- 易迪拓培训,专注于微波、射频、天线设计工程师的培养
串行Turbo编码连续相位调制
为了降低连续相位调制(CPM)系统的解调门限,减少复杂编码给系统带来的运算开销,保证系统结构简单高效,提出一种适用于CPM调制方式的串行Turbo码方案。该方案利用CPM调制本身的累加结构作为串行Turbo码的内码,利用卷积码作为外码。仿真表明,该方案的误码率优于并行Turbo编码CPM约3 dB。
连续相位调制(CPM,Cost Per Mille)是一种恒包络调制,其通过累加相位的操作使调制信号的波形连续,从而使频谱具有较小的旁瓣和较集中的能量,这种特性使CPM技术在非线性信道中得到了较好地应用。但是,单纯CPM的误码率不够理想,通常要使用纠错编码来提高CPM系统的误码率。
将纠错编码与CPM调制结合的方法有多调制指数CPM,卷积编码CPM和Turbo编码CPM等。其中,前两种方案由于多调制指数和卷积编码本身的性能限制,对系统误码率提升有限。Turbo编码是较接近香农极限的一种编码,将Turbo编码与CPM调制结合使用能够取得较大的编码增益和较好的误码率。将并行Turbo码与CPM调制结合,在个别参数下能够较精确的提取比特软信息,并取得与Turbo编码PSK相似的编码增益,但在大多数方案中受CPM累加结构的影响,难以用相干的方式提取比特软信息,需用差分方式,导致噪声影响加倍。另外,受并行Turbo码的限制,系统解调存在错误平层现象。文中针对这一问题,将串行Turbo编码(SCCC)应用于CPM调制,把CPM调制的累加结构同时作为串行Turbo码的内码,系统既能取得Turbo码的编码增益又能较容易的提取比特软信息,解调运算量小,且不存在错误平层。
1 系统描述
串行Turbo编码CPM系统包括串行Turbo编码和CPM调制两部分。其中,CPM的相位累加结构既作为CPM调制的一部分,又作为串行Turbo码的内码。因此,本系统中串行Turbo码的内码是码率为1的递归系统卷积码,外码选用码率为1/2的系统卷积码,交织器选用伪随机交织方式。 CPM选用调制指数h为0.5的全响应二进制CPM调制。
1.1 发送部分
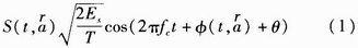
CPM调制信号的模型如下
其中,Es为传输符号能量;T为符号持续时间;fc为载波频率;θ为初始相位;φ(t,a)为载波相位,且具有如下定义
其中,αi是M进制符号信息,可能的取值为{±1,±3,±(M-1)};h为调制指数;q(t)是相位响应函数,通常有矩形脉冲函数、升余弦函数和高斯最小频移键控函数等。

串行Turbo编码CPM系统的调制部分结构如图1所示。从图中可以看出,串行Turbo编码CPM系统在CPM调制前增加了一个卷积编码器和一个交织器。这与并行Turbo码、串行Turbo码结合PSK、QAM等调制方式不同,在这些方案中,并行Turbo码、串行Turbo是由两个卷积编码器和一个交织器组成。也就是说串行Turbo编码CPM系统与串行Turbo编码PSK系统相比,省略了一个卷积编码器,并具备CPM的频谱特性。这是因为PSK、QAM等调制方式是无记忆调试,而CPM是有记忆调制。CPM调制器的内部存在累加器,此累加器可看成是一个递归系统卷积码,因此,CPM与串行Turbo码结合使用可以省略掉一个卷积编码器。对CPM调制用其他的结构分解,可以把CPM调制分解成为一个连续相位编码器(CPE)串联一个无记忆调制器(MM)的形式,如图2所示。

图2的结构从另一个角度描述了CPM调制,其将CPM调制分解成一个码率为1的递归系统卷积码和一个PSK调制器串联的形式。用图2的结构来替换图1结构中的CPM调制,可以看出,如果将图1的卷积编码器看作串行Turbo码的外码,将图2中的递归系统卷积码看作串行Turbo码的内码,那么就可以将串行Turbo编码CPM系统的调制部分看成是一个串行Turbo码与一个无记忆调制结合的形式。如图3所示。

图3所描述的串行Turbo编码CPM调制模型看上去与Turbo编码PSK系统相似,但是二者存在着明显的区别。串行Turbo编码CPM调制是利用CPM内部的累加结构分解,将累加结构看成是递归系统卷积码,其是一个多进制的递归系统卷积码,且输入输出码元并不一定是0和1,而是根据CPM的系统参数来决定,只有当CPM的参数是某些特定值的时候,才会等价于二进制的递归系统卷积码。
1.2 接收部分
CPM信号解调通常使用维特比译码算法,根据最大似然准则找到一个估计序,使条件概率取得最大值。维特比算法根据状态转移路径对CPM信号译码,需要存储长度较大的路径状态,乘法运算量相对较大。
串行Turbo编码CPM系统如使用维特比译码方法,相当于卷积编码CPM系统,得不到交织带来的增益。因此,串行Turbo编码CPM系统使用Log—MAP算法或是Max—Log—MAP算法,利用接收数据的比特软信息进行迭代译码,从而得到较好的误码率性能。本方案的串行Turbo编码CPM系统中,首先对系统接收信号进行比特软信息提取,然后,利用Max—Log—MAP算法对串行Turbo码译码,最后,硬判决输出译码结果。串行Turbo码的译码框图如图4所示。

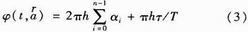
对CPM的比特软信息提取存在技巧,由于CPM调制具有累加结构,通常情况下其终点相位状态是不能与调制码元取得对应关系。因而,对于CPM的比特软信息提取需要做差分处理,对信号差分处理会使噪声的影响加倍,造成解调性能的恶化。但仍有少数手段可以将CPM调制的终点相位与调制码元取得对应关系,如采用调制指数为0.5的全响应二进制串行Turbo编码CPM方案,对接收信号的符号终点时刻的采样值进行软比特信息提取,不需要知道前一符号时刻的采样值,就能够直接提取比特软信息,从而实现对信号的相干解调。发送信号的相位在T时刻采样值的可以表示为式(3)的形式
如式(3)所示,信号相位除了累加之外,还做了一个πhτ/T相位旋转。接收端在奇偶时刻交替收发信号的实部和虚部,就可得到一种软比特信息,将这种软比特信息每隔π弧度进行取反即得到串行Turbo码译码所需要的软比特信息,最后利用。Max—Log—MAP算法实现对串行Tur bo编码CPM的解调译码。
2 仿真性能
为评估串行Turbo编码CPM系统的误码率性能,文中做了以下仿真。分别测试串行Turbo编码CPM、并行Turbo编码CPM及卷积编码CPM。其中,并行Turbo编码CPM方案由于难以采用相干方法提取比特软信息,因此采用差分方法提取,此方法会导致噪声的影响加倍,信噪比下降约3 dB。在仿真中,Turbo码的总码率为1/2,交织块大小为1 024,译码算法为Max—Log—MAP,迭代次数为6次。串行Turbo码的外码选用码型为[7,5]的卷积码,并行Turbo码的分量码均为[7,5]的系统卷积码,校验比特均匀删余。卷积编码CPM方案采用[13,4]的卷积码,采用维特比译码,译码深度为40符号。CPM调制用调制指数h为0.5的全响应二进制CPM。并设定仿真是在如下条件下进行:
(1)系统的载波同步、相位同步已准确地建立,采样点准确、无采样偏差。
(2)仿真信道为AWCN信道。

上述几种方案在AWGN信道上的仿真性能如图5所示,串行Turbo编码CPM的误码率性能,比并行Turbo编码CPM差分解调低3 dB,且不存在并行Turbo编码类似的错误平层。在1e-6低于卷积编码CPM约2.5 dB。
3 结束语
串行Turbo编码CPM能够降低CPM的解调门限,与卷积编码CPM相比,编码增益更大;与并行Turbo编码CPM相比,结构更加简单,软信息提取容易,运算量更少,且不存在错误平层。
射频工程师养成培训教程套装,助您快速成为一名优秀射频工程师...
天线设计工程师培训课程套装,资深专家授课,让天线设计不再难...
上一篇:基于DSP技术的5kW离网型光伏逆变器设计
下一篇:数据耦合器的增强隔离

