- 易迪拓培训,专注于微波、射频、天线设计工程师的培养
基于SRPP电路的耳机放大器设计
1 引言
在高保真音响电路中,电子管放大器由于其独特的韵味和音乐听感,一直备受广大音响爱好者的喜爱和关注。近年来,高保真耳机由于其使用的便捷性和相对较低的价格,受到越来越多的音乐爱好者和音响发烧友的青睐。在高保真耳机家族中,耳机阻抗从低阻、中阻到高阻均有分布:如爱科技的271S额定阻抗为48Ω,拜亚动力的Dt48额定阻抗为200Ω,森海尔的HD580,HD600,HD650额定阻抗为300Ω等。对于阻抗较高的耳机,通常需要专门的配套电路,才能展现其优异的性能。同用于音箱的扬声器单元相比,耳机对于它的驱动电路性能指标的要求更加严格。与晶体管相比,电子管静态工作点电压高、内阻大,更适合输出摆幅大、电流小的驱动信号。这个特点使得电子管适用于驱动对品质要求高,但功率要求低的高保真耳机。
在音频前置放大器中,并联调整推挽(ShuntRegulatedPush-Pull,SRPP)电路具有高增益、低失真、低输出阻抗等特点,能够获得优异的音质表现,因而在音响电路中广泛应用。本文设计了一款以共阴极放大器为输入级,SRPP放大电路为输出级的耳机放大器电路。对该电路建立了微变等效模型,选择合理的器件,通过理论计算控制相应的参数,使放大器能够较好地驱动耳机工作。
2 输入级
输入级采用一只电子管三极管构成的共阴极放大电路,其电路原理图如图1所示。图中电阻RL1,Rk1和Rg1分别同电子管的阳极、阴极和栅极相连接,使电子管建立稳定的工作点,同时具有合适的增益和适当的局部负反馈。V1可选择常用的电子三极管,如单三极管ECC92,或者是双三极管ECC82,12AU7,5814等型号中的一只电子管三极管工作原理与晶体管中的双极性三极管不同,但和场效应管类似,属于电压型放大器件,其主要参数为跨导gm,内阻rp和放大系数μ,且三者之间满足:

该电路的微变等效电路如图2所示,这里将电子管看成是受控电压源。图中,输入电压可表示为:

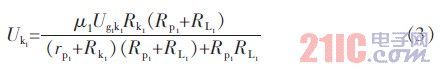
式(2)中Ug1k1为电子管栅极和阴极两端的电压,Uk1为阴极电阻Rk1两端的电压:

共阴极放大电路的输出电压为:
电压放大倍数为:
3 输出级
输出级采用SRPP电路,电子管既可选择内阻合适的三极管,如6N6,E182CC,也可选择用于功放的小功率五极管,如6P15,6P14,EL42,EL91,EL84,EL86。
一般五极管内阻较大,增益很高,为了降低输出阻抗和增益,需将五极管连接成三极管使用。
文中的输出级选用小功率五极管作为放大器件,选择其他型号的管子时,需要根据管子自身参数确定外围元件的参数和供电电压VCC2。在图3中,Rsg1和Rsg2分别将五极管V2和V3的第二栅极和阳极相连接,因而成为三极管工作方式。Rk2和Rk3分别与V2和V3的阴极相连接,为电子管提供适当的栅负压。RL2表示负载的阻抗。选择不同型号的管子,由于内阻和增益的差别,在驱动耳机工作时,会有不同的声音表现,通常可通过主观音质评价来确定管子的选择。
图4是图3的微变等效电路,图中Ip为:


输出电压Uo2为:

将式(6)~(8)联立,经过简化可得出输出级的电压增益为:

输出端施加一个电压U′o2,这时从输出端向内看的电流记作为I′o2,可由式(10)~(12)计算得出:

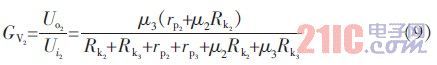
从式(11)~(13)可计算得到SRPP放大电路的输出阻抗为:
4 整体设计
整机的电路原理图和元器件的取值如图6所示。


输入级放大器件选用Ecc82双三极管,输出级选用6P15,基本参数如表1所示。为降低输出阻抗,以便于和阻抗较低的耳机相匹配,输出级SRPP电路采用双管并联的方式工作。放大器的相关参数计算方法如下所示,其中开环电压增益为:

反馈系数为:

闭环电压增益为:

输出阻抗为:

负载电压增益为:

5 测试结果
经过测试,耳机放大器在驱动不同阻抗负载的情况下,电路中的各项参数如表3所示。从表2~3中可看出,测量结果和理论计算结果比较接近。相对于一般的晶体管耳机放大器,电子管放大器的输出阻抗略高,这个阻抗会影响耳机单元的总Qt值,以至于影响耳机的瞬态特性,这也是电子管耳机放大器产生特有的听觉效果的一个因素。


经实际聆听可感觉,该放大器具有足够的动态范围,中频清晰饱满、柔和、圆润、高频明亮、通透,低频丰满、力度好,从整体上来感觉,声音比较平衡、真实。
无论驱动低阻耳机还是高阻耳机,都具有良好的听感效果。
6 总结
本文设计了一款基于阴极跟随器和SRPP电路的耳机放大器,从理论上分析为控制电路参数提供了明确依据,并用实践测量验证了理论的正确性。用微变等效分析方法对于电子管耳机放大器的设计具有良好的指导作用。
射频工程师养成培训教程套装,助您快速成为一名优秀射频工程师...

