并联谐振频率一致。
以下案例的目标阻抗为0.01 Ω,截止频率为20 MHz,对比分别由3种算法得出的PDN阻抗曲线如图2~图4所示。


从以上图中可以看出,在使用电容器数目基本一致的情况下,文中算法与Flat Response和Decade Methods的效果一样好,但文中算法要求更易于实现,更设和应用于工程设计。
3 结束语
通过介绍经典的去耦电容器的选择算法,引出了文中提出的基于自谐振频率的电容器选择算法,阐述了文中算法相对于经典算法的优势,通过此算法已经成功运用于PDN前仿真工具中,效果理想。
射频工程师养成培训教程套装,助您快速成为一名优秀射频工程师...
天线设计工程师培训课程套装,资深专家授课,让天线设计不再难...
上一篇:具有HART接口的完整4
mA至20
mA环路供电现场仪器
下一篇:讨论DSP系统中延迟电池寿命关键--DC/DC稳压器

