- 易迪拓培训,专注于微波、射频、天线设计工程师的培养
优化便携设备中大输出电流DC-DC转换的热耗散
精心选择器件和良好的热设计能帮助工程师优化应用于移动设备的超小型DC-DC转换器设计,实现功率密度的增加,同时还保证可靠性。
电源器件的小型化
终端用户需要那些能够提供丰富功能的超小型设备,如手机、便携式媒体播放器(PMP)或全球卫星定位系统(GPS)设备等,这就要求设计人员在启动每个新的电路板设计时,使用更小的元器件。在数字集成电路(IC)方面,贯彻摩尔定律使元器件制造商能够显著减小芯片尺寸,同时还可提高器件性能和集成度。模拟IC的换代产品也提供与它们前一代产品相当或更高的性能,而印刷电路板(PCB)的占位面积更小。电源半导体制造商也在追求小型化,利用更小的占位面积提供更高的功率处理能力,从而提供尽可能最高的功率密度。
然而,追求这个目标为系统设计人员带来了更严格的热管理挑战。电源转换期间损耗的能量以热力的形式释放,而减小元器件的尺寸(与产生的热量有关)会导致工作温度升高。原因很简单,裸片越小,发散热量的能力就越低。小型化可能带来的不利后果包括低可靠性、不可预测的器件表现以及极端情况下器件的损毁。一般来说,结温越高,器件失效的可能性就越高。
要想在现代便携设备中成功使用超小型电源器件,就需要密切关注元器件和电路板两级,将器件内的发热量降至最低,并确保能够高效地移除热量。
封装创新
为了将生成的热量减到最少,器件设计人员首先要考虑高的电源转换效率。例如,对于负载点(PoL)稳压器等通用型应用而言,开关转换器就比线性转换器更有优势。最好的开关转换器可以提供95%到97%区间的峰值效率。
为了能够有效地散热,近年来涌现了多款小外形因数的新型电源封装。这些封装经过优化,将裸片与外壳之间的热阻抗降至最低,使热量能够高效地从器件移除。
在针对便携应用的最新封装中,诸如µDFN或µCSP这样的超小型无铅型封装在底部集成了裸露金属焊盘。焊盘向下焊接,将热量直接传导到PCB上。封装尺寸可以是2mmx2mm或更小,这类封装的器件能提供最大1.5 A左右的连续电流。
为了确保以尽可能大的输出电流来实现稳定的工作并将使用寿命延至最长,在采用这些器件进行设计时,工程师需要运用合理的热设计准则,在电路板布线等方面考虑器件厂商的建议。
计算功率耗散
可以用等式1计算开关转换器的功率耗散:
![]()
(等式1)
假定稳压器产生固定的输出电压值,在输出电流最大和效率最低时功率耗散最大;而在环境温度很高和输入电压最低时会出现能效最低的情况。
分析DC-DC转换器的设计可以论证如何计算最坏情况下必要的功率耗散,并了解功率耗散与封装热阻抗和允许的最高环境工作温度之间有怎样的相关性。
以安森美半导体的NCP1529 DC-DC转换器为例,该器件采用热增强型2mmx2mmx0.5mm µDFN-6封装或3mmx1.5mmx1mm TSOP5封装,适合用于电池供电设备。NCP1529的输入电压范围为2.7V至5.5V,支持单个锂离子电池或3个碱/镍镉/镍氢电池供电,输出电压可在0.9V至3.9V之间调节,最大输出电流为1.0A。此外,IC具有内部热关断电路,防止在结温超过最大值时器件受到灾难性损坏。如果温度达到180℃,器件会被关断,所有功率晶体管和控制电路也将被关断。当温度温度低于140℃时,器件会通过软启动模式重新启动。
当然,最佳的应用设计应当注意降低关断状况发生的潜在机率,首先要做的工作之一便是清晰地了解工作效率。
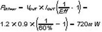
我们可以考虑这样一款器件:提供1.2V IC内核电压,最高流经900mA的电流。图1显示的是NCP1529在环境温度为85℃、输入电压为2.7V、输出电压为1.2V的条件下不同输出电流时的工作效率。输出电流为0.9A时,器件的工作效率为60%。

图1 Vin="2".7 V、Vout=1.2 V、温度为85℃时的NCP1529能效
将这些数值代入等式1,得到下面的功率耗散最坏情况的表达式:

这个数字非常重要,可以帮助我们优化各种应用的热性能。
功率与温度的相关性
热阻抗(RθJA)用于描述封装将热量从硅结点传递到外界环境中的能力。热阻抗越低,器件就能够越好地传递大量热量。RθJA的表达单位为℃/W,因此我们为工程师提供了一个工具,可将以瓦(W)计算的电气功率(耗散)与以摄氏度(℃)为单位的温度关联起来。
在最新电源器件的数据表中,往往宣称器件的RθJA值极低。但系统设计人员如果期望在终端产品中达到预期的性能,必须密切注意电路板布线和PCB的热设计。NCP1529的数据表显示了器件单独的RθJA(µDFN-6封装,220℃/W),以及这款器件用于推荐的电路板布线时的RθJA(40℃/W)。这些数字显示PCB设计对热阻抗有显著影响。事实上,遵从器件制造商的建议能够将有效的RθJA降低5倍。
[p]知道了RθJA和PDIP(max),就可以使用下面的等式计算出应用能够承受的最大环境温度:
![]()
此处,TJmax是器件能够承受的最大结温(NCP1529对应的温度为150℃)。
需要注意的是,NCP1529同时提供TSOP-5和µDFN-6封装,我们可以快速地确定每种封装选择对工作性能的影响。表1归纳了各种封装的功率耗散、封装热阻抗和计算出的最高环境温度。
表1显示,要想转换器在最高的环境温度下令人满意地工作,封装选择是要重点关注的一个事项。
表1:电气域与热域之间的数据转换

另一种评估封装热特性对应用性能影响的方法是检查功率下降曲线。图2显示了NCP1529的曲线,详述了µDFN-6和TSOP-5封装最大环境温度阈值与功率耗散之间的关系。

图2 IC功率下降特性曲线
环境温度低于70℃时,TSOP-5和µDFN-6封装都可以耗散720mW的功率,因此能满足这一应用的最坏情况要求。然而,µDFN-6封装的功率耗散能力更强,与采用TSOP-5封装的同等转换器设计相比,能够承受的温度更高。
µDFN-6封装的性能优势归因于其热增强型结构,裸露的金属焊盘显著降低了裸片到PCB的热阻抗。
热设计指南
在每次计算中,TA值都假定是最佳可能的热阻抗,也就是使用建议的电路板布线时所能达到的热阻抗。如前文所述,电路板布线对器件热性能以及相应的应用有极大影响。设计师在使用任何DC-DC转换器时都应当查询所选元件的文档,确保通过硬件实现该设计时能够达到预期的性能。
热性能的提高可以可以通过以下特性来优化,譬如加设散热通孔、将关键迹线(trace)宽度拓至最宽、使用对接地层或电源层的热连接,或是指定热性能增强的PCB材料(如绝缘金属基板)。NCP1529的热设计指南建议将VIN迹线加宽,并增加几个通孔,建立多个对电源层的热连接。此外,建议将稳压器的接地引脚连接至PCB顶层。顶层、底层及所有接地层之间应当使用空余的通孔来连接,从而增加散热器的有效尺寸,而且这些通孔应当离得越近越好,或者在使用µDFN-6封装时最好位于裸露焊盘底下。µDFN-6裸露焊盘必须被正确地焊接至PCB主散热器。
当然,设计人员也必须牢记电路板布线对转换器电气性能的影响。优化的热布线应当具备辅助功能,如为大电流通道设置宽迹线,以及单独的电源层和接地层等,将稳压器的噪声免疫性和环路稳定性提升至最佳。
图3显示了使用µDFN-6封装的NCP1529时推荐的焊盘布线,顾及到了电气和热设计注意事项。红色箭头表示热能由封装流向周围环境。

图3 建议的NCP1529 μDFN-6电路板布线
结论
设计人员要在当今便携产品严苛的空间限制下应用高性能DC-DC转换器,必须密切注意工作条件、功率耗散、元器件性能和热设计。与旧款的功率封装相比,具有热增强特性的最新小型封装技术支持更高的功率耗散。便携系统设计人员通过将这些最新小型封装同板级的热设计相结合,就能够在小空间中视实现可靠的大电流设计。
射频工程师养成培训教程套装,助您快速成为一名优秀射频工程师...
天线设计工程师培训课程套装,资深专家授课,让天线设计不再难...
上一篇:开关电源电磁干扰抑制技术
下一篇:开关式交流稳压电源的设计

