- 易迪拓培训,专注于微波、射频、天线设计工程师的培养
一个高性能带隙基准电压源的设计
基准电压是集成电路设计中的一个重要部分,特别是在高精度电压比较器、数据采集系统以及A/D和 D/A转换器等中,基准电压随温度和电源电压波动而产生的变化将直接影响到整个系统的性能。因此,在高精度的应用场合,拥有一个具有低温度系数、高电源电压抑制的基准电压是整个系统设计的前提。
传统带隙基准由于仅对晶体管基一射极电压进行一阶的温度补偿,忽略了曲率系数的影响,产生的基准电压和温度仍然有较大的相干性,所以输出电压温度特性一般在20 ppm/℃以上,无法满足高精度的需要。
基于以上的要求,在此设计一种适合高精度应用场合的基准电压源。在传统带隙基准的基础上利用工作在亚阈值区MOS管电流的指数特性,提出一种新型二阶曲率补偿方法。同时,为了尽可能减少电源电压波动对基准电压的影响,在设计中除了对带隙电路的镜相电流源采用cascode结构外还增加了高增益反馈回路。在此,对电路原理进行了详细的阐述,并针对版图设计中应该的注意问题进行了说明,最后给出了后仿真结果。
l 电路设计
1.1 传统带隙基准分析
通常带隙基准电压是通过PTAT电压和CTAT电压相加来获得的。由于双极型晶体管的基一射极电压Vbe呈负温度系数,而偏置在相同电流下不同面积的双极型晶体管的基一射极电压之差呈正温度系数,在两者温度系数相同的情况下将二者相加就得到一个与温度无关的基准电压。
传统带隙电路结构如图1所示,其中Q2的发射极面积为Q1和Q3的m倍,流过Q1~Q3的电流相等,运算放大器工作在反馈状态,以A,B两点为输入,驱动Q1和Q2的电流源,使A,B两点稳定在近似相等的电压上。

![]()

然而,标准工艺下晶体管基一射极电压Vbe随温度的变化并非是纯线性的,而且由于器件的非理想性,输出电压也会受到电源电压波动的影响。其中,曲线随温度的变化主要取决于Vbe自身特性、集电极电流和电路中运放的失调电压,Vbe自身特性对曲率的影响最为严重,所以要获得高性能的带隙基准电压,就必须对曲线的曲率进行校正。在本设计中,针对Vbe的高阶温度特性进行了补偿,并通过引用共源共栅和反馈电路来优化带隙电路的电源电压抑制特性。
1.2 高性能带隙基准电路
该设计的完整电路如图2所示,M6~M16电容C和电阻R4构成运算放大器;M1~M5为放大器提供所需要的偏置电流;基本带隙部分由M13~M18, Q1~Q3以及R1和R2组成;M19,M20,R3构成二次曲率补偿电路,M21~M28构成反馈放大反馈电路抑制电源波动,M29~M31完成电路的启动功能;最后由pwr实现电路的开关状态。



当MOS管的栅一源电压接近于开启电压时,该MOS管就工作在亚阈值区。此时,流过管子的电流与栅一源电压呈指数关系,其电流公式如下:


![]()
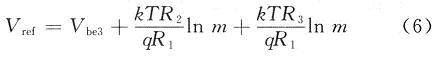
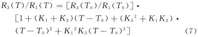
由式(4)、式(6)~式(8)整理得:
![]()
由于m1/n>1,所以R3和R2的温度系数差异得到了指数关系的放大,从而对Vbe3的二阶温度系数有了更好的补偿效果,而且该特性只需要1个N型MOS管实现,相对于文献[3]来说,节省了电阻的占用面积,很适合在工程上使用。
1.3 提高电源抑制电路与启动电路分析
原则上来说,传统的带隙电路本身具有较好的电源抑制特性,其输出电压几乎与电源电压无关,但是目前工程上使用的MOS管大部分为亚微米器件,因而不可避免地产生二级效应(主要是沟道长度调制效应和体效应),对流过MOS管的电流I产生影响。所以要得到一个精准的基准电压,必须引入额外电路,提高电路的电源电压抑制能力。
在该设计中,除了采用cascode结构外,额外增加了M21~M28来实现对电源波动的抑制,如图2所示。带隙的核心电路电压由V1提供,当电源电压 VDD升高时,V1电平也将升高,同时由M21~M24感应运放两个输入节点电位差并将其进一步放大,提升了M25的栅极电位,同时通过M26镜相电流的增大,使流过M25的电流增大,降低了M25的等效输出电阻,最终使V1电平降低。显然放大器的增益越高,对电源波动的抑制越好。
由于电路存在两个偏置点,为了保证电路的正常工作,加入了M29~M31的启动电路。当电源电压接通时,可能出现各支路电流为零的情况,电路处于非正常工作状态,此时输出电压也为0。由于M30和M31组成的反相器使M29的栅极电位变为高,故M29将导通并向电路注入电流,使电路启动恢复正常工作状态,此时电路输出电压为高,M29栅极电位变为0,M29关断,所以对电路正常工作不会产生影响。电路中pwr主要控制电路的开关状态,当pwr接高/低电平时,电路处于关/开状态。
2 版图设计
最终版图设计如图3所示,在该设计中版图设计需要注意的主要问题是保证器件之间的匹配和对称,匹配的器件布局要紧凑,并尽可能保证周围环境的一致性,例如,运放的输入差分对M8和M9、同材料电阻R1和R2等。因为运放的失调对电路的性能影响较大。而电阻的失配也会对输出电压的温度特性产生影响。另外,构成电流镜的MOS管之间保持对称性在该设计中也是至关重要的。为了抑制沟道长度调制效应,在该设计中, MOS管的沟道长度取工艺允许的最小长度的两倍。最后,在面积和性能之间取一个折衷关系,将Q1与Q2的面积之比定为8:1。

3 后仿真模拟结果
该电路设计主要采用TSMC CMOS 0.18/μm工艺,使用Cadence Spectre进行仿真,并用calibre完成版图的参数提取。
后仿真输出电压随温度的变化如图4所示。从图中可以看到,在温度-40~+120℃范围内,电压仅变化O.39 mV,温度系数约为3.3 ppm/℃。基准电压随电源电压的变化如图5所示。电源电压从2.7~3.3 V变化范围内,输出的基准电压变化在18μV左右。


4 结 语
采用0.18μm标准CMOS工艺设计了一个应用于高精度要求场合的基准电压源,采用一种新的二阶补偿方法对传统带隙进行了改进,并加入反馈电路来提高电路的电源电压抑制特性。结果表明,输出电压的温度系数仅为3.3 ppm/℃,在电源电压2.7~3.3 V波动范围内,输出电压波动为18μV,而且电路的二阶补偿部分仅用了3个器件,节省了设计面积,很适合实际工程的使用,具有很大的实用价值。
射频工程师养成培训教程套装,助您快速成为一名优秀射频工程师...
天线设计工程师培训课程套装,资深专家授课,让天线设计不再难...
上一篇:一种快速响应LDO环路设计
下一篇:安森美半导体为上网本提供优化电源解决方案

