- 易迪拓培训,专注于微波、射频、天线设计工程师的培养
基于SG3525的DC/DC直流变换器的研究
录入:edatop.com 点击:
0 引言
随着电能变换技术的发展,功率MOSFET在开关变换器中开始广泛使用。为此,美国硅通用半导体公司推出了SG3525,以用于驱动N沟道功率MOSFET。SG3525是一种性能优良、功能齐全和通用性强的单片集成PWM控制芯片,它简单可靠及使用方便灵活,输出驱动为推拉输出形式,增加了驱动能力;内部含有欠压锁定电路、软启动控制电路、PWM锁存器,有过流保护功能,频率可调,同时能限制最大占空比。其性能特点如下:
1)工作电压范围宽: 8~35V。
2)内置5.1 V±1.0%的基准电压源。
3)芯片内振荡器工作频率宽100Hz~400 kHz。
4)具有振荡器外部同步功能。
5)死区时间可调。为了适应驱动快速场效应管的需要,末级采用推拉式工作电路,使开关速度更陕,末级输出或吸入电流最大值可达400mA。
6)内设欠压锁定电路。当输入电压小于8V时芯片内部锁定,停止工作(基准源及必要电路除外),使消耗电流降至小于2mA。
7)有软启动电路。比较器的反相输入端即软启动控制端芯片的引脚8,可外接软启动电容。该电容器内部的基准电压Uref由恒流源供电,达到2.5V的时间为t=(2.5V/50μA)C,占空比由小到大(50%)变化。
8)内置PWM(脉宽调制)。锁存器将比较器送来的所有的跳动和振荡信号消除。只有在下一个时钟周期才能重新置位,系统的可靠性高。
l 脉宽调制器SG3525简介
1.1 结构框图
SG3525是定频PWM电路,采用原理16引脚标准DIP封装。其各引脚功能如图1所示,内部原理框图如图2所示。
1.2 引脚功能说明
直流电源Vs从脚15接入后分两路,一路加到或非门;另一路送到基准电压稳压器的输入端,产生稳定的元器件作为电源。振荡器脚5须外接电容CT,脚6须外接电阻RT。振荡器频率厂由外接电阻RT和电容CT决定。
振荡器的输出分为两路,一路以时钟脉冲形式送至双稳态触发器及两个或非门;另一路以锯齿波形式送至比较器的同相输入端,比较器的反向输入端接误差放大器的输出,误差放大器的输出与锯齿波电压在比较器中进行比较,输出一个随误差放大器输出电压高低而改变宽度的方波脉冲,再将此方波脉冲送到或非门的一个输入端。或非门的另两个输入端分别为双稳态触发器和振荡器锯齿波。双稳态触发器的两个输出互补,交替输出高低电平,将PwM脉冲送至三极管VT1及VT2的基极,锯齿波的作用是加入死区时间,保证VT1及VT2不同时导通。最后,VTl及VT2分别输出相位相差为180°的PWM波。
2 系统结构设计
本电源输入电压是由带隔离变压器的+30V电源提供,图3是选用SG3525设计的DC—DC直流变换器原理图。性能指标是:输入电压为DC24~35V可调,输入额定电压为30V,输出为5V/lA。本系统由SG3525产生两路反向方波来控制MOSFET的导通与关闭,MOSFET驱动采用推挽方式,本设计在变压器的中心抽头加入30V直流电压,输出部分采用全波整流,在输出点上有分压电阻给TL431提供参考电压,并通过光电隔离反馈到SG3525,以调节控制输出方波占空比来稳定输出电压。由于本设计采用推挽式功率变换电路,在输入回路中仅有一个开关的通态压降,而半桥和全桥电路有2个,因此在同样的条件下,产生的通态损耗较小,这种拓扑特别适合输入电压较低的场合,这也是本设计为什么采用推挽变换器的原因。其中的变压器可同时实现直流隔离和电压变换的功能,磁性元件数目较少,成本较低。
2.1 高频变压器设计
推挽变换器的高频变压器如图3中所示,原边和副边的绕组都分别有一个中心抽头。磁心参数选择如下:
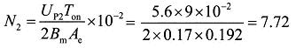
变压器输入电压幅值Up1=24V,直流输出电压5V,串联二极管串联压降取0.6V,所以次级绕组电压幅值Up2取5.6V,最大工作比α=0.45,次级绕组峰值电流Ip2=1 A,次
(变压器效率η取为1,这个效率不包括整流二极管在内),取工作磁感应强度Bm=170mT,电流密度j取4.8A/mm2,铜在磁心窗口中的占空系数Km(初选时取0.2~0.3),实际计算是取Km=0.2 5,则计算面积乘积
取EEl6磁心,它的中心磁铁截面积(Ae)19.2mm2,磁心的窗口面积(Aw)为39.85mm2,因此EEl6的功率容量为Ae×Aw=19.2×39.85mm4=0.0765cm4,而计算面积乘积AP=O.029cm4,它明显小于上面的功率容量的乘积0.0765,可见采用EEl6磁心时,其功率容量已足够大。绕组匝数计算如下:先确定最低电压绕组的匝数
取偶数N1=34,其中开关管最大导通时间Tcn=9μs,控制器输出频率f=45kHZ。按照原边34匝,副边8匝绕制变压器,在变压器的绕制过程中,为了减少变压器的漏感,要将原边绕组和副边绕组紧密耦合。
[p] 2.2 控制及驱动电路设计
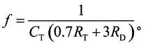
采用SG3525集成PWM控制器作为控制芯片,它的外围电路简单。电路中的锯齿波生成电路由RT、CT和内部电路组成,本设计取CT=4700pF,RT=3.3kΩ,RD=100Ω,经计算振荡器输出频率是90kHz,PWM输出频率定为45kHz。软启动电容接入端(引脚8)接一个lμF的软启动电容。只有软启动电容充电使引脚8处于高电平时,SG3525才开始工作。
系统中的基准比较调节电路则由基准引脚Vref、同相输入端及外围电阻构成。2脚的电压固定值接近5V。SG3525的l、2、9脚及其外围电路构成了PI调节器,它的输出与5脚锯齿波和软启动电容一起可控制PWM控制器以产生方波。它的输出级ll、14脚输出两路互补的PWM波,采用图腾柱式结构,灌拉电流能力超过200mA,可以直接驱动MOSFET管,只需加一门级电阻即可。在本设计选用的是IR公司生产的IRF630。其具体设计电路如原理图中所示。
2.3 反馈补偿电路设计
为了确保输出的稳定,在+5V上引入反馈,采用2.5~36V可调式精密并联稳压器TL43l作为稳压器件。TL43l是德州仪器公司生产的一款有良好热稳定性的三端可调分流基准源。它的输出电压可用两个电阻任意设置到Vref(2.5V)到36V范围内。该器件的典型动态阻抗为0.2Ω。用它来构成外部误差放大器,再与光耦组成隔离式反馈电路。为了将连续变化的输出迅速反馈,需采用线性光耦,如PC817。PC817不仅可以起到反馈作用,还可以起到隔离作用,当PC817二极管正向电流在3mA左右变化时,三极管的集一射极电流在4mA左右变化,而集一射极电压在很宽的范围内线性变化,因而比较符合SG3525的控制要求。
当+5V输出电压升高时,经R27、R28分压后得到的取样电压,就与TL43l中的2.5V带隙基准电压进行比较,并在阴极上形成误差电压,使LED的工作电流发生变化,再通过光耦PC817去改变SG3525 1脚的电压大小,从而改变9脚电流大小,最后调节,再通过光耦PC817使反馈电压增大,SG3525的1脚输入端电压升高,经SG3525内部电路后ll、14的输出占空比减小,使+5V维持稳定。
2.4 输出电路设计
在负载电流相同的条件下,全波和倍流整流电路中二极管的总通态损耗比全桥整流电路小一半,这就意味着在输出电压相同,且其它损耗相当的情况下,全波和倍流整流电路的效率会较高。在低压输入电路中,二极管通态损耗占电路总损耗很大比例,通常在输入电压较低的情况下(小于100V)采用全波电路比较合适,因此本设计采用整流器件MBR20100,其管压降小,可提高效率,二极管两端采用RC吸收电路,抑制二极管的反向瞬态电压,高频电压经其整流后由滤波电容C13滤波,再经磁珠L1组成低通滤波器向负载输出,C14可降低交流纹波。输出电路设计如原理图所示。
3 实验波形和实验数据
图4是满载时输出波形,从图中可以看出,满载时+5V。输出比较稳定且纹波比较小。图5是直流输入30V、满载输出时MOSFET漏一源极电压波形(衰减lO倍后),可以看出此时占空比最大约为45%。
为了验证该系统的稳定性,实验中记录了不同负载下的输出电压值和不同输入下输出电压值如表1和表2所示。
从表1和表2可以看出,随着负载的加重,输出电压有小量的降低,随着输入电压的增加输出电压有小量的提升。但都基本维持在5V左右,负载调整率为(5.06~4.97)/4.97=1.8%,表明该系统较好地实现了稳压。
4 结束语
本文介绍了基于控制集成芯片SG3525的推挽式DC—DC直流变换器的系统结构设计方案,特别适用于低压输入的场合。整个系统所占用的PCB板面积很小,可直接做在单板系统上, 为绝大多数单板系统提供足够的电能。经实验证明,它结构简单,性能可靠,成本低廉,而且重量轻、体积小,具有很大的实用潜力。
随着电能变换技术的发展,功率MOSFET在开关变换器中开始广泛使用。为此,美国硅通用半导体公司推出了SG3525,以用于驱动N沟道功率MOSFET。SG3525是一种性能优良、功能齐全和通用性强的单片集成PWM控制芯片,它简单可靠及使用方便灵活,输出驱动为推拉输出形式,增加了驱动能力;内部含有欠压锁定电路、软启动控制电路、PWM锁存器,有过流保护功能,频率可调,同时能限制最大占空比。其性能特点如下:
1)工作电压范围宽: 8~35V。
2)内置5.1 V±1.0%的基准电压源。
3)芯片内振荡器工作频率宽100Hz~400 kHz。
4)具有振荡器外部同步功能。
5)死区时间可调。为了适应驱动快速场效应管的需要,末级采用推拉式工作电路,使开关速度更陕,末级输出或吸入电流最大值可达400mA。
6)内设欠压锁定电路。当输入电压小于8V时芯片内部锁定,停止工作(基准源及必要电路除外),使消耗电流降至小于2mA。
7)有软启动电路。比较器的反相输入端即软启动控制端芯片的引脚8,可外接软启动电容。该电容器内部的基准电压Uref由恒流源供电,达到2.5V的时间为t=(2.5V/50μA)C,占空比由小到大(50%)变化。
8)内置PWM(脉宽调制)。锁存器将比较器送来的所有的跳动和振荡信号消除。只有在下一个时钟周期才能重新置位,系统的可靠性高。
l 脉宽调制器SG3525简介
1.1 结构框图
SG3525是定频PWM电路,采用原理16引脚标准DIP封装。其各引脚功能如图1所示,内部原理框图如图2所示。
![]() |
![]() |
1.2 引脚功能说明
直流电源Vs从脚15接入后分两路,一路加到或非门;另一路送到基准电压稳压器的输入端,产生稳定的元器件作为电源。振荡器脚5须外接电容CT,脚6须外接电阻RT。振荡器频率厂由外接电阻RT和电容CT决定。
![]() |
振荡器的输出分为两路,一路以时钟脉冲形式送至双稳态触发器及两个或非门;另一路以锯齿波形式送至比较器的同相输入端,比较器的反向输入端接误差放大器的输出,误差放大器的输出与锯齿波电压在比较器中进行比较,输出一个随误差放大器输出电压高低而改变宽度的方波脉冲,再将此方波脉冲送到或非门的一个输入端。或非门的另两个输入端分别为双稳态触发器和振荡器锯齿波。双稳态触发器的两个输出互补,交替输出高低电平,将PwM脉冲送至三极管VT1及VT2的基极,锯齿波的作用是加入死区时间,保证VT1及VT2不同时导通。最后,VTl及VT2分别输出相位相差为180°的PWM波。
2 系统结构设计
本电源输入电压是由带隔离变压器的+30V电源提供,图3是选用SG3525设计的DC—DC直流变换器原理图。性能指标是:输入电压为DC24~35V可调,输入额定电压为30V,输出为5V/lA。本系统由SG3525产生两路反向方波来控制MOSFET的导通与关闭,MOSFET驱动采用推挽方式,本设计在变压器的中心抽头加入30V直流电压,输出部分采用全波整流,在输出点上有分压电阻给TL431提供参考电压,并通过光电隔离反馈到SG3525,以调节控制输出方波占空比来稳定输出电压。由于本设计采用推挽式功率变换电路,在输入回路中仅有一个开关的通态压降,而半桥和全桥电路有2个,因此在同样的条件下,产生的通态损耗较小,这种拓扑特别适合输入电压较低的场合,这也是本设计为什么采用推挽变换器的原因。其中的变压器可同时实现直流隔离和电压变换的功能,磁性元件数目较少,成本较低。
![]() |
2.1 高频变压器设计
推挽变换器的高频变压器如图3中所示,原边和副边的绕组都分别有一个中心抽头。磁心参数选择如下:
变压器输入电压幅值Up1=24V,直流输出电压5V,串联二极管串联压降取0.6V,所以次级绕组电压幅值Up2取5.6V,最大工作比α=0.45,次级绕组峰值电流Ip2=1 A,次
![]() |
(变压器效率η取为1,这个效率不包括整流二极管在内),取工作磁感应强度Bm=170mT,电流密度j取4.8A/mm2,铜在磁心窗口中的占空系数Km(初选时取0.2~0.3),实际计算是取Km=0.2 5,则计算面积乘积
![]() |
取EEl6磁心,它的中心磁铁截面积(Ae)19.2mm2,磁心的窗口面积(Aw)为39.85mm2,因此EEl6的功率容量为Ae×Aw=19.2×39.85mm4=0.0765cm4,而计算面积乘积AP=O.029cm4,它明显小于上面的功率容量的乘积0.0765,可见采用EEl6磁心时,其功率容量已足够大。绕组匝数计算如下:先确定最低电压绕组的匝数
![]() |
取偶数N1=34,其中开关管最大导通时间Tcn=9μs,控制器输出频率f=45kHZ。按照原边34匝,副边8匝绕制变压器,在变压器的绕制过程中,为了减少变压器的漏感,要将原边绕组和副边绕组紧密耦合。
[p] 2.2 控制及驱动电路设计
采用SG3525集成PWM控制器作为控制芯片,它的外围电路简单。电路中的锯齿波生成电路由RT、CT和内部电路组成,本设计取CT=4700pF,RT=3.3kΩ,RD=100Ω,经计算振荡器输出频率是90kHz,PWM输出频率定为45kHz。软启动电容接入端(引脚8)接一个lμF的软启动电容。只有软启动电容充电使引脚8处于高电平时,SG3525才开始工作。
系统中的基准比较调节电路则由基准引脚Vref、同相输入端及外围电阻构成。2脚的电压固定值接近5V。SG3525的l、2、9脚及其外围电路构成了PI调节器,它的输出与5脚锯齿波和软启动电容一起可控制PWM控制器以产生方波。它的输出级ll、14脚输出两路互补的PWM波,采用图腾柱式结构,灌拉电流能力超过200mA,可以直接驱动MOSFET管,只需加一门级电阻即可。在本设计选用的是IR公司生产的IRF630。其具体设计电路如原理图中所示。
2.3 反馈补偿电路设计
为了确保输出的稳定,在+5V上引入反馈,采用2.5~36V可调式精密并联稳压器TL43l作为稳压器件。TL43l是德州仪器公司生产的一款有良好热稳定性的三端可调分流基准源。它的输出电压可用两个电阻任意设置到Vref(2.5V)到36V范围内。该器件的典型动态阻抗为0.2Ω。用它来构成外部误差放大器,再与光耦组成隔离式反馈电路。为了将连续变化的输出迅速反馈,需采用线性光耦,如PC817。PC817不仅可以起到反馈作用,还可以起到隔离作用,当PC817二极管正向电流在3mA左右变化时,三极管的集一射极电流在4mA左右变化,而集一射极电压在很宽的范围内线性变化,因而比较符合SG3525的控制要求。
当+5V输出电压升高时,经R27、R28分压后得到的取样电压,就与TL43l中的2.5V带隙基准电压进行比较,并在阴极上形成误差电压,使LED的工作电流发生变化,再通过光耦PC817去改变SG3525 1脚的电压大小,从而改变9脚电流大小,最后调节,再通过光耦PC817使反馈电压增大,SG3525的1脚输入端电压升高,经SG3525内部电路后ll、14的输出占空比减小,使+5V维持稳定。
2.4 输出电路设计
在负载电流相同的条件下,全波和倍流整流电路中二极管的总通态损耗比全桥整流电路小一半,这就意味着在输出电压相同,且其它损耗相当的情况下,全波和倍流整流电路的效率会较高。在低压输入电路中,二极管通态损耗占电路总损耗很大比例,通常在输入电压较低的情况下(小于100V)采用全波电路比较合适,因此本设计采用整流器件MBR20100,其管压降小,可提高效率,二极管两端采用RC吸收电路,抑制二极管的反向瞬态电压,高频电压经其整流后由滤波电容C13滤波,再经磁珠L1组成低通滤波器向负载输出,C14可降低交流纹波。输出电路设计如原理图所示。
3 实验波形和实验数据
图4是满载时输出波形,从图中可以看出,满载时+5V。输出比较稳定且纹波比较小。图5是直流输入30V、满载输出时MOSFET漏一源极电压波形(衰减lO倍后),可以看出此时占空比最大约为45%。
![]() |
![]() |
为了验证该系统的稳定性,实验中记录了不同负载下的输出电压值和不同输入下输出电压值如表1和表2所示。
![]() |
4 结束语
本文介绍了基于控制集成芯片SG3525的推挽式DC—DC直流变换器的系统结构设计方案,特别适用于低压输入的场合。整个系统所占用的PCB板面积很小,可直接做在单板系统上, 为绝大多数单板系统提供足够的电能。经实验证明,它结构简单,性能可靠,成本低廉,而且重量轻、体积小,具有很大的实用潜力。
射频工程师养成培训教程套装,助您快速成为一名优秀射频工程师...
天线设计工程师培训课程套装,资深专家授课,让天线设计不再难...
上一篇:便携式串联电池组电压检测系统
下一篇:电力机车辅助电源系统的分析与比较
射频和天线工程师培训课程详情>>











