- 易迪拓培训,专注于微波、射频、天线设计工程师的培养
电阻应变计的工作原理
电阻应变计习惯称为电阻应变片,简称应变计或应变片。出现于第二次世界大战结束的前后,已经有六十多年的历史。电阻应变计的应用范围十分广泛,适用的结构包括航空、航天器、原子能反应堆、桥梁、道路、大坝以及各种机械设备、建筑物等;适用的材料包括钢铁、铝、木材、塑料、玻璃、土石、复合材料等各种金属及非金属材料。并且,它不仅适用于室内实验、模型实验,还可以在现场对实际结构或部件进行测量,这些特点是任何一种传感元件或传感器所不能比拟的。另外,它在对结构和设备的安全监测方面也有广泛的应用前景。
电阻应变计是一种用途广泛的高精度力学量传感元件,其基本任务就是把构件表面的变形量转变为电信号,输入相关的仪器仪表进行分析。在自然界中,除超导外的所有物体都有电阻,不同的物体导电能力不同。物体电阻的大小与物体的材料性能和几何形状有关,电阻应变计正是利用了导体电阻的这一特点。
电阻应变计的最主要组成部分是敏感栅。敏感栅可以看成为一根电阻丝,其材料性能和几何形状的改变会引起栅丝的阻值变化。
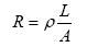
设一根金属电阻丝,其材料的电阻率为ρ,原始长度为L。不失一般性,假设其横截面是直径为D的圆形,面积为A,初始时该电阻丝的电阻值为R:
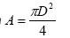
在外力作用下,电阻丝会产生变形。假设电阻丝沿轴向伸长,其横向尺寸会相应缩小,横截面的半径减少导致横截面面积发生变化。导线的横截面原面积为
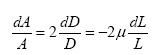
其相对变化为
其中μ为金属丝材料的泊松比。dL/L为金属导线长度的相对变化,用应变表示,即:
在式中,前一项是由金属丝变形后电阻率发生变化所引起的;后一项是由金属丝变形后几何尺寸发生变化所引起的。在常温下,许多金属材料在一定的应变范围内,电阻丝的相对电阻变化与丝的轴向长度的相对变化成正比。即:
式中,Ks为单根金属丝的灵敏系数。表示金属丝的电阻变化率与它的轴向应变成线性关系。根据这一规律,采用能够较好地在变形过程中产生电阻变化的材料,制造将应变信号转换为电信号的电阻应变计。
射频工程师养成培训教程套装,助您快速成为一名优秀射频工程师...
天线设计工程师培训课程套装,资深专家授课,让天线设计不再难...
上一篇:分解光伏组件的常见问题
下一篇:数字电源研究分析

