- 易迪拓培训,专注于微波、射频、天线设计工程师的培养
电源管理电路设计时必需考虑的散热问题
高温或内部功耗产生的过多热量可能改变电子元件的特性并导致其关机、在指定工作范围外工作,甚或出现故障。电源管理器件(及其相关电路)经常会遇到这些问题,因为输入与负载之间的任何功耗都会导致器件发热,所以必须将热量从这些器件中驱散出来,使其进入PCB、附近的元器件或周围的空气。即使在传统高效的开关电源中,当设计PCB和选择外部元器件时,也都必须考虑散热问题。
设计电源管理电路时,在考察散热问题之前对热传递进行基本了解是很有帮助的。首先,热量是一种能量,会由于两个系统之间存在温差而进行传输。热传递通过三种方式进行:传导、对流和辐射。当高温器件接触到低温器件时,会发生传导。高振幅的高温原子与低温材料的原子碰撞,从而增加低温材料的动能。这种动能的增加导致高温材料的温度上升和低温材料的温度下降。
在对流中,热传递发生在器件周围的空气中。在自然对流中,物体加热周围的空气,空气受热时膨胀形成真空,导致冷空气取代热空气。因此形成循环气流,不断将器件的热量传输给周围的空气。另一种形式是强制对流,例如风扇主动吹冷空气,从而加速取代暖空气。当物体将电磁波(热辐射)发送至周围环境时就会产生辐射。辐射热量无需介质传递(热量可以通过真空辐射)。在PCB中,热传递的主要方法是传导,其次是对流。
下面的等式给出了以传导方式热传递的数学模型:


其中H是传热速率(单位为J/s),K为材料的导热系数,A为面积,(TH–TL)为温差,d为距离。当界面之间的接触面积增大、温差增大或界面之间的距离减少时,热量传导速度加快。可以将热传递模拟成一个电路,方法是将能源(热源或前面等式中的H)等同于电流源,高温器件与低温器件之间的温差等同于电压降,(K×A/d)部分作为导热系数,或将倒数(EQ2)等同于热阻(单位为℃/W)。通常热阻表示为符号θ或Rθ或只表示为RA-B,其中A和B是发生传热的两个器件。使用电路模拟重写热传递速率等式,得到以下结果:

该模拟可以深入进行,以描述器件的另一个热属性,称之为热容。正如将热阻模拟为电阻,可以将热容(CT,单位为J/℃)模拟为电容。将热容与热阻并联获得热阻抗(ZT)。图1所示为传导传热的简化RC模型。能源被模型化为电流源,热阻抗被模型化为CT与RT并联。

图 1. 简化的热阻抗模型。
在电路中,每个热界面都有热阻抗。热阻抗因材料、几何形状、大小和方向的不同而各异。系统(或电路)的热阻抗对环境温度来说有一个总热阻抗,它可以分解为电路中每个元件的热阻抗的并联和串联的组合。例如,在半导体器件中,晶粒(也称作结)与周围空气(称作热阻抗)之间的总热阻抗,即由结到环境之间的热阻抗(ZJ-A),将是结构中每个单独材料的单个热阻抗的总和。
考虑到 在PCB上安装的分立MOSFET。稳态热阻抗(或热阻RJ-A)是结到器件外壳的热阻(RJ-C)、器件外壳到散热器的热阻(RC-S)与散热器到空气的热阻(RS-A)之和。(RJ-A=RJ-C+RC-S+RS-A)。此外,还可以有并行的散热路径,例如从MOSFET结经过器件外壳到PCB,再从PCB到环境温度。
通常情况下,半导体制造商会给出结点到器件外壳的热阻。另一方面,RC-S和RS-A主要取决于散热器和PCB的属性。许多因素会影响热阻RC-A或RC-S,包括PCB的层数、到辅助面的过孔数、与其他器件的接近程度以及气流速率。通常RJ-A会列在器件数据表中,但该数字是在特定测试板条件下得出的,因此仅适用于在相同条件下测量的器件之间的比较。
热阻(RJA)是电子元器件的重要参数,因为它是器件散热的指标(基于环境条件和 PCB布板)。换言之,RJ-A可以帮助我们根据环境条件和功耗估算工作结温。
开关电源中的散热
电源管理电路中散热考虑的典型示例,可以参考图2所示美国国家半导体提供的LM3554电路。该器件是一个感应升压转换器,面向蜂窝电话应用中的高功率闪光LED。LM3554是一个很好的测试工具,因为它是一个小型器件(1.6mm ( 1.6mm ( 0.6mm),而且可以提供高达6W的输出功率((1.2A闪光电流在5V LED中)。即使提供85%左右的效率,相对较大的输出功率能力和微小的16-bump μSMD封装,该器件都需要承受较高的工作温度。

图 2. 美国国家半导体的 LM3554 闪光 LED 驱动器测试电路
LM3554中的初始散热效应的主要表现是器件开关的导通电阻增加和器件阈值的改变。在温度过热的极端情况下,该器件可能触及热关机阈值而导致关闭。知道准确的RJ-A,可以帮助确定器件在功率运行期间的结温,并确保电路按照预期可靠地完成应用的要求。
在可能的情况下,该器件能够拥有3.6V的输入电压、3.6V的LED电压和1.2A的LED电流。在这种情况下,转换器将输出电压升至高于VIN 300mV。这为器件的两个并联电流源(负责调节LED电流)提供了300mV的净电压。
器件的总功耗将为同步PFET、NFET和两个电流源的功耗之和。PFET和NFET的功耗在电阻元件上,因此必须使用RMS电流来准确估算功耗。此电流就是RMS电感电流乘以开关周期(NFET和PFET的导通时间)百分比。如果知道转换器效率,可以用下面的等式算出占空比: 
针对我们的情况,VOUT=VLED+300mV,且效率大约为90%。这可以算出PFET占空比(1-D)为83%,NFET占空比为17%。RMS电感电流等式为:

其中ΔIL为峰到峰值电感电流,在我们的示例中大约为140mA,ILDC是通过ILED/(1-D)算出的平均电感电流。
开关中的总功耗变为NFET(RDS_ON=125mΩ) 的45mW加 PFET(RDS_ON=152mΩ)的265mW。此外,电流源的功耗为300mV×1.2A=360mW,使得内部总功耗达到668mW。数据表中给出的RJ-A为60℃/W,且来自4层JEDEC测试板(详见JESD51-7)。使用该RJ-A时,预测结温在TA=50℃时为83.4℃。这对器件将不构成问题,因为它低于150℃的热关机阈值,且低于LM3554数据表中指定的最大工作结温125℃。
在另一种情况下,可以将 LM3554设置为在同一闪光脉冲期间恒定输出+5V。300mV电流源净电压现在变为5V–3.6V=1.4V,导致电流源功耗为1.68W。假设器件在以1.2A电流提供5V电压时效率仍为90%,则占空比为35.2%,从而使直流电感电流1.85A具有288mA的ΔIL。NFET功耗现在为151mW,PFET功耗为338mW。总的内部功耗2.169W,在TA=50℃时会导致高达180℃的核心温度,这比热关机阈值高30℃,且比最大工作结温高55℃。
在现实中,该设备不会安装在4LJEDEC测试板上,而会安装在具有不同布线面的PCB上,它靠近消耗功率的其他元件,且到低层的过孔数也各不相同。所有这些应用变量,加之许多其他因素都会显著影响RJ-A,从而降低结温计算的准确度。
测量热阻抗(RJ-A和CJ-A)
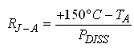
我们需要的是代表实际电路的准确RJ-A。测量RJ-A有多种方法,一种方法是使用热关机阈值,将其设置为+150℃。要用这种方法测量RJ-A,我们可以让LM3554在已知功耗(PDISS)下工作,然后慢慢提高环境温度直到器件关机为止。该器件具有一个内部标志,可以通过I2C兼容接口设置,在触及热关机阈值时会返回‘1’。使用这种方法获得的RJ-A将为: 
另一种方法是使用器件中的一个ESD保护二极管,并测量其VF与温度。相较而言这种方法稍微复杂一些,但得出的结果将更准确,这是因为VF可以在整个温度范围下进行表征。多数半导体器件的每个引脚上都有ESD二极管,其阳极连接至GND,阴极连接至各自的引脚。
为了测试 LM3554,我们可以查看LEDI/NTC 引脚,并从该引脚拉出小电流(< 10mA),同时让温度变化。每个引脚的最大绝对额定值最小为-0.3V,但那是由于ESD二极管在最高结温 +150℃时的VF而引致的。如果将电流限制为小于10mA,我们可以在不损害器件和增加任何自热的情况下查看二极管的VF。从+25℃到+125℃,该引脚的测量结果产生线性响应,斜率大约为1.3mV/℃。一旦这项工作结束,就可以在测量所选 ESD 二极管VF 的同时,让器件在已知功耗下工作。当VF 达到稳态时,RJ-A 将为: 
其中VF@TA是ESD二极管在TJ=TA时的VF,VF@SS是ESD二极管在已知功耗(PDISS)下TJ达到稳定状态温度之后的VF。
最后一种方法是使用MOSFET的导通电阻随温度而发生的变化。这种方法是在器件处于上电模式时使用内部PFET来完成。LM3554上的上电模式是指器件停止开关并持续打开PFET。如果VIN升至比VOUT高150mV时就会出现这种情况。在那时,升压转换器无需提升VOUT,而PFET会使VIN直接到VOUT 。
因为电流有些轻微依赖MOSFET的导通电阻,所以有必要在电流接近目标闪光电流时测量 PFET电阻。使用大测试电流的问题是它们可能导致器件发热。克服此问题的方法是将闪光超时时间设置为最低 32ms,并在示波器上测量PFET的电压降。在+25℃到+125℃的情况下,使用1.2A闪光电流,结果显示的斜率大约为 0.42mΩ/℃ 。要注意的一个事情是PFET通过VOUT引脚供电,因此VOUT=5V时,其导通电阻会低于VOUT=3.9V时的电阻值。
使用上述三种方法,当PDISS=1.67W时,使用热量关机测量法得出的结果为45℃/W,使用ESD二极管VF测量法得出的结果为 42℃/W,使用PFET导通电阻法测量的结果为48℃/W。图3显示了在0.856A闪光LED测试电流脉冲期间,PFET的导通电阻以及ILED/NTC的ESD二极管的VF。器件的VIN设置为5V,超时时间设置为1024ms。VLED为3.18V时,使得该电压强制 LM3554 进入上电模式。在这种模式下,功耗完全由PFET和电流源导致。

图 3. 闪光脉冲期间 LM3554 PFET 的导通电阻和 LEDI/NETC 的 ESD 二极管。
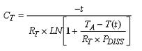
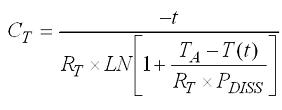
在稳态下,LEDI/NTC的ESD二极管的VF为-622mV,对应结温 95.2℃(环境温度为25℃时)。在稳定状态下,测得的PFET导通电阻为154mΩ,对应结温105℃。图3 还描绘了LM3554的热容。VF和RPMOS的响应表现呈现类似于一阶RC的指数级上升,计算等式如下:

热容则为: 
使用ESD二极管的正向电压时获得的热容为0.009J/℃,使用PFET导通电阻时获得的热容为0.0044 J/℃。温度读数之间的差异可能是由于器件上的温度梯度而造成的。PFET紧邻电流源,预计其温度上升将较快,且温度会比LEDI/NTC引脚的ESD二极管高,后者离IC上的功率器件较远。造成这样的温度差异是由于器件核心区域两个测量点之间的热阻和热容引起的。另外,响应大约为单次常量指数。实际上,功耗会随着PFET和电流源升温而发生些微的变化。这将导致随着结温上升,PDISS也些微增加。
当处理脉冲工作器件(如闪光LED驱动器)时,对热阻抗模型比对单独热阻的考虑深入得多。例如,闪光脉冲电流为1.2A,VIN为5V且VLED为3.4V。在这种情况下,器件在上电模式下PDISS=2.14W。当RJ-A为48℃/W且环境温度为50℃时,稳定状态模型指示核心温度会上升至153℃,这比最高工作结温高出28℃。如果我们考虑热容(0.0044℃/J)并将200ms闪光脉冲宽度计算在内,则可以获得对核心温度更好的估算,大约为113℃。
电感器和温度
迄今为止对关于LM3554和高温的讨论也适用于LM3554的功率电感。与半导体器件(如LM3554)一样,功率电感器损耗过多热量将改变器件特性并导致电感和电源工作异常。功率电感温度过高,通常会导致直流绕线电阻增加和饱和电流限制降低。
电感器电阻
电感线圈的电阻温度系数导致电感直流电阻会随着温度变化。线圈通常为铜制,温度系数约为 3.9mΩ/℃,计算其电阻的等式如下: 
或相当于0.39%/℃变化。
让我们再看一下LM3554,评估套件中指定的电感器是Toko生产的FDSE0312-2R2。在 TA= 25℃时,测得的电阻为137mΩ。在 85℃时,电阻变化 为50℃×0.39%=19.5%(或变为164mΩ)。在RMS电感电流为2A且VIN=3.6V时,电感电阻变化会导致效率降低约1.5%。
电感器饱和度
或许在高温状况下,功率电感最为关注的问题是额定饱和电流下降。使用较大的RMS电流时,内部功耗导致电感温度上升,从而降低电感的饱和点。在饱和时,电感铁磁核心材料已达到磁通密度(B(t)),该密度不再随磁场强度(H(t))成正比增加。相反,当饱和时,由于电感电流增加而引起任何磁场强度增加,会导致非常小的磁通密度的增加。
如果在示波器上查看开关稳压器电感电流,我们会看到器件进入饱和状态时,电感电流斜率增加。这相当于电感下降。纹波电流的增加将导致 RMS 电流和电感器的开关损耗增加,这两项都会增加电感的功耗并降低效率。
电感器在特定点达到饱和时会产生突然的饱和响应,或者会与 FDSE0312-2R2 电感器一样产生逐渐的饱和响应。然而,电感器制造商通常会将饱和点指定为既定电流和温度下电感值的特定百分比跌幅。
图4描绘了工作在饱和状态下电感器的实例。该例子使用TDK生产的VLS4010-2R2(2.2μH)电感器,在进入饱和状态时出现急剧下降。当采用最小闪光脉冲宽度32ms,在升压模式下LM3554会显示出这种效应。较窄的脉冲宽度限制了电感器的自热,从而可以通过调节环境温度来控制电感器的温度。

图 4. 电感器饱和与温度。
图4左上图显示了在饱和点以下工作的电感器,具有正常的三角电流波形,可由(V/L×Δt)算出。在峰值电流保持相同且温度升至50℃(右上图)时,电感电流斜率开始增至1.76A标记附近,指示显示电感器的饱和点随着温度上升而向下移动。当温度升到70℃, 然后升到85℃时,随着电感器达到饱和整个电流波形最终出现。
估算电感温度(热阻抗)
各种因素都会促使电感器的温度上升。这些因素包括环境温度、电感器的热阻抗和电感器的内部功耗。利用电感器的直流电阻随温度变化这一特性,我们可以比较准确地估算电感器的工作温度。这类似于使用ESD二极管或PFET导通电阻,在此将电感线圈用作内部温度计。
返回到我们的电感器电阻与温度对比的等式中去,通过两个温度下电感器电阻的比率可以用下面的等式算出ΔT: 
图5中所示的测试示例在LM3554的电路中使用了VLS4010ST-2R2,直流电流阶跃为1.65A。室温时的电阻开始时为65mΩ。超过30秒之后,电感器达到稳态,电阻变为73mΩ,相应的稳态工作温度大约为 56℃。

图 5. 电感器热响应。
使用热阻(RT)的定义,可以获得: 
这里要注意的一件事情是电感器的功耗是其线圈电阻的函数,后者会随着温度发生变化。因此,需要考虑计算电感器在给定RT的TF。将RT的等式插入电感电阻与温度等式并求解TF可以得出: 
其中k为。 
图5显示等效的电感温度上升与时间大约具有一阶指数关系。这再次得出等式: 
采用下面等式算出的热容: 
了解闪光LED驱动器示例中的电感热阻可以提供一些有益的见解。因为与闪光持续时间(小于1秒)相比,电感器达到稳定温度需要相当长的时间,所以采用稳态热阻估算的满闪光电流时的电感器工作温度,很可能会过高估算电感器的工作温度。这可以允许减少在脉冲器件(如闪光LED驱动器,而不是稳态电源)中工作的电感器的尺寸。
总结
当处理功耗相对较大的器件时,通常有必要估算电源管理电路的温度。使用通用热阻可以很好地比较采用相同封装的相似器件,但很可能得不到准确的温度预测。因此,通常有必要采用复杂的热计算或直接测量热阻的方法。本文重点介绍了几种可用于测量器件的温度并获得器件热阻的示例。知道准确的器件温度和器件功耗,从而进行热阻计算。
在知道热阻之后,利用器件功耗的逐步变化和监控器件温度可以计算器件热容。这样可以更准确地估算由于瞬态热事件导致的器件温度。本文中列出的示例是通过使用高电流白光LED闪光驱动器而完成的,但也同样适用于其他电源管理器件,包括以脉冲方式工作及专为长时间工作而设计的器件。
射频工程师养成培训教程套装,助您快速成为一名优秀射频工程师...
天线设计工程师培训课程套装,资深专家授课,让天线设计不再难...
上一篇:电源设计小贴士
40:非隔离式电源的共模电流
下一篇:电容式数字隔离器应用设计

