- 易迪拓培训,专注于微波、射频、天线设计工程师的培养
为ADC添加一个带噪声滤波器的数控PGA
引言
在一些应用中,需要对高动态范围的信号进行数字化。一种常见的数字化方法是在模数转换器(ADC)前面添加一个外部可编程增益放大器(PGA)。只有一少部分微控制器拥有内部PGA。但是,现在的一些PGA均以一个或者多个输入通道单芯片的方式出售。这类PGA增加了系统的成本,并且由于是一种固定增益解决方案,它通常会消耗更多的功率。
本文为您介绍如何利用一个单可重置积分电路来实现PGA,这种方法的好处是:
解决方案成本低且易于设计。 可以数字方式控制和校正增益。 使用低通滤波器减少信号噪声,其在高噪声的微控制器环境且用于小型模拟信号时特别有用。截止频率随选定采样速率自动调节。 可以外部控制零电位电压基准。单电源电路时,零电位通常设置为VREF/2,这种方法让其更易于操作。基本电路
图1显示了这种基本电路,其在ADC前面添加一个积分电路。该积分电路可由信号fRES (1 = 积分电路重置)重置。ADC由信号fSH控制,其连接至ADC的采样保持(SH)单元(1=采样,0=保持)。下降沿启动模数转换周期。

图 1 PGA 基本结构图
图2显示了图1所示电路的单模数(A/D)转换周期。该周期被划分为四个阶段:
1、"积分电路重置阶段":重置积分电路为"0。"
2、"积分阶段":积分电路重置信号被释放,积分电路开始求积分。
3、"采样阶段":ADC的采样保持单元对积分电路输出采样,即VINT。
4、"A/D转换阶段":采样保持单元保持电压,而ADC开始转换。

图 2 增益=1的单A/D周期
积分阶段的持续时间长短决定PGA的增益,因为其输入端上的电压影响线性斜线:积分时间翻倍,增益翻倍。图3说明了这种影响情况。积分时间翻倍,电压VSH也翻倍。

图 3 PGA增益=2的单A/D周期
这种积分方法的一个重要好处是,积分期间对输入信号求平均,其降低了来自输入信号VIN的带外噪声。滤波器的脉冲响应持续时间有限,其与数字FIR滤波器而非标准低通滤波器的性能相当。
[p]PGA的实际配置
反相放大器可以有一个单运算放大器(图4)。利用开关组件S,通过让电容器C短路,可以重置积分电路。组件R和C均影响积分电路的增益。

图 4 PGA 的实际配置
信号VCOM决定积分电路的零电位电压并可进行设置,例如,设置为VREF/2,其中VREF为ADC的基准电压。当电容器放电时,积分电路被设置为该电压值。通常,VCOM信号可以任何方式出现在系统中。它常常被用作单电源模拟信号链的一个虚拟接地或者偏置电压。
图5显示了图4所示电路的SPICE仿真结果。蓝色的点标示了ADC的采样矩。如图所示,信号VIN被放大至约原来的8倍。由于积分电路的反相动作,红色信号被反相为绿色。

图 5 图 4 所示电路的SPICE仿真结果
工作原理
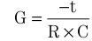
采样速率、最大期望增益和A/D转换时间影响R和C定义积分常量的选择。如图2和3所示,积分电路需要足够的时间来达到增益G,并且不超出积分期间的持续时间t。G和t的依赖关系可以计算如下:

开关(S)的关闭时间(积分电路重置时间)取决于开关的阻抗和电容器(C)的值。
校正
R和C的容差带来增益因数的改变。电容器应有非常小的压电效应,以获得非常线性的积分。电容器会有特别大的容差—例如:20%。这只是初始容差,其可以获得一次校正。老化效应带来的容差非常小(不超过1%每年)。
通过把已知电压应用于输入端,然后根据预计和实际值计算偏差和增益的校正值,我们可以用与使用标准ADC时一样的方法来对此处的增益和偏差进行校正。我们可以对应用中使用的每一个增益因数进行这种校正。
电路改进
仅把PGA用作一个低通滤波器(增益=1)
如果不想要输入信号放大,则可以把PGA电路仅用作一个噪声滤波器。我们可以将积分电路常量设置为某个能够获得固定增益1的值。在这种情况下,积分阶段会在采样之后立即开始,而保持阶段会被设置为保持模式(图6)。

图 6 PGA电路仅用作一个滤波器(增益=1)
非反相积分
图4所示电路使用了一个反相积分电路。当这种反相不可接受时,可以在积分电路前面添加一个单电源反相缓冲器,从而让非反相积分电路的使用成为可能。
结论
本文介绍了一种高成本效益且简单的方法,用于在一些成本和功率密集型应用中实现PGA功能。由于不再需要常常出现在ADC前面的外部滤波器,它的众多滤波特点还降低了成本。但是,这种方法并不能代替所有的PGA,例如,高采样速率或者超大增益变化就会让这种解决方案难以实现。
滤波器更多技术资讯,欢迎访问 滤波器技术专区
射频工程师养成培训教程套装,助您快速成为一名优秀射频工程师...
天线设计工程师培训课程套装,资深专家授课,让天线设计不再难...
上一篇:揭秘利用PI
Expert
v9.0进行开关电源设计全过程(2)
下一篇:揭秘利用PI
Expert
v9.0进行开关电源设计全过程

