- 易迪拓培训,专注于微波、射频、天线设计工程师的培养
DC-DC开关稳压器--在DSP系统中延长电池寿命
引言
长期以来,MP3播放器、个人媒体播放器、数码相机以及其他便携式消费类应用的设计人员面临的一项挑战是实现产品的高性能和低功 耗。这些电池供电系统通常都使用嵌入式数字信号处理器(DSP),当系统处理多媒体应用任务时,DSP能达到最大处理能力,而当系统处于睡眠模式 时,DSP具有最小的功耗。电池寿命在手持式产品中是非常重要的指标,产品成功与否与供电系统的效率直接相关。
此类系统中的一个关键部件是降压式DC-DC开关稳压器,它能够高效地从较高电压获得较低的供电电压,如从 4.5 V获得1V的供电电压。作为稳压器,其必须保持恒定的电压,而且能够对输入电压的变化以及负载电流的变化迅速做出响应。本文将讨论的架构具有优良的稳压性 能以及高效率和快速响应的优点。
开关稳压器剖析
图1示出了ADI公司ADP2102的典型应用电路,这是一款低占空比、3 MHz同步整流降压转换器。ADP2102具有固定输出电压和可调输出电压的多种配置。这里将ADP2102连接成固定输出电压配置,由5.5 V的输入电压产生300mA、0.8 V输出电压。接下来给出输出电压可调的应用示例。

图1. 使用ADP2102由5.5 V输入产生0.8 V输出
这里将简单地解释该电路的工作原理:将DC输出电压的分压与误差放大器中的内部参考源比较,然后将误差放大器的输出与电流采样放大器的输出比较,以驱动单稳态触发器。单稳态触发器在由VOUT/VIN确 定的时间周期内处于暂稳态。单稳态触发器使上面的门控晶体管导通,电感L1中的电流逐渐变大。当单稳态触发器的暂稳态结束时,晶体管截止,电感L1中的电 流逐渐变小。在由最小关断时间定时器和最小("谷值")电流确定的时间间隔之后,单稳态触发器再次被触发。芯片内的单稳态触发定时器使用输入电压前馈,使 得稳态时保持恒定的频率。
该振荡以不确定的频率(大约为3MHz)持续进行,但是在必要的情况下可以响应线路和负载的瞬态变化而偏离该频率,以便输出电压保持恒定,并且使电感电流的平均值保持在输出负载所需要的电流值。
上文描述的方法是相对新颖的。多年来,DC-DC变换的主要方法是恒频峰值电流方法,当该方法在降压式DC-DC转换器中实现时,其还被称为后沿调制。有关该方法的详细描述、对其优缺点的评估以及上文描述的恒定导通时间谷值电流模式转换器,请参考其他技术文章。
ADP2012还具有欠压闭锁功能、软启动功能、过热保护功能和短路保护功能,并且具有±1%的反馈精度。该架构能够使主开关的导通时间低至60 ns或更低。
图2示出了不同条件下的典型波形。图2a示出了在ILOAD=600mA,电压从VIN=5.5V减小到VOUT=0.8V时的低占空比。如图中所示,在3MHz的开关频率下,可以获得45 ns的最小导通时间。
图2b示出了负载电流突增300mA时,负载电流和电感电流波形。
图2c示出了负载电流突减300mA时,负载电流和电感电流波形。
图2d示出了在占空比为50%时不存在次谐波振荡,而使用峰值电流模式控制时必须在设计时加以考虑。当占空比大于或小于50%时,同样不存在次谐波振荡。

图 2a. VIN = 5.5 V, VOUT = 0.8 V, 最小导通时间=45 ns

图 2b. 突加负载瞬态响应(ILOAD = 300 mA)

图2c. 突减负载瞬态响应 (ILOAD = 300 mA)

图2d. 占空比 = 50%, VIN = 3.3 V, VOUT = 1.8 V, ILOAD = 300 mA
DSP应用中的动态电压调节
在使用DSP的便携式应用中,通常由开关转换器提供DSP的内核电压和I/O电压,这需要使用电池供电应用的高效率DC-DC转换器。提供内核电压的稳压 器必须能够基于处理器的时钟速度动态改变电压或者按照软件的指令动态改变电压。另外,整体解决方案的小尺寸也同样重要。
这里描述的是,在电池供电的应用中将Blackfin处理器的内部稳压器更换为外部高效率稳压器,以提高系统供电效率。而且,这里还介绍了用于外部稳压器的控制软件。
动态电源管理
处理器的功耗与工作电压(VCORE)的平方成正比,并且与工作频率(FSW)成正比。因此,降低频率能够使动态功耗线性下降,而降低内核电压可以使动态功耗指数下降。
在对功耗敏感的应用中,当DSP仅简单地监视系统活动或者等待外部触发信号时,在保持供电电压不变的情况下 改变时钟频率,这对降低功耗是非常有用的。然而,在高性能电池供电的应用中,仅改变频率并不能显著节约电能。Blackfin处理器以及其他的具有高级电 源管理功能的DSP可以依次改变内核电压和频率,由此可以在任何情况下均实现最优的电池利用。
ADSP-BF53x系 列Blackfin处理器中的动态电压的稳压通常是由内部电压控制器和外部MOSFET实现的。该方法的优点在于,可以将单电压(VDDEXT)施加到 DSP子系统,从MOSFET得到的所需的内核电压(VDDINT)。通过内部寄存器可以软件控制内核电压,以便于控制MIPS,并且最终控制能耗,由此 实现最优的电池寿命。
为了完整地实现Blackfin内部稳压方案,需要一个外部MOSFET、肖特基二极管、大电感和多个输出 电容器,该解决方案价格相对昂贵,效率却很差,而且占用的PCB板面积是相对较大的,这给系统设计人员带来了很大的矛盾,在集成稳压器中需要使用大电感和 电容器,不利于消费者所希望的便携式设备尽可能小型化。该集成稳压控制器的效率是相对较低,通常仅为50%~70%,因此该方法不太适用于高性能手持式电 池供电应用。
外部稳压
通过新型DC-DC开关转换器设计方法,可以将Blackfin集成方法本身的效率提高到90%或更高。而且,在使用外部稳压器时可以减小外部元件的尺寸。
还可以使用多种动态电压调整(DVS)控制方案,包括开关电阻器(其在某些情况中可由DAC实现)和脉宽调 制(PWM)(其可以实现与内部方法相同的精度)。不论使用哪种方案,其必须能够通过软件控制改变稳压电平。上述稳压控制方法在内部稳压器是集成的,而在 外部稳压中必须通过外加器件来实现。
本文描述了两种使用ADP2102同步DC-DC转换器调节DSP内核电压的方法,当处理器在低时钟速度下运行时,可动态地将内核电压从1.2 V调节到1.0V。
ADP2102高速同步开关转换器在由2.7V~5.5V的电池电压供电时,可以使内核电压低到0.8 V。其恒定导通时间的电流模式控制以及3MHz开关频率提供了优良的动态响应、非常高的效率和出色的源调整率和负载调整率。较高的开关频率允许系统使用超 小型多层电感和陶瓷电容器。ADP2102采用3 mm×3 mm LFCSP封装,节约了空间,仅需要三或四个外部元件。而且ADP2102包括完善的功能,诸如各种安全特征,如欠压闭锁、短路保护和过热保护。
图3示出了实现DVS的电路。ADSP-BF533 EZ-KIT Lite 评估板上的3.3 V电源为降压转换器ADP2102供电,使用外部电阻分压器R1和R2将ADP2102的输出电压设定为1.2 V。DSP的GPIO引脚用于选择所需的内核电压。改变反馈电阻值可以在1.2 V~1.0 V的范围内调节内核电压。通过与R2并联的电阻R3,N沟MOSFET可以修改分压器。相比于R3,IRLML2402的RDSon 较小,仅为0.25 Ω。3.3 V的GPIO电压用于驱动MOSFET的栅极。为了获得更好的瞬态性能并改善负载调整率,需要加入前馈电容器CFF。

图3. 使用外部MOSFET和Blackfin PWM控制进行ADP2102的动态电压调整
对于双电平开关,一般的应用要求是:
DSP内核电压 (VOUT1) = 1.2 V DSP内核电压 (VOUT2) = 1.0 V 输入电压 = 3.3 V 输出电流 = 300 mA使用高阻值的分压电阻可将功率损失降到最低。前馈电容在开关过程中降低栅漏电容的影响。通过使用较小的反馈电阻和较大的前馈电容可以使该暂态过程中引起的过冲或下冲最小,但这是以额外的功耗为代价的。
图4示出了输出电流IOUT、输出电压VOUT和控制电压VSEL。VSEL为低电平时,输出电压为1.0 V,VSEL为高电平时,输出电压为1.2 V。

图4. 通过MOSFET调节下面的反馈电阻器
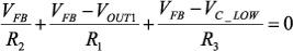
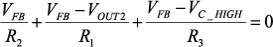
一种较简单的方法可生成用于DVS的两个不同的电压,其使用控制电压VC通过另外的电阻将电流注入到反馈网络中。调节控制电压的占空比可以改变其平均DC电平。因此使用一个控制电压和电阻可以调节输出电压。下面的公式用于计算电阻R2、R3的值以及控制电压幅度电平VC_LOW 和 VC_HIGH.
| | (1) |
| | (2) |
对于VOUT1 = 1.2 V, VOUT2 = 1.0 V, VFB = 0.8 V, VC_LOW = 3.3 V, VC_HIGH = 0 V, 和 R1= 49.9 kohm, R2 and R3可以如下计算
| | (3) |
| | (4) |
该方法产生了更加平滑的变换。不同于MOSFET开关方法,能够驱动电阻负载的任何控制电压均可用于该方案,而 MOSFET开关方法仅能够用于驱动电容负载的控制信号源。该方法可以适用于任何输出电压组合和输出负载电流。因此,根据需要调整内核电压,便可以降低 DSP的功耗。图5示出了使用该电流注入方法的两个输出电压之间的变换。

图5. 使用控制电压 VC进行ADP2102的动态电压调整

图6. 通过控制电压调节下面的反馈电阻器
参考文献
ADP2102 data sheet. Analog Devices.www.analog.com. Hariman, George and Chris Richardson. "Control Methods Solve Low Duty-Cycle Dilemmas." Power Electronics Technology. September 2006. Ridley, R. B. "A new continuous-time model for current-mode control with constant frequency, constant on-time and constant off-time in CCM and DCM." IEEE Power Electron. Spec. Conf. Record. 1990. pp. 382-389. Rossetti, Nazzareno and Seth R. Sanders. "Valley Design Techniques Outperform Peak Current Mode Approach for CPU Supplies." Power Electronics Technology. July 2001.作者:
By Sridhar Gurram [sridhar.gurram@analog.com]
Oliver Brennan [oliver.brennan@analog.com]
Tim Wilkerson [tim.wilkerson@analog.com]
射频工程师养成培训教程套装,助您快速成为一名优秀射频工程师...

