- 易迪拓培训,专注于微波、射频、天线设计工程师的培养
准谐振软开关反激变换器的研究
1 引言
现代开关电源发展的一个重要方向是开关的高频化,因为高频化可以使开关变换器的体积、重量大大减小,从而提高变换器的功率密度。提高开关频率可以降低开关电源的音频噪声,改善动态响应。实现高频化,必须降低开关损耗,软开关技术是减少开关损耗的重要方法之一。软开关是指零电压开关(Zero Voltage Switching,ZVS)或零电流开关(Zero Current Switching,ZCS)。它应用谐振的原理使开关变换器中开关管的电压或电流按正弦或准正弦规律变化,当电压自然过零时,使器件开通;当电流自然过零时,使器件关断,实现开关损耗为零,从而可以使开关频率提高。
反激变换器在低功率场合应用十分广泛,但是,由于开关管存在容性开通损耗,限制了开关频率的提高。原理上有很多种方法可实现软开关,但是大多数开关要承受很高的电压应力,因此不适合用于输入电压比较高的场合。由反激变换器的工作原理可知,当电感电流工作在断续工作模式(DCM)下,在电感电流减小到零以后,开关两端电容与变压器原边电感产生谐振,本文将研究如何利用产生的谐振来实现开关管的软开关工作,减小开关管的开通损耗。
2 准谐振软开关反激变换器工作原理
准谐振软开关反激变换器工作原理如图1所示。其中Lm为原边电感,Lk为原边漏感,电容Cd包括开关管Q的输出电容Coss,变压器的匝间电容以及电路中的其他一些杂散电容。Rp包括变压器原边绕组的电阻以及线路电阻。

图1 准谐振软开关反激变换器原理图
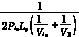
根据反激变换器的工作原理,当电路工作在电感电流断续时,在开关管Q开通时,流过变压器原边的电流峰值有:
Ipk,p=
ton (1)
式中:Vin为输入直流电压;Lp为初级电感Lp=Lm+Lk;ton为开关管导通时间。

图2为电路工作在DCM模式下开关管Q上的vds波形。
从图2可以看出,在开关管Q关断之后,Q两端会产生一个电压尖峰。这个电压尖峰是由变压器漏感Lk和电容Cd振荡的结果。振荡的幅值经过几个周期后减小为零,此后vds保持不变等于Vdss。
Vdss=Vin+n(Vout+Vf) (2)
式中:n为变压器变比;Vout为输出电压;Vf为副边整流二极管的导通压降。
经过一段时间tFW以后,反激能量完全传送给负载,流过二极管的电流减小到零,副边二极管截止。变压器原边电压不再被钳在n(Vout+Vf)。电容Cd,原边电感Lp以及电阻Rp将构成一个RLC谐振电路,开关管Q两端电压将产生振荡,如图2所示。vds的值可以用式(3)表示
vds(t)=Vin+n(Vout+Vf)e-αtcos(2πfrt) (3)
式中:α为振荡的衰减系数;fr为谐振频率。
fr=
(4)
经过时间tv后,vds到达振荡的最低点Vds,min
Vds,min=Vin-n(Vout+Vf) (5)
tv=π
(6)
可以看出如果n(Vout+Vf) Vin,让开关在tv时刻导通,则开关就能实现零电压开通。如果n≤(Vout+Vf)≤Vin,尽管开关无法实现零电压开通,但是让开关在tv时刻导通仍然可以在最大程度上减小开关的开通损耗。从以上的分析可以看出,电路零电压开关工作的条件只与电路的设计参数相关,而与电路的具体工作状况无关。
需要注意的是,由于电路中输入电压Vin会在一定范围内变化,给电路的设计带来了一定困难。特别是在宽范围输入场合,在整个输入范围内实现零电压开通将会非常困难。另外,由于电路本质上工作在临界断续模式(DCM boundary),开关频率随着输入电压或者负载的变化而变化,其工作频率推导如下:
ton=
(7)
tfw=
(8)
fsw==
(9)
由于电路工作在DCM boundary模式,因此有
Pin=Lpfsw (10)
可以推导出开关频率fsw为
fsw=
(11)
其中
fT=
(12)
可见随着输入电压的升高或者负载的减轻都会使开关频率上升。
3 设计实例以及实验结果
根据以上分析,设计了一个60W的准谐振软开关反激变换器,控制采用ST公司最新推出的控制芯片L6565,其外部功能框图如图3所示。

图3 L6565功能框图
L6565采用电流控制方式,脚4用于检测流过开关管的电流,脚1为电压反馈输入脚,脚2为内部运放输出脚,脚1、2之间接一个PI补偿网络,脚7为驱动输出脚。值得注意的是,与一般电流控制型芯片不同的是,L6565有一个电流过零检测脚4,用来检测副边反激电流是否已经减小到零,一旦检测到过零信号,经过一段延迟时间(tv)将使开关导通实现零电压开通。
电源的主要参数如下:输入电压AC 90~265V,输出电压DC 12V,5A,最低开关频率70kHz。
从图4所示开关管两端电压波形可以看出,vds在反激输出电流减小到零以后开始振荡,当振荡达到最低点后,开关重新导通,实现了零电压开关。图5所示的是开关管的电流波形。图6所示的是轻载开关管两端电压波形。从式(12)可以看出在负载很轻的时候,开关频率会很高,增加了电路的轻载或空载损耗。L6565针对准谐振电路这个缺点,在内部设置了一个最小关断时间。从图6可以看出,在第一次谐振到达最低时,如果此时关断时间没有超过内部设置的最小关断时间,开关管将无法导通,vds将继续振荡,直到关断时间超过最小关断时间,开关管才能再次导通。图7所示的是空载开关管两端电压波形,此时开关将进入间歇工作状态,以降低开关频率。电路的空载损耗可以小于1W,满载效率可以达到85%。

图4 满载开关管两端电压波形(vds)

图5 满载开关电流波形

图6 轻载开关管两端电压波形(vds)

图7 空载开关管两端电压波形(Burst Mode)
4 结语
基于L6565控制的准谐振软开关反激变换器,经过相应的参数设计,可以使开关管工作在零电压开关状态,大大减小开关的损耗,降低了EMI噪声。电路空载损耗可以达到1W以下。目前在电源适配器及相关的对效率,空载损耗要求较高的领域有一定的应用。
射频工程师养成培训教程套装,助您快速成为一名优秀射频工程师...
天线设计工程师培训课程套装,资深专家授课,让天线设计不再难...
上一篇:哪里来的噪声?
下一篇:一种低压程控电源的设计

