- 易迪拓培训,专注于微波、射频、天线设计工程师的培养
太阳能电池板原理_太阳能电池的工作原理
随着全球能源日趋紧张,太阳能成为新型能源得到了大力的开发,其中我们在生活中使用最多的就是太阳能电池了。太阳能电池是以半导体材料为主,利用光电材料吸收光能后发生光电转换,使它产生电流,那么太阳能电池的工作原理是怎么样的呢?太阳能电池是通过光电效应或者光化学效应直接把光能转化成电能的装置。当太阳光照射到半导体上时,其中一部分被表面反射掉,其余部分被半导体吸收或透过。被吸收的光,当然有一些变成热,另一些光子则同组成半导体的原子价电子碰撞,于是产生电子—空穴对。这样,光能就以产生电子—空穴对的形式转变为电能。

一、太阳能电池的物理基础
当太阳光照射p-n结时,在半导体内的电子由于获得了光能而释放电子,相应地便产生了电 子——空穴对,并在势垒电场的作用下,电子被驱向型区,空穴被驱向P型区,从而使凡区有过剩的 电子,P区有过剩的空穴。于是,就在p-n结的附近形成了与势垒电场方向相反的光生电场。
如果半导体内存在P—N结,则在P型和N型交界面两边形成势垒电场,能将电子驱向N区,空穴驱向P区,从而使得N区有过剩的电子,P区有过剩的空穴,在P—N结附近形成与势垒电场方向相反光的生电场。

制造太阳电池的半导体材料已知的有十几种,因此太阳电池的种类也很多。目前,技术最成熟,并具有商业价值的太阳电池要算硅太阳电池。下面我们以硅太阳能电池为例,详细介绍太阳能电池的工作原理。
1、本征半导体
物质的导电性能决定于原子结构。导体一般为低价元素,它们的最外层电子极易挣脱原子核的束缚成为自由电子,在外电场的作用下产生定向移动,形成电流。高价元素(如惰性气体)或高分子物质(如橡胶),它们的最外层电子受原子核束缚力很强,很难成为自由电子,所以导电性极差,成为绝缘体。常用的半导体材料硅(Si)和锗(Ge)均为四价元素,它们的最外层电子既不像导体那么容易挣脱原子核的束缚,也不像绝缘体那样被原子核束缚的那么紧,因而其导电性介于二者之间。
将纯净的半导体经过一定的工艺过程制成单晶体, 即为本征半导体。晶体中的原子在空间形成排列整齐的点阵,相邻的原子 形成共价键。

晶体中的共价键具有极强的结合力,因此,在常温下,仅有极少数的价电子由于热运动(热激发)获得足够的能量,从而挣脱共价键的束缚变成为自由电子。与此同时,在共价键中留下一个空穴。原子因失掉一个价电子而带正电,或者说空穴带正电。在本征半导体中,自由电子与空穴是成对出现的,即自由电子与空穴数目相等。
自由电子在运动的过程中如果与空穴相遇就会填补空穴,使两者同时消失,这种现象称为复合。在一定的温度下,本征激发所产生的自由电子与空穴对,与复合的自由电子和空穴对数目相等,故达到动态平衡。
能带理论:
1、单个原子中的电子在绕核运动时,在各个轨道上的电子都各自具有特定的能量;
2、越靠近核的轨道,电子能量越低;
3、根据能量最小原理电子总是优先占有最低能级;
4、价电子所占据的能带称为价带;
5、价带的上面有一个禁带,禁带中不存在为电子所占据的能级;
6、禁带之上则为导带,导带中的能级就是价电子挣脱共价键束缚而成为自由电子所能占据的能级;
7、禁带宽度用Eg表示,其值与半导体的材料及其所处的温度等因素有关。T=300K时,硅的Eg=1.1eV;锗的Eg=0.72eV。

2、杂质半导体
杂质半导体:通过扩散工艺,在本征半导体中掺入少量杂质元素,便可得到杂质半导体。
按掺入的杂质元素不用,可形成N型半导体和P型半导体;控制掺入杂质元素的浓度,就可控制杂质半导体的导电性能。
N型半导体: 在纯净的硅晶体中掺入五价元素(如磷),使之取代晶格中硅原子的位置,就形成了N型半导体。

由于杂质原子的最外层有五个价电子,所以除了与其周围硅原子形成共价键外,还多出一个电子。多出的电子不受共价键的束缚,成为自由电子。N型半导体中,自由电子的浓度大于空穴的浓度,故称自由电子为多数载流子,空穴为少数载流子。由于杂质原子可以提供电子,故称之为施主原子。
P型半导体:在纯净的硅晶体中掺入三价元素(如硼),使之取代晶格中硅原子的位置,就形成了P型半导体。

由于杂质原子的最外层有三个价电子,所以当它们与其周围硅原子形成共价键时,就产生了一个"空位",当硅原子的最外层电子填补此空位时,其共价键中便产生一个空穴。因而P型半导体中,空穴为多子,自由电子为少子。因杂质原子中的空位吸收电子,故称之为受主原子。
3、PN结
PN结:采用不同的掺杂工艺,将P型半导体与N型半导体制作在同一块硅片上,在它们的交界面就形成PN结。

扩散运动:物质总是从浓度高的地方向浓度低的地方运动,这种由于浓度差而产生的运动称为扩散运动。
当把P型半导体和N型半导体制作在一起时,在它们的交界面,两种载流子的浓度差很大,因而P区的空穴必然向N区扩散,与此同时,N区的自由电子也必然向P区扩散,如图示。
由于扩散到P区的自由电子与空穴复合,而扩散到N区的空穴与自由电子复合,所以在交界面附近多子的浓度下降,P区出现负离子区,N区出现正离子区,它们是不能移动的,称为空间电荷区,从而形成内建电场ε。
随着扩散运动的进行,空间电荷区加宽,内建电场增强,其方向由N区指向P区,正好阻止扩散运动的进行。
漂移运动:在电场力作用下,载流子的运动称为漂移运动。
当空间电荷区形成后,在内建电场作用下,少子产生飘移运动,空穴从N区向P区运动,而自由电子从P区向N区运动。 在无外电场和其它激发作用下,参与扩散运动的多子数目等于参与漂移运动的少子数目,从而达到动态平衡,形成PN结,如图示。 此时,空间电荷区具有一定的宽度,电位差为ε =Uho,电流为零。
二、太阳能电池工作原理
1、光生伏打效应:
太阳能电池能量转换的基础是半导体PN结的光生伏打效应。如前所述,当光照射到半导体光伏器件上时,能量大于硅禁带宽度的光子穿过减反射膜进入硅中,在N区、耗尽区和P区中激发出光生电子--空穴对。
耗尽区:光生电子--空穴对在耗尽区中产生后,立即被内建电场分离,光生电子被送进N区,光生空穴则被推进P区。根据耗尽近似条件,耗尽区边界处的载流子浓度近似为0,即p=n=0。

在N区中:光生电子--空穴对产生以后,光生空穴便向P-N结边界扩散,一旦到达P-N结边界,便立即受到内建电场作用,被电场力牵引作漂移运动,越过耗尽区进入P区,光生电子(多子)则被留在N区。
在P区中:的光生电子(少子)同样的先因为扩散、后因为漂移而进入N区,光生空穴(多子)留在P区。如此便在P-N结两侧形成了正、负电荷的积累,使N区储存了过剩的电子,P区有过剩的空穴。从而形成与内建电场方向相反的光生电场。

1.光生电场除了部分抵消势垒电场的作用外,还使P区带正电,N区带负电,在N区和P区之间的薄层就产生电动势,这就是光生伏打效应。当电池接上一负载后,光电流就从P区经负载流至N区,负载中即得到功率输出。
2.如果将P-N结两端开路,可以测得这个电动势,称之为开路电压Uoc。对晶体硅电池来说,开路电压的典型值为0.5~0.6V。
3.如果将外电路短路,则外电路中就有与入射光能量成正比的光电流流过,这个电流称为短路电流Isc。
影响光电流的因素:
1.通过光照在界面层产生的电子-空穴对愈多,电流愈大。
2.界面层吸收的光能愈多,界面层即电池面积愈大,在太阳电池中形成的电流也愈大。
3.太阳能电池的N区、耗尽区和P区均能产生光生载流子;
4.各区中的光生载流子必须在复合之前越过耗尽区,才能对光电流有贡献,所以求解实际的光生电流必须考虑到各区中的产生和复合、扩散和漂移等各种因素。
太阳能电池等效电路、输出功率和填充因数
⑴ 等效电路
为了描述电池的工作状态,往往将电池及负载系统用一个等效电路来模拟。
1.恒流源: 在恒定光照下,一个处于工作状态的太阳电池,其光电流不随工作状态而变化,在等效电路中可把它看做是恒流源。
2.暗电流Ibk : 光电流一部分流经负载RL,在负载两端建立起端电压U,反过来,它又正向偏置于PN结,引起一股与光电流方向相反的暗电流Ibk。
3.这样,一个理想的PN同质结太阳能电池的等效电路就被绘制成如图所示。
4.串联电阻RS:由于前面和背面的电极接触,以及材料本身具有一定的电阻率,基区和顶层都不可避免地要引入附加电阻。流经负载的电流经过它们时,必然引起损耗。在等效电路中,可将它们的总效果用一个串联电阻RS来表示。
5.并联电阻RSh:由于电池边沿的漏电和制作金属化电极时在微裂纹、划痕等处形成的金属桥漏电等,使一部分本应通过负载的电流短路,这种作用的大小可用一个并联电阻RSh来等效。
当流进负载RL的电流为I,负载RL的端电压为U时,可得:
式中的P就是太阳能电池被照射时在负载RL上得到的输出功率。
⑵ 输出功率
当流进负载RL的电流为I,负载RL的端电压为U时,可得:
式中的P就是太阳能电池被照射时在负载RL上得到的输出功率。
当负载RL从0变到无穷大时,输出电压U则从0变到U0C,同时输出电流便从ISC变到0,由此即可画出太阳能电池的负载特性曲线。曲线上的任一点都称为工作点,工作点和原点的连线称为负载线,负载线的斜率的倒数即等于RL,与工作点对应的横、纵坐标即为工作电压和工作电流。

调节负载电阻RL到某一值Rm时,在曲线上得到一点M,对应的工作电流Im和工作电压Um之积最大,即: Pm=ImUm
一般称M点为该太阳能电池的最佳工作点(或称最大功率点),Im为最佳工作电流,Um为最佳工作电压,Rm为最佳负载电阻,Pm为最大输出功率。
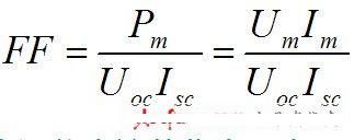
⑶ 填充因数
1.最大输出功率与(Uoc×Isc)之比称为填充因数(FF),这是用以衡量太阳能电池输出特性好坏的重要指标之一。
2.填充因数表征太阳能电池的优劣,在一定光谱辐照度下,FF愈大,曲线愈"方",输出功率也愈高。
4、太阳能电池的效率、影响效率的因素
⑴ 太阳能电池的效率:
太阳能电池受照射时,输出电功率与入射光功率之比η称为太阳能电池的效率,也称光电转换效率。一般指外电路连接最佳负载电阻RL时的最大能量转换效率。
在上式中,如果把At换为有效面积Aa(也称活性面积),即从总面积中扣除栅线图形面积,从而算出的效率要高一些,这一点在阅读国内外文献时应注意。
美国的普林斯最早算出硅太阳能电池的理论效率为21.7%。20世纪70年代,华尔夫(M.Wolf)又做过详尽的讨论,也得到硅太阳能电池的理论效率在AM0光谱条件下为20%~22%,以后又把它修改为25%(AM1.0光谱条件)。
估计太阳能电池的理论效率,必须把从入射光能到输出电能之间所有可能发生的损耗都计算在内。其中有些是与材料及工艺有关的损耗,而另一些则是由基本物理原理所决定的。
⑵ 影响效率的因素
综上所述,提高太阳能电池效率,必须提高开路电压Uoc、短路电流ISC和填充因子FF这三个基本参量。而这3个参量之间往往是互相牵制的,如果单方面提高其中一个,可能会因此而降低另一个,以至于总效率不仅没提高反而有所下降。因而在选择材料、设计工艺时必须全盘考虑,力求使3个参量的乘积最大。
1.材料能带宽度:
开路电压UOC随能带宽度Eg的增大而增大,但另一方面,短路电流密度随能带宽度Eg的增大而减小。结果可期望在某一个确定的Eg处出现太阳电池效率的峰值。用Eg值介于1.2~1.6eV的材料做成太阳电池,可望达到最高效率。薄膜电池用直接带隙半导体更为可取,因为它能在表面附近吸收光子。
2.温度 :
少子的扩散长度随温度的升高稍有增大,因此光生电流也随温度的升高有所增加,但UOC随温度的升高急剧下降。填充因子下降,所以转换效率随温度的增加而降低。

3.辐照度:
随辐照度的增加短路电流线性增加,最大功率不断增加。将阳光聚焦于太阳电池,可使一个小小的太阳电池产生出大量的电能。

4.掺杂浓度:
对UOC有明显影响的另一因素是半导体掺杂浓度。掺杂浓度越高,UOC越高。但当硅中杂质浓度高于1018/cm3时称为高掺杂,由于高掺杂而引起的禁带收缩、杂质不能全部电离和少子寿命下降等等现象统称为高掺杂效应,也应予以避免。

5.光生载流子复合寿命:
对于太阳电池的半导体而言,光生载流子的复合寿命越长,短路电流会越大。达到长寿命的关键是在材料制备和电池的生产过程中,要避免形成复合中心。在加工过程中,适当而且经常进行相关工艺处理,可以使复合中心移走,而且延长寿命。
6.表面复合速率:
低的表面复合速率有助于提高Isc,前表面的复合速率测量起来很困难,经常假设为无穷大。一种称为背电场(BSF)的电池设计为,在沉积金属接触前,电池的背面先扩散一层P+附加层。
7.串联电阻和金属栅线:
串联电阻来源于引线、金属接触栅或电池体电阻,而金属栅线不能透过阳光,为了使Isc最大,金属栅线占有的面积应最小。一般使金属栅线做成又密又细的形状,可以减少串联电阻,同时增大电池透光面积。
8.采用绒面电池设计和选择优质减反射膜:
依靠表面金字塔形的方锥结构,对光进行多次反射,不仅减少了反射损失,而且改变了光在硅中的前进方向并延长了光程,增加了光生载流子产量;曲折的绒面又增加了PN结的面积,从而增加对光生载流子的收集率,使短路电流增加5%~10%,并改善电池的红光响应。
9.阴影对太阳电池的影响:
太阳电池会由于阴影遮挡等造成不均匀照射,输出功率大大下降。

目前,太阳能电池的应用已从军事领域、航天领域进入工业、商业、农业、 通信、家用电器以及公用设施等部门,尤其可以分散地在边远地区、高山、沙漠、海岛和农村使用,以节省造价很贵的输电线路。但是在目前阶段,它的成本还很高,发出1kW电需要投资上万美元,因此大规模使用仍然受到经济上的限制。
但是,从长远来看,随着太阳能电池制造技术的改进以及新的光—电转换装置的发明,各国对环境的保护和对再生清洁能源的巨大需求,太阳能电池仍将是利用太阳辐射能比较切实可行的方法,可为人类未来大规模地利用太阳能开辟广阔的前景。
射频工程师养成培训教程套装,助您快速成为一名优秀射频工程师...

