- 易迪拓培训,专注于微波、射频、天线设计工程师的培养
一个对温度不敏感的高增益运算放大器设计
0 引言
运算放大器的用途非常广泛,是许多模拟系统和混合信号系统中的一个完整部分,大量具有不同复杂程度的运算放大器被用来实现各种功能,从直流偏置到高速放大或者滤波等。在很多功率电路中,对运算放大器的温度特性要求很高。例如,应用于功率放大器控制电路中的运算放大器,由于功率放大器是大功率器件,自身消耗的功率大,将导致功率放大器芯片的温度变化很大。因此要求控制电路中运算放大器的增益、稳定性等受温度影响要小。
1 运算放大器的结构选择
运算放大器有很多种结构,按照不同的标准有不同的分类。从电路结构来看,有套筒式共源共栅、折叠式共源共栅、增益提高式和一般的两级运算放大器等。
图1给出3种运算放大器的结构,分别为两级放大器、折叠式两级套筒OTA、折叠式两级联OTA。比较以上三种结构,发现折叠式的共源共栅0TA输入摆幅最大,输入共模电平容易选取,而且输入和输出可以短接。正是由于这些原因,折叠式共源共栅运算放大器更加广泛。同时考虑到不同电压温度条件下增益要达到110 dB,因此采用两级运算放大器。

2 折叠式共源共栅全差分运算放大器的原理
共源共栅结构的设计思路是将输入电压转化成电流,然后将他作为共源共栅级的输入,共源共栅级电流的变化再转化为输出电压的变化。一个完整的全差分折叠式共源共栅全差分运算放大器包括偏置电路、共模反馈电路和主体电路3个部分。
2.1 偏置电路分析
本文选用宽摆幅偏置电路,如图2所示,它的主要单元是低压共源共栅电流镜,由PMOS和NMOS电流镜组成。首先,分析该电路的PMOS宽摆幅电流镜,该电流镜由M4~M8组成,假设取M5,M6的宽长比一样,那么M5,M6的过驱动电压也是一样的,要使他们都饱和,则M5漏端电压至少为2倍的过驱动电压。M5的主要作用是降低M6的漏源电压,这样M6能更好地匹配M4的电流。调节M5的尺寸,可以控制M6的漏源电压,一般M5的尺寸小于M6尺寸的1/4,取M5=1.5 μm。同时为了减小短沟道效应,M4,M5栅长要稍微长点,取L=1 μm。NMOS电流镜也是这样的。合理调节电路参数可以使系统的增益、相位裕度等受温度影响很小。

2.2 CMFB电路
CMFB的实现有连续时间方法和开关电容方法。本文采用连续时间方法,如图3所示,共模采样端输出共模电平通过2个相等的电阻R采样。这种结构能确保在一个很大电压范围内会有全平衡输出口。Vref是共模参考电平,这个电路和M13~M17共同构成一个闭环负反馈回路,使共源输出级的共模电平近似等于Vref。由于这两级电路的内部都是低阻抗节点,因此可达到较大的开环单位增益带宽。一般情况下,只要共模输入信号的带宽小于CMFB的单位增益带宽就可保证电路共模电平稳定。

2.3 主体电路
本文采用带共源输出缓冲的全差分折叠式共源共栅结构,如图4所示,它的主要优点就是较高的增益,输入共模范围较大。

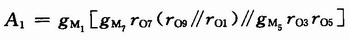
2.4 直流增益分析
图4所示的运算放大器存在两级:折叠式共源共栅级增大直流增益和共源放大器。
第一级增益:![]()
第二级增益:![]()
整个运算放大器的增益:![]()
因此,要提高运算放大器的增益,主要是提高相应的MOS管跨导和输出阻抗。同时合理地调节电路参数可以使增益、相位裕度等受温度影响很小。
[p]3 折叠共源共栅全差分运算放大器的版图设计
应该采用更加合理的版图布局,更加统一的连线和过孔连接等,使对称电路的寄生效应一致。在全差分运算放大器版图设计时,尤其要注意版图的对称。
4 仿真结果与分析
基于TSMC0.18μm工艺,版图设计如图5所示。对版图提取寄生电阻、电容,采用HSpice,Cadence软件进行模拟仿真。

开环增益的小信号如图6,图7所示。


其中图6为频率响应随温度变化的曲线。从图6可以看出,最大增益可达115 dBm,相位裕度为70°,在整个温度范围内(-40~+125℃)增益变化仅为1 dBm,相位裕度仅变化5°。图7中电源电压从2.7 V变化到3.3 V范围内,该结构的运算放大器受电源电压影响很小,完全满足实际应用。
5 结语
本文针对蓝牙功率放太器控制电路的要求,设计了一个对温度不敏感的运算放大器。采用宽摆幅的偏置电路、选取合理的电路参数等,消除了温度和电压对运算放大器性能的影响。
射频工程师养成培训教程套装,助您快速成为一名优秀射频工程师...

