- 易迪拓培训,专注于微波、射频、天线设计工程师的培养
低电压工作的极微功耗锯齿波振荡器
本文介绍的这一锯齿波振荡器电路仅需不到3.2μA的电流,且工作电压低于1V,是很有用的构件,非常符合极低功耗和低电压工作的要求。它可用作一个PWM控制回路、定时器或压控振荡器(VCO)的基础,或用作电容-频率转换器。这一电路的精妙之处在于:它采用漏极开路的比较器输出,做成一只精确的开关电流源;另外,它使用锁存功能,使一个简单比较器成为一个窗口比较器,而无需额外的元件。
这一电路的吸引力还在于它集小巧的外形、极少的外部元件和低供电电流于一身,并能够在电池电压变动时仍然保持恒定的波幅和频率。与传统的运算放大器非稳态多谐振荡器不同,这一设计的比较器阈值设定采用了精密基准电压,而不是运算放大器输出摆幅与电阻反馈的结合。
这种按照比率的固定频率设计,通常会产生振幅可变的锯齿波形,PWM控制回路不希望有这种波形,因为它会影响回路增益。而好处是,通过改变R1与R2,可以独立地控制斜坡的升高或降低。
如图1所示,这一电路仅包含8个部件:2个集成电路、4个电阻、1个电容及1个电源旁路电容。关键的部分为试金石半导体公司(TouchstoneSemiconductor)的两个模拟积木块IC,采用4mm2TDFN封装(TS12011和TS12012),各包含一个运算放大器、一个比较器及一个基准。凭借这些特征,这一设计可以做到超小且简单。

这一电路的优势在于尺寸小、外接部件少。
这一电路的运作方式如下:一个馈送给窗口比较器的加法积分器生成锯齿波形。放大器的反馈作用将积分器加法节点保持在VREF,从而使R1设定的固定正值参考电流与R2设定的更大振幅开关负电流相平衡。下方的比较器模块产生一个漏极开路输出;当其输出为低时,通过R2从加法节点中拉出电流:IR1=(0.87×VREF 0.58×VREF)/R1,IR2(开关电流)=0.58×VREF/R2。如果IR2被设定为2×IR1,将产生一个对称三角波。
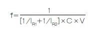
频率设定如下:

其中,V为0.87×VREF与0.58×VREF的差值。此处,f=850Hz。
图2显示了锯齿波和脉冲波形。

窗口比较器采用TS12012内置的闩锁功能来提供迟滞。闩锁功能具有以下特性:在被拉低时,比较器的输出仍有效,并检测输入状态,直到输入交越时为止。当斜坡穿过较低阈值0.58×VREF时,IC2中的比较器被置位;当斜坡穿过0.87×VREF时,IC2中的比较器被复位。复位的脉冲是一瞬间的,但会使闩锁进入如下状态:此时比较器输入的交越使之反复置位和复位(出现的原因是切换的基准电流使积分器进入负斜坡)。最终的结果就是不需要胶合逻辑。
电源电压低至0.9V,而VDD电流仅为3.2μA。最大工作频率受到运算放大器转换速率和简单延迟的限制,约为3kHz。断开R1并采用大于0.58×VREF的电压源对其供电,即可生成VCO函数。
射频工程师养成培训教程套装,助您快速成为一名优秀射频工程师...

