- 易迪拓培训,专注于微波、射频、天线设计工程师的培养
电源转换器实现高性能电源管理
为工业、网络/通信及最新的消费类应用设计负载点系统的工程师必须不断地确保设计上的许多权衡。基于分立解决方案衡量器件的优劣之处并将其与集成型解决方案进行比较,成为最近较为重要的权衡方法之一,因为每种选择都有其需要权衡之处。此外,工程师还必须考虑将此选择设计到应用及将产品投放到市场所需的时间。最后,系统可靠性、高密度及单一供应商能力也都是在选择电源转换器时的重要考虑因素。
除上述所有考虑之外,负载点系统工作在低占空比时所需的两级功率转换将会占用许多昂贵的电路板空间和电能,因为它将产生两组级间转换损耗。本文将对设计人员所面临的权衡类型以及特定解决方案的优点进行讨论。
节省昂贵的电路板空间和电能
节省电路板空间和电能最有效的一种方法就是在降低输出电容的同时,去除昂贵的外部元器件。麦瑞半导体公司(Micrel)的SuperSwitcher II系列提供了一种可供考虑的解决方案,它在尺寸仅为5mm×6mm的QFN封装中集成了高密度的MOSFET和高性能同步PWM控制器。已获专利的超高速控制(Hyper Speed Control)架构可在降低输出电容的同时,获得超快速的瞬态响应,该解决方案也使(高VIN)/(低VOUT)运作成为了可能。这一宽范围输入的DC-DC转换器系列是许多工业、网络/通信及高端消费类应用的极佳选择。SuperSwitcher II系列可以消除对外部补偿元件的需求,使设计变得更加紧凑、可靠且成本更低。
其他器件使用的是标准电压模式和电流模式控制拓扑,而麦瑞半导体SuperSwitcher II系列采用的却是已获专利的Hyper Speed Control控制架构。这种控制拓扑使用比较器替代传统的误差放大器来开启和关闭转换器,这可以使外部补偿环路运行更顺畅,并避免与标准控制方案相关的一些问题。这些DC-DC转换器具有一个变量控制环路,它可以逐周期地根据输入/输出电压来动态调整导通时间。这意味着转换器是以准固定频率(pseudo-fixed frequency)模式工作。只要将开关频率偏差保持在其标称频率的±20%以内,即可获得极易预测的EMI特性,这使得滤波和其它抑制技术实现起来更为轻松,同时,其实现成本也将更为低廉。
SuperSwitcher II系列DC-DC转换器可在任何电容器(Any Capacitor)下稳定工作,与陶瓷或电解输入/输出电容均能很好搭配,这为繁忙的设计人员提供了更多的灵活性和更低的BOM成本。
设计灵活性
MIC2XXXX系列具有从4.5V至75V的宽范围输入电压,并能提供低至0.8V的输出电压,该系列产品针对300kHz开关频率下5/7/12A输出负载电流而设计。该器件采用散热增强型封装,高度仅为0.85mm,可安装于母板背面,因此是空间受限及高密度应用的理想选择。这些DC-DC转换器具有可扩展的通用外形,因此,设计人员仅需简单地 "剪切和粘贴"便可完成设计,从而可以大幅降低风险并加速产品上市时间,这对于迅速发展的中国市场而言是一项关键的设计考虑因素。

表1:MIC2XXXX器件规格一览表。
控制方法
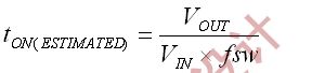
图1所示为电感电流连续流动的连续传导工作模式。输出电压经分压器R1与R2分压后由反馈引脚FB读取,并通过低增益跨导(gm)放大器在误差比较器上与0.8V参考电压VREF进行比较。如果反馈电压下降且gm放大器输出低于0.8V,则误差比较器将触发控制逻辑,生成一个导通时间周期。导通时间周期长度将由固定tON估计电路预先确定:

其中,VOUT为输出电压,VIN为功率级输入电压,fSW为开关频率。
图1:MIC26XXX系列内部模块图。

在导通时间周期完成后,内部高压侧驱动器将关断高压侧MOSFET,而低压侧驱动器将导通低压侧MOSFET。在大多数情形下,关断时间周期长度取决于反馈电压。当反馈电压降低且gm放大器输出低于0.8V时,将触发导通时间周期,此时关断时间周期结束。如果反馈电压决定的关断时间周期小于最小关断时间tOFF(min),则控制逻辑将用tOFF(min)来取代。tOFF(min)是在升压电容(CBST)中维持足够的能量来驱动高压侧MOSFET时所必需的时间。从tOFF(min)获得的最大占空比为:

,其中tS=fSW。
在稳态工作时,最好不要使器件的关断时间接近tOFF(min)。另外,在像24V到1.0V的高VIN到VOUT应用中,最小tON会导致较低的开关频率。在负载瞬变过程之中,由于关断时间变化,开关频率也将改变。
为更好地解释控制环路工作情况,现在将稳态与负载的瞬态情况都讨论一下。为了便于分析,假设gm放大器增益为1,这样,误差比较器的反向输入与反馈电压相同。
图2为稳态工作时的控制环路时序。稳态时,gm放大器通过检测反馈电压纹波(此纹波与输出电压纹波及电感电流纹波成比例),来触发导通时间周期。导通时间由tON估计电路预定,关断时间终止由反馈电压控制。在反馈电压纹波的底部(VFB下降到低于VREF时产生),关断周期结束,控制逻辑电路触发下一个导通周期。

图2:稳态响应。
图3a与3b显示了传统PWM控制拓扑与麦瑞半导体Hyper Speed控制拓扑的负载瞬变工作情况。在标准的PWM控制方法中,负载瞬变时,占空比将增加,并且在维持开关频率相对不变的同时,输出需要一个完整的开关周期来响应。使用Hyper Speed控制拓扑,开关频率将在负载瞬变过程中改变,而一旦输出稳定在新的负载电流水平,则将恢复标称固定频率。由于占空比和开关频率发生变化,因此输出恢复时间很快,并且输出电压偏差小到可以忽略不计。

图3:PWM控制拓扑与Hyper Speed控制拓扑的负载瞬态相应情况对比。
SuperSwitcher II系列使用输出电压纹波来触发导通时间周期。这与真正的电流模式PWM控制有极大不同。如果输出电容的ESR(等效串联电阻)足够大,则输出电压纹波将与电感电流纹波成比例,见图4和图5。控制环路具有无需斜坡补偿的好处。

图4:开关频率。

图5:开关频率。
为满足稳定性要求,反馈电压纹波必须与电感电流纹波同相。它还必须大到足够让gm放大器和误差比较器检测到。推荐的反馈电压纹波为20mV~100mV。如果选用具有低ESR的输出电容,则反馈电压纹波可能太小而无法被gm放大器和误差比较器检测。此外,如果输出电容ESR太低,则输出电压纹波和反馈电压纹波并不一定会与电感电流纹波同相。在这些情况下,则必须采用纹波注入的方法来确保正常工作。见图6和图7。

图6:瞬态响应。

图7:效率与输出电流关系图。
本文小结
综上所述,对于负载点应用和需要高性能复杂电源管理的产品而言,麦瑞半导体的SuperSwitcher II系列强化了自适应导通时间(AOT)控制架构的优点。这些DC-DC转换器结合了尺寸小、效率高、瞬态响应超快和功率密度及设计灵活性高的特色,将帮助电源设计人员缩短设计周期以满足业界最严苛的上市时间需求。
射频工程师养成培训教程套装,助您快速成为一名优秀射频工程师...
天线设计工程师培训课程套装,资深专家授课,让天线设计不再难...
上一篇:基于MP1593的高效率大电流稳压电源设计
下一篇:多晶硅薄膜的制备方法设计

