- 易迪拓培训,专注于微波、射频、天线设计工程师的培养
长尾式差分放大电路工作原理分析
长尾式电路:如图所示为典型的差分放大电路,由于Re接负载电源-VEE,拖一个尾巴,故称为长尾式电路。
电路参数理想对称:Rb1=Rb2=Rb,Rc1=Rc2=Rc;T1管与T2管的特性相同,β1=β2=β,rbe1=rbe2=rbe;Re为公共的发射极电阻。
1.静态分析
当输入信号uI1=uI2=0时,电阻Re中的电流等于T1管和T2管的发射极电流之和,即 

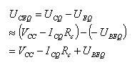
由于UCQ1=UCQ2,所以uO=UCQ1-UCQ2=0。 
2.对共模信号的抑制作用
利用电路参数的对称性抑制温度漂移:当电路输入共模信号时,如下图所示,基极电流和集电
利用发射极电阻Re对共模信号的抑制:利用Re对共模信号的负反馈作用,Re阻值愈大,负反馈作用愈强,集电极电位的变化愈小,差分放大电路对共模信号的抑制能力愈强。但Re取值不能过大,它受电源电压VEE的限制。
共模放大倍数Ac:定义为

由于E点电位在差模信号作用下不变,相当于接"地";又由于负载电阻的中点电位在差模信号作用下也不变,也相当于接"地",因而RL被分成相等的两部分,等效电路如图(b)所示。
差模放大倍数Ad:定义为


由此可见,差分放大电路电压放大能力只相当于单管共射极放大电路。差分放大电路是以牺牲一只管子的放大倍数为代价,换取了低温漂的效果。
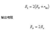
输入电阻 
共模抑制比KCMR:考察差分放大电路对差模信号的放大能力和对共模信号的抑制能力。
其值愈大,电路性能愈好。在电路参数理想对称的情况下,KCMR=∞。
射频工程师养成培训教程套装,助您快速成为一名优秀射频工程师...
天线设计工程师培训课程套装,资深专家授课,让天线设计不再难...
上一篇:产品说明书之外的收获—IBIS
下一篇:晶体管低频放大器详述

