- 易迪拓培训,专注于微波、射频、天线设计工程师的培养
峰值采样电路在涡轮叶片温度检测系统中的应用
录入:edatop.com 点击:
1 引言
随着航天航空、汽车制造业的发展,为提高发动机的功率和推力,需要尽可能提高涡轮入口温度,进而关系到涡轮叶片工作时的表面温度。目前国外新型的航空燃气涡轮发动机涡轮前的温度已达到1 811~2 144 K,炽热的燃气直接与涡轮叶片接触,涡轮叶片需承受很高的热负荷,然而,涡轮人口温度受叶片材料限制,金属材料的强度随温度的升高而降低,因此不允许涡轮叶片在超温状态下工作,所以需要精确而快速地实时监测涡轮叶片温度。
2 峰值采样电路原理
涡轮叶片的温度场表现为沿叶片弦向中间高、两边低的曲线形式,如图1所示。
涡轮叶片高速旋转,可将其弦向温度曲线近似看作正弦曲线。为准确找出每个叶片温度的最大值,可仅在温度信号到达峰值的瞬间对其采样,得到温度最大值,这种方法称为峰值采样。因为在一个周期内只采样一次(在峰值点),并直接得到温度最大值,无需复杂运算,所以峰值采样速度较快。
3 峰值采样电路设计
峰值采样电路通常由采样/保持器和比较器组成。如图2所示。LF398是采样/保持器,CMP是比较器,CAP是保持电容。当Vi>Vo时,V1为高电平,并控制LF398采样;当经过峰值后,Vi<Vo,此时V1为低电平,使LF398处于保持状态,此时VO不变,即峰值被保持。
实验证明此电路应用于被测信号小于10 kHz的系统效果较好,由于被测温度信号在30 kHz以上。频率较高。该峰值采样电路已不再适用,主要原因一是其保持时间太短,要求A/D转换器转换速度快,改用高速A/D转换器又不经济:二是对于峰值时刻与控制脉冲跳变时刻的偏移无法调节。这种电路用于较低频率(10 kHz以下)系统效果较好,但随着频率的升高,偏移就越大。
基于以上原因,对该电路进行改进,给出一种由集成和分立元件组合的跨导型峰值采样电路,如图3所示。
图3中,G是跨导运算放大器,B是跟随器,CAP是保持电容。峰值采样利用二极管的单向导电性和电容器的存储作用构成的,当脉冲信号到来时,如果模拟输入信号的幅度Vi大于A2的输出幅度,则A1输出高电平,并通过二极管对电容器CAP充电。只有当A2的输出上升到和模拟输入值相等时,A1的输出为低电平,则CAP才停止通电。这时电容CAP将保持输入电压值。
针对电压型峰值采样电路的缺点,提出由跨导运算放大器代替电压型中的一般运算放大器。
跨导运算放大器又称"OTA"。由场效应管构成,具有输入电阻高、噪声小、功耗低、没有二次击穿现象、动态范围大的特点。它将电压输入变为电流输出,并通过外加偏压控制运算放大器的工作电流。使其输出电流在较大的范围内变化,具有电流输出范围宽、转换速率高等特点,且无需外接电流源提供静态回路。利用高速比较器直接比较保持信号与输入脉冲来产生峰值信号。
4 电路分析及讨论
对于跨导运算放大器的输出电流有:
式中,g为跨导,当在峰值电压时,vi-vo。趋向于零,电流i也趋向于零,即在tL(回路时间,指信号从输入到反馈回来的时间)的时间内,电流i由最大向零变化。过冲也随之变小。
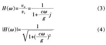
同样,计算该电路的频率特性。
则系统电压转移函数为:
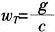
电路的转折频率为
此电路只有一个极点。
由以上计算可知,跨导型峰值采样解决了电压型峰值采样的两个缺点,如图4所示,提高了峰值采样的性能。实际电路的调试结果也证明了这一点。CA3080是一种单片集成跨导运算放大器,具有电流输出范围宽、转换速率高等特点,且无需外接电流源提供静态回路。
具体电路如图5所示。图5电路中需注意C1值的选择,根据不同的通频带上限频率f所用的C1值是不同的。选择方法如下:
对于跨导运算放大器CA3080,其输出最大电流时典型正向跨导为g=10 ms,在理想情况下,该电路的通频带极宽,主要原因在于OTA的输出阻抗极大(约107Ω),可近似认为其输出电流与负载无关。
5 结束语
该峰值采样电路线性较好,不会产生过冲,通过调节电容C1的值,可调节带宽。电路中的跟随器LM358N输入阻抗大,输出阻抗小,起到阻抗匹配的作用。而且无需增设温度补偿特性电路,使电路结构简单,易调试维护,可靠性和一致性较好。
编辑:博子
随着航天航空、汽车制造业的发展,为提高发动机的功率和推力,需要尽可能提高涡轮入口温度,进而关系到涡轮叶片工作时的表面温度。目前国外新型的航空燃气涡轮发动机涡轮前的温度已达到1 811~2 144 K,炽热的燃气直接与涡轮叶片接触,涡轮叶片需承受很高的热负荷,然而,涡轮人口温度受叶片材料限制,金属材料的强度随温度的升高而降低,因此不允许涡轮叶片在超温状态下工作,所以需要精确而快速地实时监测涡轮叶片温度。
2 峰值采样电路原理
涡轮叶片的温度场表现为沿叶片弦向中间高、两边低的曲线形式,如图1所示。
![]() |
涡轮叶片高速旋转,可将其弦向温度曲线近似看作正弦曲线。为准确找出每个叶片温度的最大值,可仅在温度信号到达峰值的瞬间对其采样,得到温度最大值,这种方法称为峰值采样。因为在一个周期内只采样一次(在峰值点),并直接得到温度最大值,无需复杂运算,所以峰值采样速度较快。
3 峰值采样电路设计
峰值采样电路通常由采样/保持器和比较器组成。如图2所示。LF398是采样/保持器,CMP是比较器,CAP是保持电容。当Vi>Vo时,V1为高电平,并控制LF398采样;当经过峰值后,Vi<Vo,此时V1为低电平,使LF398处于保持状态,此时VO不变,即峰值被保持。
![]() |
实验证明此电路应用于被测信号小于10 kHz的系统效果较好,由于被测温度信号在30 kHz以上。频率较高。该峰值采样电路已不再适用,主要原因一是其保持时间太短,要求A/D转换器转换速度快,改用高速A/D转换器又不经济:二是对于峰值时刻与控制脉冲跳变时刻的偏移无法调节。这种电路用于较低频率(10 kHz以下)系统效果较好,但随着频率的升高,偏移就越大。
基于以上原因,对该电路进行改进,给出一种由集成和分立元件组合的跨导型峰值采样电路,如图3所示。
![]() |
图3中,G是跨导运算放大器,B是跟随器,CAP是保持电容。峰值采样利用二极管的单向导电性和电容器的存储作用构成的,当脉冲信号到来时,如果模拟输入信号的幅度Vi大于A2的输出幅度,则A1输出高电平,并通过二极管对电容器CAP充电。只有当A2的输出上升到和模拟输入值相等时,A1的输出为低电平,则CAP才停止通电。这时电容CAP将保持输入电压值。
针对电压型峰值采样电路的缺点,提出由跨导运算放大器代替电压型中的一般运算放大器。
跨导运算放大器又称"OTA"。由场效应管构成,具有输入电阻高、噪声小、功耗低、没有二次击穿现象、动态范围大的特点。它将电压输入变为电流输出,并通过外加偏压控制运算放大器的工作电流。使其输出电流在较大的范围内变化,具有电流输出范围宽、转换速率高等特点,且无需外接电流源提供静态回路。利用高速比较器直接比较保持信号与输入脉冲来产生峰值信号。
4 电路分析及讨论
对于跨导运算放大器的输出电流有:
式中,g为跨导,当在峰值电压时,vi-vo。趋向于零,电流i也趋向于零,即在tL(回路时间,指信号从输入到反馈回来的时间)的时间内,电流i由最大向零变化。过冲也随之变小。
同样,计算该电路的频率特性。
![]() |
由以上计算可知,跨导型峰值采样解决了电压型峰值采样的两个缺点,如图4所示,提高了峰值采样的性能。实际电路的调试结果也证明了这一点。CA3080是一种单片集成跨导运算放大器,具有电流输出范围宽、转换速率高等特点,且无需外接电流源提供静态回路。
![]() |
具体电路如图5所示。图5电路中需注意C1值的选择,根据不同的通频带上限频率f所用的C1值是不同的。选择方法如下:
![]() |
对于跨导运算放大器CA3080,其输出最大电流时典型正向跨导为g=10 ms,在理想情况下,该电路的通频带极宽,主要原因在于OTA的输出阻抗极大(约107Ω),可近似认为其输出电流与负载无关。
5 结束语
该峰值采样电路线性较好,不会产生过冲,通过调节电容C1的值,可调节带宽。电路中的跟随器LM358N输入阻抗大,输出阻抗小,起到阻抗匹配的作用。而且无需增设温度补偿特性电路,使电路结构简单,易调试维护,可靠性和一致性较好。
编辑:博子
射频工程师养成培训教程套装,助您快速成为一名优秀射频工程师...
射频和天线工程师培训课程详情>>







