- 易迪拓培训,专注于微波、射频、天线设计工程师的培养
LDO 噪声详解
引言
随着通信信道的复杂度和可靠性不断增加,人们对于电信系统的要求和期望也不断提高。这些通信系统高度依赖于高性能、高时钟频率和数据转换器器件,而这些器件的性能又非常依赖于系统电源轨的质量。当使用一个高噪声电源供电时,时钟或者转换器 IC 无法达到最高性能。仅仅只是少量的电源噪声,便会对性能产生极大的负面影响。本文将对一种基本 LDO 拓扑进行仔细研究,找出其主要噪声源,并给出最小化其输出噪声的一些方法。
表明电源品质的一个关键参数是其噪声输出,它常见的参考值为 RMS 噪声测量或者频谱噪声密度。为了获得最低 RMS 噪声或者最佳频谱噪声特性,线性电压稳压器(例如:低压降电压稳压器,LDO),始终比开关式稳压器有优势。这让其成为噪声敏感型应用的选择。
基本 LDO 拓扑
一个简单的线性电压稳压器包含一个基本控制环路,其负反馈与内部参考比较,以提供恒定电压—与输入电压、温度或者负载电流的变化或者扰动无关。
图 1 显示了一个 LDO 稳压器的基本结构图。红色箭头表示负反馈信号通路。输出电压 VOUT 通过反馈电阻 R1 和 R2 分压,以提供反馈电压 VFB。VFB 与误差放大器负输入端的参考电压 VREF 比较,提供栅极驱动电压 VGATE。最后,误差信号驱动输出晶体管 NFET,以对 VOUT 进行调节。
图 1 LDO 负反馈环路

简单噪声分析以图 2 作为开始。蓝色箭头表示由常见放大器差异代表的环路子集(电压跟随器或者功率缓冲器)。这种电压跟随器电路迫使 VOUT 跟随 VREF。VFB 为误差信号,其参考 VREF。在稳定状态下,VOUT 大于 VREF,其如方程式 1 所描述:

图 2 LDO 参考电压缓冲

其中,1 + R1/R2 为误差放大器必须达到稳态输出电压 (VOUT) 的增益。
假设电压参考不理想,并在其DC输出电压(VREF)上有一个有效噪声因数VN(REF)。假设图 2 中所有电路模块均理想,VOUT 便为噪声源的函数。可以轻松地对方程式 1 进行修改,以考虑到噪声源,如方程式 2 所示:

其中,VN(REF) 为输出的单独噪声影响因素,如方程式 3 所示:

通过方程式 2 和 3,我们可以清楚地看到,更高的输出电压产生更高的输出噪声。反馈电阻 R1 和 R2 设置(或者调节)输出电压,从而设置输出噪声电压。因此,许多LDO器件的特点是,噪声性能与输出电压有关。例如,VN = 16 µVRMS×VOUT 说明了一种标准的输出噪声描述方式。
主要 LDO 输出电压噪声源
对于大多数典型的LDO器件来说,主要输出噪声源为方程式3所示经过放大的参考噪声。虽然总输出噪声因器件不同而各异,但一般都是如此。图 3 为一个完整的结构图,显示了其各个电路组件的相应等效噪声源。由于任何有电流流过的器件都是一个潜在的噪声源,图 1 和图 2 所示所有单个组件均为一个噪声源。
图 4 由图 3 改画而来,目的是包括 OUT 节点的所有等效参考噪声源。完整的噪声方程式为:

图 3 等效噪声源 LDO 拓扑

图 4 统一噪声源 LDO 拓扑

在大多数情况下,由于参考电压模块即能带隙电路由许多电阻器、晶体管和电容器组成,因此 VN(REF) 往往会大于该方程式中最后三个噪声源,其中 VN(REF) >> VN(R1) 或者 VN(REF) >> VN(R2)。因此,方程式 4 可以简化为:

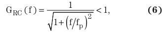
就高性能 LDO 器件而言,常见的方法是添加一个降噪 (NR) 引脚,以消除参考噪声。图5描述了NR引脚如何降低噪声。由于VN(REF)为主要输出噪声源,因此我们在参考电压模块(VREF)和误差放大器之间插入一个RC滤波电容器CNR,旨在减少这种噪声。RC 滤波器减少噪声的程度由一个衰减函数决定:

其中

图 5 参考噪声滤波器 LDO 拓扑

图 6 RMS 噪声与输出电压的关系

因此,放大参考噪声被降至(1 + R1/R2) × VN(REF) × GRC,则方程式5变为:

在现实世界中,所有控制信号电平均依赖于频率,包括噪声信号在内。如果误差放大器带宽有限,则高频参考噪声 (VN(REF)) 通过误差放大器滤波,其方式与使用 RC 滤波器类似。但在实际情况下,误差放大器往往具有非常宽的带宽,因此 LDO 器件拥有非常好的电源纹波抑制 (PSRR) 性能,其为高性能 LDO 的另一个关键性能参数。为了满足这种矛盾的要求,IC 厂商选择使用宽带宽误差放大器,以实现最佳低噪声 PSRR。如果低噪声也为强制要求,则这样做会带来 NR 引脚功能的使用。
[p]典型电路中参考噪声的控制
放大参考噪声
TI TPS74401 LDO 用于测试和测量。表 1 列出了常见配置参数。请注意,为了便于阅读,TPS74401 产品说明书的软启动电容器 CSS 是指降噪电容器 CNR。
表 1 设置参数
| VIN=VOUT(目标值)+0.3V IOUT=0.5A COUT=10μF | |||
| VOUT(目标值) | R1 | R2 | 1+R1/R2 |
| 3.3V | 31.25k | 10k | 4.125 |
| 1.8V | 12.5k | 10k | 2.25 |
| 1.2V | 5k | 10k | 1.5 |
| 0.8V | 0 (短路OUT 节点至FB节点) | 开路 | 1 |
首先,使用一个可忽略不计的小 CNR,研究放大器增益的影响。图 6 显示了 RMS 噪声与输出电压设置的对比情况。如前所述,主要噪声源 VN(REF) 通过反馈电阻器 R1 和 R2 的比放大。我们将方程式 7 修改为方程式 8 的形式:

其中,VN(Other)为所有其它噪声源的和。
如果方程式 8 拟合y=ax + b的线性曲线,如图 6 中红色虚线所示,则 VN(REF)(斜率项)可估算为 19 µVRMS,而 VN(Other)(y 截距项)为 10.5 µVRMS。正如在后面我们根据"降噪(NR)引脚效应"说明的那样,CNR 的值为 1pF,目的是将 RC 滤波器效应最小化至可忽略不计水平,而 GRC 被看作等于 1。在这种情况下,基本假定 VN(REF) 为主要噪声源。
请注意,当 OUT 节点短路至 FB 节点时噪声最小,其让方程式 8 的放大器增益(1 + R1/R2)等于1(R1=0)。图 6 显示,该最小噪声点约为 30 µVRMS。
抵销放大参考噪声
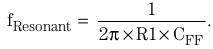
本小节介绍一种实现最小输出噪声配置的有效方法。如图 7 所示,一个前馈电容器 CFF 向前传送(绕开)R1 周围的输出噪声。这种绕开或者短路做法,可防止在高于 R1 和 CFF 谐振频率 fResonant 时参考噪声因误差放大器增益而增加,其中:

输出噪声变为:

图 7 使用噪声最小化前馈电容(CFF) 的 LDO 拓扑

图 8 显示了RMS噪声相对于前馈电容 (CFF) 和不同输出电压设置的变化。请注意,每个 RMS 图线上各点代表上述电路状态下整个给定带宽的完整噪声统计平均数。正如我们预计的那样,所有曲线朝 30 µVRMS 左右的最小输出噪声汇集;换句话说,由于 CFF 效应,噪声汇聚于 VN(REF) + VN(Other)。
图 8 前馈电容对噪声的影响

图 8 对此进行了描述。CFF 值大于 100nF时,方程式 8 中1 + R1/R2 的放大器增益被抵销掉。出现这种情况的原因是,尽管低频噪声未被 CFF 完全抵销,但是低频噪声对 RMS 计算的总统计平均数影响不大。为了观察 CFF 的实际效果,我们必需查看噪声电压的实际频谱密度图(图9)。图9表明,CFF=10µF 曲线的噪声最小,但是某些频率以上时所有曲线均接近于这条最小噪声曲线。这些频率相当于由 R1 和 CFF 值决定的谐振极点频率。R1 等于 31.6 k 时计算得到的 CFF值,请参见表 2。
表 2 计算得谐振频率
|
| CFF=10pF | CFF=1nF | CFF=100nF | CFF=10µF |
| fResonant | 504kHz | 504kHz | 504kHz | 504kHz |
图 9 表明,50 Hz 附近时,CFF=100 nF 曲线转降。5 kHz 附近时,CFF=1 nF 曲线转降,但是 CFF=10 pF 时谐振频率受 LDO 噪声总内部效应影响。通过观察图 9,我们后面均假设 CFF=10µF 最小噪声。
图 9 各种 CFF 值的输出频谱噪声密度

降噪 (NR) 引脚的效果
在 NR 引脚和接地之间使用 RC 滤波器电容(CNR)时,GRC 下降。图 10 表明 RMS 噪声为 CNR 的函数(参见图 5)。稍后,我们将在第三段"其它技术考虑因素"中说明这两条曲线的差异。
图 10 RMS 噪声与降噪电容的关系

图 10 利用 10 Hz 到 100 kHz 更宽融合范围,来捕捉低频区域的性能差异。CNR=1pF 时,两条曲线表现出非常高的RMS噪声值。尽管图 10 没有显示,但不管是否 CNR=1pF,都没有 RMS 噪声差异。这就是为什么在前面小节"放大参考噪声"中,我们把GRC被看作等于 1 的原因。
正如我们预计的那样,随着 CNR 增加,RMS 噪声下降,并在 CNR=1µF 时朝约12.5 µVRMS 的最小输出噪声汇聚。
CFF= 10 µF 时,放大器增益(1 + R1/R2)可以忽略不计。因此,方程式 8 可以简写为:

正如我们看到的那样,VN(Other) 并不受 CNR 影响。因此,CNR 保持 10.5 µVRMS,其由图 6 所示数据曲线拟合度决定。方程式 10 可以表示为:

接下来,我们要确定 GRC 降噪电容的影响,这一点很重要。图 10 中曲线的最小测量噪声,让我们可以将方程式10改写为:

其中,求解VN(REF) × GRC 得到 2 µVRMS。增加 CNR 会使参考噪声从19.5 µVRMS降至 2 µVRMS,也就是说,在 10 Hz 到 100 kHz 频率范围,GRC 从整数降至 0.1 (2/19.5) 平均数。
图 11 显示了 CNR 如何降低频域中的噪声。与图 9 所示小 CFF 值一样,更小的 CNR 开始在高频起作用。请注意,CNR 最大值 1µF 表明最低噪声。尽管 CNR = 10 Nf 曲线表明最小噪声几乎接近于 CNR = 1 µF 的曲线,10-Nf 曲线显示30Hz 和100Hz 之间有一小块突出部分。
图 11 不同 CNR 值时输出频谱噪声密度与频率的关系

图8所示曲线(CNR = 1 pF),可改进为图 12(CNR = 1 µF)。图 8 显示 CFF = 100 Nf 和 CFF = 10 µF 之间几乎没有 RMS 噪声差异,但是图 12 清楚地显示出了差异。
图 12 中,不管输出电压是多少,CFF = 10 µF 和 CNR = 1 µF 均带来最低噪声值12.5 µVRMS,也即最小 GRC 值(换句话说,RC滤波器的最大效果)为 0.1。12.5 µVRMS 值为 TI 器件 TPS74401 的底限噪声。
图 12 噪声优化以后 RMS 噪声与前馈电容的关系

当我们把一个新LDO器件用于噪声敏感型应用时,利用大容量CFF和CNR电容确定这种器件的独有本底噪声是一种好方法。图12表明RMS噪声曲线汇聚于本底噪声值。
其他技术考虑因素
降噪电容器的慢启动效应
除降噪以外,RC滤波器还会起到一个RC延迟电路的作用。因此,较大的CNR值会引起稳压器参考电压的较大延迟。
前馈电容器的慢启动效应
CFF利用一种机制绕过R1反馈电阻AC信号,而凭借这种机制,其在激活事件发生后VOUT不断上升时,也绕过输出电压反馈信息。直到CFF完全充电,误差放大器才利用更大的负反馈信号,从而导致慢启动。
为什么高VOUT值会导致更小的RMS噪声
在图8和图10中,相比VOUT=0.8V的情况,VOUT=3.3V曲线的噪声更小。我们知道,更高的电压设置会增加参考噪声,因此这看起来很奇怪。对于这种现象的解释是,由于CFF连接至OUT节点,因此除绕过电阻器R1的噪声信号以外,CFF还有增加输出电容值的效果。图12表明,由于参考噪声被最小化,我们便可以观测到这种现象。
RMS噪声值
由于TPS74401的本底噪声为12.5 µVRMS,它是市场上噪声最低的LDO之一。在设计一个超低噪声稳压器过程中,12.5 µVRMS绝对值是一个较好的参考值。
结论
本文深入探讨了LDO器件的基本噪声以及如何将其降至最小,具体包括:
每种电路模块对输出噪声的影响程度 参考电压如何成为主要的噪声源(经误差放大器放大) 如何抵销经过放大的参考噪声 NR功能的工作原理谨慎选择降噪电容器 (CNR) 和前馈电容器 (CFF),可以将 LDO 输出噪声最小化至器件独有的本底噪声水平。利用这种噪声最小化配置,LDO 器件便可保持本底噪声值,让其同非优化配置中常常影响噪声水平的一些参数无关。
给电路添加 CNR 和 CFF 时存在慢启动副作用,因此我们必须认真选择这些电容器,以实现快速升压。
本文所述方法已经用于优化 TI 的 TPS7A8101 LDO 的噪声。在 TPS7A8101 产品说明书第 10 页,不管参数如何变化,器件都拥有恒定的噪声值。
参考文献
1、《可编程软启动3.0A超低噪声LDO》,发表于《TPS74xx》产品说明书www.ti.com/lit/SBVS066M
2、《低噪、宽带宽、高PSRR、低压降1A线性稳压器》,发表于
《TPS7A8101产品说明书》www.ti.com/lit/SBVS179A
相关网站
电源管理:http://www.ti.com.cn/lsds/ti_zh/analog/powermanagement/power_portal.page
TPS7A8101:www.ti.com.cn/product/cn/TPS7A8101
TPS74401:www.ti.com.cn/product/cn/TPS74401
立即加入德州仪器技术社区
射频工程师养成培训教程套装,助您快速成为一名优秀射频工程师...
天线设计工程师培训课程套装,资深专家授课,让天线设计不再难...
上一篇:电源架构和电源管理总线介绍
下一篇:WEBENCH工具与光电探测器稳定性

