- 易迪拓培训,专注于微波、射频、天线设计工程师的培养
压电振动式发电机微电源智能控制应用电路的设计
录入:edatop.com 点击:
1 引 言
目前,随着MEMS技术的飞速发展和各国在微系统领域投资力度的加大,各种形式的微能源层出不穷。在不同的微器件和微系统中,如何充分合理地利用这些微能源为负载供应能量是亟待解决的问题之一,比如在工业自动控制,植入式医疗装置、无线网络传感器等领域,人为地定时换能加电,不仅浪费财力和物力,同时也造成病人的痛苦和设备的损耗。本文针对微能源输出功率极小但连续的特点,设计出一直新型的微功耗功智能电源管理控制电路,以把连续微量的电能加以储藏,在使用时再以较大功率间歇性输出以达到适用的目的。该文以压电振动式发电机为例,对系统电路设计进行说明。
2 压电振动式发电机的原理和输出特性
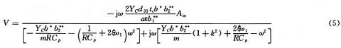
根据能量转换机理的不同,振动式发电机可以分成压电式、电磁式和静电式3类。其中压电振动式发电机因具有结构简单、能量密度大、易于微型化等优点,成为目前微型发电机研究的热点之一。图1是压电振动式悬臂梁压电发电机的示意图,悬臂梁、支座和质量块三部分构成发电机的主架结构。中间层金属层为上下压电材料压电层的公共电极,在上压电层的顶部和下压电层的底部有作为引出电极的金属薄膜PZT。质量块位于悬臂梁的自由端,悬臂梁的另一端固定在支座上。随着环境的振动,悬臂梁发生变形,由于正压电效应,从而将产生变化的电势差,为负载供电。当外界环境振动频率和悬臂梁固有频率相同时,将引起悬臂梁的共振,压电层应力和应变的变化最大,从而使发电机输出电压的变化达到最大,其双自由度模型如图2所示。
在上式中取ω=ω1,可得到共振时的发电机输出电压。
3 微功耗智能电源管理控制电路的设计
由式(5)可知,其压电振动式发电机输出功率主要由悬臂梁长度lb,质量块的质量m,加速度Y和振动频率ω决定。在实际应用中,其参数lb和m均为定值,此时发电机的输出功率就主要由ω和加速度Y决定。振动环境的振动频率为几十赫兹到几百赫兹,环境振动加速度在0.1~1 g范围内,因此压电振动式发电机的输出功率一般在十几微瓦到几百微瓦之间。
本文主要针对外接负载功耗大于压电振动式发电机产生的平均功率的模式。在该方案中,微电源部分由主发电机组和辅助发电机组成。主发电机组产生的交流信号,经过整流滤波电路和储能器后,通过电源控制电路给负载供电;辅助发电机用于对所有控制电路芯片供电,并实时把多余的电量补充到主回路中去。其电源管理控制电路系统原理框图如3所示,主要由主发电机组模块、辅助发电机模块、开关控制模块、补充控制回路和MOS开关组成。
电路所具有的特性:当储能器件的输出功率达不能满足负载功耗要求时MOS开关断开,储能器件处于完全储能状态,其漏电流为nA级,几乎为无泄漏式储能;当能量足以维持负载启动工作时,开关接通并提供一定时间的大功率输出。在开关打开时,辅助发电机除少量能量供给控制电路外,多出能量实时补充到储能元件上,在进一步提高输出功率的同时,也提高了能量的利用率。工作一段时间后,当发电量不足以维持负载最低功耗要求时,主回路MOS开关自动断开重新开始蓄积能量到下一次开启工作。该设计系统有效解决了负载如无线发射模块启动时,需要维持5~6 s 20 mA左右工作的大电流或间歇式发射所需毫安级电流与微型发电机微功率输出不足以使负载启动的矛盾。
为避免因相位的差异而损耗能量,多路发电机之间采用线性级联叠加的方案对储能器件充电。根据负载功耗的大小和主发电机输出功率的特点适当选择主发电机组的路数为储能器件供电。主发电机组产生的交流电经滤波整流后供给储能器件——超级电容器。一般电容的重复使用次数多,但能量密度小,电能的存储时间短;二次蓄电池的能量密度很高,但使用寿命太短;而超级电容比一般的常规电容容量大20~200倍的独特电容,使用寿命大大延长,且具有优良的脉冲充电性能及传统电容器所不具备的大容量存储性能。该设计在提高储能器件充电速度的同时;能够实时补充负载间隔发射所损耗的能量。如使用无线发射网络检测机器的振动,无线网络发射模块每发射1次电压下降大约10~15 mV,在正常情况下,每分钟发射1次。若发电机能够在这1 mm之内为储能器件提供不低于15 mV的充电电压,就能够维持该网络的持续运行。每次发射所损耗的电能将有发电机实时补充。
辅助发电机模块除给系统芯片功能外,还可在系统芯片稳定后通过补充回路向储能器件提供最大650 mA的实时补充电流,从而使由于负载在瞬间消耗掉能量而幅度大跌的储能器件的幅值得以很快的回升,其补充控制回路如图4所示。
在补偿的过程中,整个辅助回路一直处于正常工作状态,负载工作时,辅助发电机多出的功率实时补充到超级电容上进一步提高输出功率。
开关控制模块及MOS开关电路构成了整个控制电路的核心,如图5所示。
选用Maxim公司的ICL76系列双过压/欠压监测芯片。开关控制模块利用芯片里面的迟滞比较器,一方面监测超级电容两端的电压,另一方面作为辅助补充能量控制电路的控制信号,为保证系统工作的稳定性,采用负逻辑的链接形式。开启的上限阈值电压VU和关闭的下限阈值电压VL可根据负载工作条件自行设定。当储能器件的输出能满足负载需求即当主储能器的电压逐渐增大而小于比较器设定的上限阈值时,迟滞比较器输出高电平,通过开关控制电路控制MOS开关关断;当主储能器的电压达到上限阈值电平VU时,迟滞比较器输出低电平,通过开关控制电路控制电子开关接通;大功耗的负载会使储能器件的电压逐渐下降,只要没有下降到迟滞比较器设定的下限阈值VL时,迟滞比较器依然输出低电平,通过开关控制电路维持MOS开关的接通;一旦储能器件的电压下降到迟滞比较器设定的下限阈值VL时,迟滞比较器输出高电平,通过开关控制电路控制MOS开关关断。与此同时,在迟滞比较器输出为高电平时,辅助补充能量控制电路处于关断状态,辅发电机经整流滤波后的直流输出不对储能器件补充充电;在比较器输出为低高电平时,辅助补充能量控制电路接通,辅发电机经整流滤波后的直流输出直流电 压对储能器件进行用的要求,提出一种超低功耗的电源管理控制系统,主要有行充电。图4和图5分别为系统的子模块电路。
4 结 语
本文主要针对微电源如压电振动式发电机,非接触式电磁感应微型发电机等输出功率较小,一般不超过1 mw,但间隔性输出负载如汽车胎压监测系统TPMS的发射模块、机器故障振动监测无线传感器网络的发射模块等对能源的输出功率和瞬时电流要求都比较大,其电压幅值范围在2.0~4.50 V之间,瞬时电流不大于30mA的情况下,一般的整流、滤波和储能电路能满足实际应用的要求,提出了一种超低功耗的电源管理控制系统。主要由主发电机组、辅助发电机、整流滤波电路、MOS开关电路、能量存储电路、能量补充回路和控制电路构成,其静态工作电流为不大于12μA,能量损耗不大于40μw,输入开关电阻12~18 Ω。对于峰值不大于50 V的微电源可有效的控制使用。经过反复实验证明,对于当今高新技术发展的迫切需求和MEMS技术的重要研究方向之一的微电源的合理而充分的利用,有着广阔的应用前景和适用价值。
发布者:博子
目前,随着MEMS技术的飞速发展和各国在微系统领域投资力度的加大,各种形式的微能源层出不穷。在不同的微器件和微系统中,如何充分合理地利用这些微能源为负载供应能量是亟待解决的问题之一,比如在工业自动控制,植入式医疗装置、无线网络传感器等领域,人为地定时换能加电,不仅浪费财力和物力,同时也造成病人的痛苦和设备的损耗。本文针对微能源输出功率极小但连续的特点,设计出一直新型的微功耗功智能电源管理控制电路,以把连续微量的电能加以储藏,在使用时再以较大功率间歇性输出以达到适用的目的。该文以压电振动式发电机为例,对系统电路设计进行说明。
2 压电振动式发电机的原理和输出特性
根据能量转换机理的不同,振动式发电机可以分成压电式、电磁式和静电式3类。其中压电振动式发电机因具有结构简单、能量密度大、易于微型化等优点,成为目前微型发电机研究的热点之一。图1是压电振动式悬臂梁压电发电机的示意图,悬臂梁、支座和质量块三部分构成发电机的主架结构。中间层金属层为上下压电材料压电层的公共电极,在上压电层的顶部和下压电层的底部有作为引出电极的金属薄膜PZT。质量块位于悬臂梁的自由端,悬臂梁的另一端固定在支座上。随着环境的振动,悬臂梁发生变形,由于正压电效应,从而将产生变化的电势差,为负载供电。当外界环境振动频率和悬臂梁固有频率相同时,将引起悬臂梁的共振,压电层应力和应变的变化最大,从而使发电机输出电压的变化达到最大,其双自由度模型如图2所示。
![]() |
![]() |
![]() |
![]() |
在上式中取ω=ω1,可得到共振时的发电机输出电压。
3 微功耗智能电源管理控制电路的设计
由式(5)可知,其压电振动式发电机输出功率主要由悬臂梁长度lb,质量块的质量m,加速度Y和振动频率ω决定。在实际应用中,其参数lb和m均为定值,此时发电机的输出功率就主要由ω和加速度Y决定。振动环境的振动频率为几十赫兹到几百赫兹,环境振动加速度在0.1~1 g范围内,因此压电振动式发电机的输出功率一般在十几微瓦到几百微瓦之间。
本文主要针对外接负载功耗大于压电振动式发电机产生的平均功率的模式。在该方案中,微电源部分由主发电机组和辅助发电机组成。主发电机组产生的交流信号,经过整流滤波电路和储能器后,通过电源控制电路给负载供电;辅助发电机用于对所有控制电路芯片供电,并实时把多余的电量补充到主回路中去。其电源管理控制电路系统原理框图如3所示,主要由主发电机组模块、辅助发电机模块、开关控制模块、补充控制回路和MOS开关组成。
![]() |
电路所具有的特性:当储能器件的输出功率达不能满足负载功耗要求时MOS开关断开,储能器件处于完全储能状态,其漏电流为nA级,几乎为无泄漏式储能;当能量足以维持负载启动工作时,开关接通并提供一定时间的大功率输出。在开关打开时,辅助发电机除少量能量供给控制电路外,多出能量实时补充到储能元件上,在进一步提高输出功率的同时,也提高了能量的利用率。工作一段时间后,当发电量不足以维持负载最低功耗要求时,主回路MOS开关自动断开重新开始蓄积能量到下一次开启工作。该设计系统有效解决了负载如无线发射模块启动时,需要维持5~6 s 20 mA左右工作的大电流或间歇式发射所需毫安级电流与微型发电机微功率输出不足以使负载启动的矛盾。
为避免因相位的差异而损耗能量,多路发电机之间采用线性级联叠加的方案对储能器件充电。根据负载功耗的大小和主发电机输出功率的特点适当选择主发电机组的路数为储能器件供电。主发电机组产生的交流电经滤波整流后供给储能器件——超级电容器。一般电容的重复使用次数多,但能量密度小,电能的存储时间短;二次蓄电池的能量密度很高,但使用寿命太短;而超级电容比一般的常规电容容量大20~200倍的独特电容,使用寿命大大延长,且具有优良的脉冲充电性能及传统电容器所不具备的大容量存储性能。该设计在提高储能器件充电速度的同时;能够实时补充负载间隔发射所损耗的能量。如使用无线发射网络检测机器的振动,无线网络发射模块每发射1次电压下降大约10~15 mV,在正常情况下,每分钟发射1次。若发电机能够在这1 mm之内为储能器件提供不低于15 mV的充电电压,就能够维持该网络的持续运行。每次发射所损耗的电能将有发电机实时补充。
辅助发电机模块除给系统芯片功能外,还可在系统芯片稳定后通过补充回路向储能器件提供最大650 mA的实时补充电流,从而使由于负载在瞬间消耗掉能量而幅度大跌的储能器件的幅值得以很快的回升,其补充控制回路如图4所示。
![]() |
在补偿的过程中,整个辅助回路一直处于正常工作状态,负载工作时,辅助发电机多出的功率实时补充到超级电容上进一步提高输出功率。
开关控制模块及MOS开关电路构成了整个控制电路的核心,如图5所示。
![]() |
选用Maxim公司的ICL76系列双过压/欠压监测芯片。开关控制模块利用芯片里面的迟滞比较器,一方面监测超级电容两端的电压,另一方面作为辅助补充能量控制电路的控制信号,为保证系统工作的稳定性,采用负逻辑的链接形式。开启的上限阈值电压VU和关闭的下限阈值电压VL可根据负载工作条件自行设定。当储能器件的输出能满足负载需求即当主储能器的电压逐渐增大而小于比较器设定的上限阈值时,迟滞比较器输出高电平,通过开关控制电路控制MOS开关关断;当主储能器的电压达到上限阈值电平VU时,迟滞比较器输出低电平,通过开关控制电路控制电子开关接通;大功耗的负载会使储能器件的电压逐渐下降,只要没有下降到迟滞比较器设定的下限阈值VL时,迟滞比较器依然输出低电平,通过开关控制电路维持MOS开关的接通;一旦储能器件的电压下降到迟滞比较器设定的下限阈值VL时,迟滞比较器输出高电平,通过开关控制电路控制MOS开关关断。与此同时,在迟滞比较器输出为高电平时,辅助补充能量控制电路处于关断状态,辅发电机经整流滤波后的直流输出不对储能器件补充充电;在比较器输出为低高电平时,辅助补充能量控制电路接通,辅发电机经整流滤波后的直流输出直流电 压对储能器件进行用的要求,提出一种超低功耗的电源管理控制系统,主要有行充电。图4和图5分别为系统的子模块电路。
4 结 语
本文主要针对微电源如压电振动式发电机,非接触式电磁感应微型发电机等输出功率较小,一般不超过1 mw,但间隔性输出负载如汽车胎压监测系统TPMS的发射模块、机器故障振动监测无线传感器网络的发射模块等对能源的输出功率和瞬时电流要求都比较大,其电压幅值范围在2.0~4.50 V之间,瞬时电流不大于30mA的情况下,一般的整流、滤波和储能电路能满足实际应用的要求,提出了一种超低功耗的电源管理控制系统。主要由主发电机组、辅助发电机、整流滤波电路、MOS开关电路、能量存储电路、能量补充回路和控制电路构成,其静态工作电流为不大于12μA,能量损耗不大于40μw,输入开关电阻12~18 Ω。对于峰值不大于50 V的微电源可有效的控制使用。经过反复实验证明,对于当今高新技术发展的迫切需求和MEMS技术的重要研究方向之一的微电源的合理而充分的利用,有着广阔的应用前景和适用价值。
发布者:博子
射频工程师养成培训教程套装,助您快速成为一名优秀射频工程师...
射频和天线工程师培训课程详情>>








