- 易迪拓培训,专注于微波、射频、天线设计工程师的培养
电磁兼容外场测试中的干扰抵消技术
录入:edatop.com 点击:
引言
由于大型电子设备在进行电磁兼容(EMC)性考核时,很难进入屏蔽室进行而只能在室外开阔场地进行,从而难以控制测试时的环境背景噪声电平,使测试结果出现很大误差。如何区分背景噪声信号,鉴别出受试设备发出的被测信号一直是EMC测试中的一个难题。在各种不同的背景信号中,同频干扰与被测信号无法通过频谱进行分离,本文的目的就是想用空间分离技术,通过适当的测试方法,对于任意方向的同频干扰信号进行有效的拟制,从而得到有效的测试结果。
消除同频干扰的基本方法
合成场分析
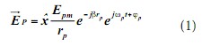
在图1所示的测试环境中,设待测信号与干扰信号均为线极化(在工程实际中,这样的假设是合理的),待测信号电场强度为:
由于大型电子设备在进行电磁兼容(EMC)性考核时,很难进入屏蔽室进行而只能在室外开阔场地进行,从而难以控制测试时的环境背景噪声电平,使测试结果出现很大误差。如何区分背景噪声信号,鉴别出受试设备发出的被测信号一直是EMC测试中的一个难题。在各种不同的背景信号中,同频干扰与被测信号无法通过频谱进行分离,本文的目的就是想用空间分离技术,通过适当的测试方法,对于任意方向的同频干扰信号进行有效的拟制,从而得到有效的测试结果。
消除同频干扰的基本方法
合成场分析
在图1所示的测试环境中,设待测信号与干扰信号均为线极化(在工程实际中,这样的假设是合理的),待测信号电场强度为:


|
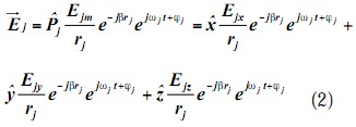
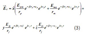
图1 电磁兼容性测试环境示意图 式中,Ejm是干扰信号源处的电场强度值,Ejx,Ejy,Ejz分别是,,方向的分量;rj是干扰信号到测试点的距离;是干扰信号的初始相位;是干扰信号角频率。 根据矢量叠加原理,则测试点处的合成电场强度
|









