- 易迪拓培训,专注于微波、射频、天线设计工程师的培养
电网谐波的产生及其检测方法分析
录入:edatop.com 点击:
0 引 言
随着现代电力电子技术的飞速发展,各种电力电子装置在电力系统、工业、交通等各种领域得到广泛应用,但由于电力电子装置是一种非线性时变拓扑负荷,其产生的谐波和无功注入电网,会使设备容量和线路损耗增加,造成发配电设备利用率的下降,影响供电质量,对电力系统的安全稳定运行构成潜在威胁。目前,谐波污染、电磁干扰和功率因子降低已成为电力系统的三大公害,因此,研究和分析谐波产生的原因,为抑制电力系统的谐波干扰提供好的检测方法,对提高电网运行质量满足用户需求具有重要的实际意义。
1 谐波产生的原因
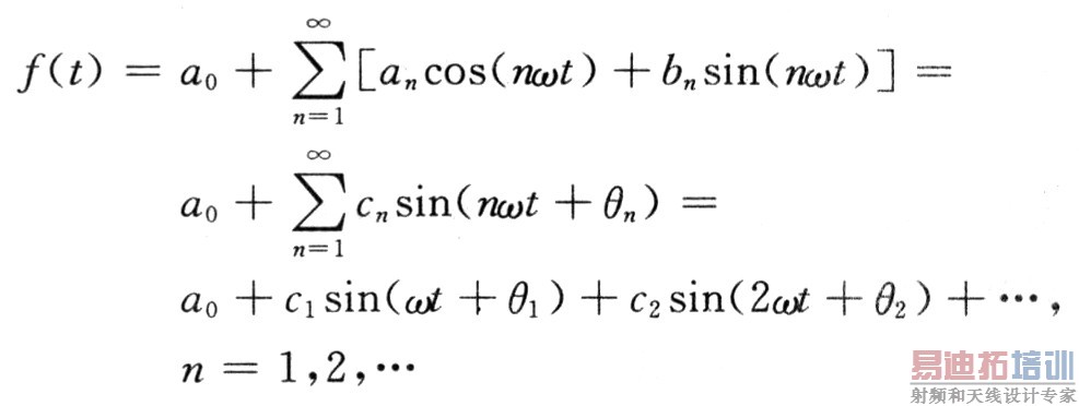
在电力系统中,电压和电流波形理论上应是工频下的正弦波,但实际的波形总有不同的非正弦畸变。从数学的角度分析,任何周期波形都可以被展开为傅里叶级数,因此,对于周期T=2π/ω的非正弦电压μ(t)或电流i(t),在满足狄里赫利条件下可以展开成如下形式的傅里叶级数,即:
公用电网中的谐波产生原因主要和以下两方面有关:
(1)电源本身以及输配电系统产生的谐波。由于发电机三相绕组在制作上很难做到绝对对称,铁心也很难做到绝对均匀一致等制造和结构上的原因,使得电源在发出基波电势的同时也会产生谐波电势,但由于其值很小,一般在分析电力系统谐波问题时可以忽略。在输配电系统中则主要是变压器产生谐波,由于其铁芯饱和时,磁化曲线呈非线性,相当于非线性器件,饱和程度越深波形畸变也就越严重,再加上设计时出于经济性考虑,使磁性材料工作在磁化曲线的近饱和区段,从而产生谐波电流。电源和输配电系统虽然产生谐波,但这两方面产生的谐波所占的比例一般都很小。
(2)电力系统负荷端大量的大功率换流设备和调压装置的广泛应用产生的谐波,如荧光灯、电弧炉、变频设备、家用电器等。这些用电设备具有非线性特征,即使供给的是标准的正弦波电压,也会产生谐波电流注入系统,给电网造成大量的谐波,甚至会因为参数配置问题使得局部区域产生放大,由用电设备产生的谐波所占比例很大,是电网主要的谐波源。
2 谐波对电力系统的危害
谐波电流和谐波电压的存在,对公用电网造成了很大的污染,破坏了用电设备所处的环境,容易导致一系列的故障和事故,严重威胁着电力系统的安全稳定运行。谐波的危害是多方面的,主要表现在以下几个方面:
(1)谐波会引起谐振和谐波电流的放大为了补偿负载的无功功率,提高功率因数等,常会在系统中装设各种用途的电容器,工频下,电容器的容抗比系统的感抗大得多,不会发生谐振。但当电网存在谐波时,对谐振频率来说,系统感抗大大增加而容抗大大减小,就有可能产生谐振,谐振会使谐波电流放大几倍甚至几十倍,使电容器出现过电流与过负荷,温度增高,易导致电容器等设备被烧毁。统计数据显示,在谐波引起的事故中有约75%是电容器和与之串联的电抗器被烧毁。
(2)谐波影响系统的稳定运行和电网的供电质量在电力系统中,一般都使用各种继电保护装置和自动控制装置来保证在故障情况下线路与设备的安全,而谐波会对这些装置产生干扰,造成误动或拒动,严重威胁系统的稳定与安全运行。另外,在三相四线制配电网供电时,由于荧光灯、调光灯、计算机等负载会产生大量的奇次谐波,尤以3次谐波含量较多,使相线上3的整数倍谐波在中性线上叠加,导致中性线上电流超过相电流造成过负荷。而且,谐波电流的存在,增加了电网中发生谐振的可能性,极易产生很大的过电压和过电流,不仅引发事故,还增加附加损耗,降低供电效率和设备利用率等。
(3)谐波影响各种电气设备和电子设备的正常工作如对于电动机会引起附加损耗,降低效率,引起电动机过热,并且当谐波电流频率接近定子等零部件的固有振动频率时,还会使电动机产生强烈的机械振动,发出很大的噪声。对于电力变压器,谐波会使铜耗、铁耗增大,引起局部过热,使变压器噪声增大。而且,谐波干扰会产生多个过零问题,影响电子装置和控制电路的正常运行,计算机等工业电子设备的功能也会因为谐波干扰产生失真而遭到破坏。
另外,谐波还会对通信系统造成干扰,产生噪声,降低通信质量,影响仪表等设备的精度,导致计量混乱,减少设备使用寿命等各种严重危害。
3 谐波的检测和分析方法
对电力系统谐波问题的研究涉及面很广,如谐波源分析、谐波检测、畸变波形分析、谐波抑制等,其中很重要的一个方面就是谐波的检测,它是解决其他谐波问题的基础。但由于电力系统的谐波受到随机性、非平稳性、分布性等多方面因素影响,要进行实时准确的检测并不容易,因此,随着交流电力系统的发展,也逐渐形成了多种谐波检测方法,如模拟滤波、基于傅氏变换的频域分析法、基于瞬时无功功率理论的检测方法、小波变换、神经网络等。
3.1 模拟滤波和基于傅氏变换的频域分析法
模拟滤波器方法和基于傅氏变换的频域分析法都是基于频域理论,属于早期的谐波检测方法。模拟滤波器法有两种,一种是通过滤波器滤除基波电流分量从而得到谐波电流分量;另一种是用带通滤波器得出基波分量,再与被检测电流相减后得到谐波电流分量。这种方法实现原理和电路结构简单,能滤除一些固有频率的谐波,易于控制,但误差大,实时性差,受外界环境影响较大,参数变化时检测效果明显变差。
基于傅氏变换的频域分析法根据采集到的一个周期的电流值(或电压值)进行计算,得到该电流所包含的谐波次数以及各次谐波的幅值和相位系数,将需要抵消的谐波分量通过傅里叶变换器得出所需的误差信号,再将该误差进行傅里叶反变换,即可得补偿信号。这种方法精度高,使用方便,但需要一定的时间采样并且要进行两次变换,计算量大,检测时间较长,检测结果实时性不好,大多用于谐波的离线分析。如果需要提高实时性,可以利用数字锁相同步采样法使信号频率和采样频率同步(如图1所示),通过图中的相位比较器把采样信号的相位和频率与锁相环输出的同步反馈信号进行比较,再将其输出经滤波后控制压控振荡器的频率,直到输入频率和反馈频率同步为止,然后锁定并跟踪输入信号频率的变化,保持同步,并用输出的同步信号去控制采样和加窗,从而获得较好的实时性。
3.2 基于瞬时无功功率理论的检测方法
瞬时无功功率理论是日本学者赤木泰文等人于1983年最先提出的基于时域的一种理论,以瞬时有功功率p和瞬时无功功率q为基础,即p-q理论。该理论是在瞬时值的基础上定义的,突破了传统功率理论的平均值意义,不仅适用于正弦波,也适用于非正弦波的情况。它的基本原理是将三相瞬时电压电流经旋转、正交坐标变换,转换到两相坐标中,根据两相瞬时电压电流合成为旋转电压矢量和电流矢量并经投影得到三相电路瞬时有功电流和瞬时无功电流,进而得到瞬时有功功率和无功功率,再经过高次谐波分离和反变换,从而得到谐波电流分量。但这种计算方法对于产生畸变的三相电压将存在较大误差,不能准确地检测出各次谐波,此时,可以使用改进的ip-iq法,如图2所示。
此外,另一种改进的基于同步旋转坐标变换的d-q法也可以在电网电压不对称、波形畸变的情况下精确地检测出谐波电流。基于瞬时无功功率理论的检测方法原理简单,动态响应速度快,延时小,具有较好的实时性,既能检测谐波又能补偿无功功率。而且,在此基础上又提出了广义的瞬时无功功率理论并进人工程应用。目前,基于瞬时无功功率理论的检测方法已成为总谐波实时检测的主要方法,也是有源电力滤波器中应用最广的一种谐波检测方法。
3.3 基于小波变换的检测方法
作为调和分析的工作结晶,小波分析正成为近年来研究的热门领域,广泛应用于信号处理、语音识别与合成、机器视觉、机械故障诊断与监控等科技领域,它可以用来替换传统使用傅里叶分析的地方,在时域和频域同时具有良好的局部化性质,克服了傅里叶变换在非稳态信号分析方面的缺点,尤其适合突变信号的分析与处理。由于小波分析能计算出某一特定时间的频率分布并把各种不同频率组成的频谱信号分解为不同频率的信号块,因此可以通过小波变换来较准确地求出基波电流,最终得到谐波分量。当前小波分析在谐波检测中的应用研究成果主要有:
(1)基于小波变换的多分辨分析。把信号分解成不同的频率块,低频段上的结果看成基波分量,高频段为各次谐波,利用软件检测、跟踪谐波变化。
(2)将小波变换和最小二乘法相结合来代替基于卡尔曼滤波的时变谐波跟踪方法,它将各次谐波的时变幅值投影到正交小波基张成的子空间,然后利用最小二乘法估计其小波系数,将时变谐波的幅值估计问题转换成常系数估计问题,以达到较快的跟踪速度。
(3)利用小波变换的小波包具有将频率空间进一步细分的特性,以及电力系统中产生的高次谐波投影到不同的尺度上,会明显地表现出高频、奇异高次谐波信号的特性进行谐波分析。
(4)通过对含有谐波信号进行正交小波分解,分析原信号的各个尺度的分解结果,达到检测各种谐波分量的目的,从而具有快速的跟踪速度。
小波变换的理论和应用研究时间还不长,在谐波测量方面仍然存在着诸多不完善的地方,在实际现场中的应用尚有待进一步研究。
3.4 基于神经网络的检测方法
人工神经网络技术自从面世后发展非常迅速,并且随着神经网络的发展,在电力系统中的应用也日益深入,如负荷预测、优化调度、谐波检测与预测等,并在工程应用上取得一些较好成效。基于神经网络的检测方法主要涉及模型的构建、样本的确定和算法的选择,利用神经网络实现谐波和无功电流的检测对周期性及非周期性电流都具有良好的快速跟踪能力,对高频随机干扰也有较好的识别能力。
和傅里叶变换、小波变换相比,基于神经网络的检测方法对数据流长度的敏感性较低,而检测精度较高,对各次谐波的检测精度一般不低于这两种变换,能得到较满意结果。另外,基于神经网络的检测方法实时性强,可以同时实时检测任意整数次谐波;而且可以使用随机模型的处理方法对信号源中的非有效成份当作噪声处理,克服噪声等非有效成份的影响,抗干扰性好。
以上几种主要的谐波检测方法中,基于瞬时无功功率理论的检测方法即能检测谐波又能检测无功功率,而且在电网电压对称没有畸变时,检测基波正序无功分量、不对称分量及高次谐波分量的实现电路简单,实时性好,广泛用于有源电力滤波器中的谐波检测,但这种方法是基于三相电路提出来的,不适用于单相电路。小波变换和神经网络都是近年来发展起来的谐波检测方法,研究和应用时间都很短,在实现的技术方面还需要不断完善,如基于神经网络的检测方法在神经网络的构造和样本训练上还没有找到规范通用的方法,但这并不阻碍它们的发展潜力,而且可以将小波变换和神经网络结合起来对谐波进行分析,随着研究的深入开展,这些新型的谐波检测方法也将会得到广泛的实际应用。
4 结 语
随着电力系统的复杂化以及对电能质量要求的日益提高,对谐波问题的研究也必将不断深入,寻找到更为有效可行的谐波检测方法及其实现技术则成为谐波治理的关键,而随着可编程逻辑器件、微处理器、DSP等器件的发展和广泛应用,也为小波变换、神经网络等新型谐波检测方法的工程应用研究带来契机,相信电网谐波检测技术也将不断完善,逐步实现高速度、高精度、智能化,为谐波分析提供实时准确的数据,提高供电质量。
随着现代电力电子技术的飞速发展,各种电力电子装置在电力系统、工业、交通等各种领域得到广泛应用,但由于电力电子装置是一种非线性时变拓扑负荷,其产生的谐波和无功注入电网,会使设备容量和线路损耗增加,造成发配电设备利用率的下降,影响供电质量,对电力系统的安全稳定运行构成潜在威胁。目前,谐波污染、电磁干扰和功率因子降低已成为电力系统的三大公害,因此,研究和分析谐波产生的原因,为抑制电力系统的谐波干扰提供好的检测方法,对提高电网运行质量满足用户需求具有重要的实际意义。
1 谐波产生的原因
在电力系统中,电压和电流波形理论上应是工频下的正弦波,但实际的波形总有不同的非正弦畸变。从数学的角度分析,任何周期波形都可以被展开为傅里叶级数,因此,对于周期T=2π/ω的非正弦电压μ(t)或电流i(t),在满足狄里赫利条件下可以展开成如下形式的傅里叶级数,即:

公用电网中的谐波产生原因主要和以下两方面有关:
(1)电源本身以及输配电系统产生的谐波。由于发电机三相绕组在制作上很难做到绝对对称,铁心也很难做到绝对均匀一致等制造和结构上的原因,使得电源在发出基波电势的同时也会产生谐波电势,但由于其值很小,一般在分析电力系统谐波问题时可以忽略。在输配电系统中则主要是变压器产生谐波,由于其铁芯饱和时,磁化曲线呈非线性,相当于非线性器件,饱和程度越深波形畸变也就越严重,再加上设计时出于经济性考虑,使磁性材料工作在磁化曲线的近饱和区段,从而产生谐波电流。电源和输配电系统虽然产生谐波,但这两方面产生的谐波所占的比例一般都很小。
(2)电力系统负荷端大量的大功率换流设备和调压装置的广泛应用产生的谐波,如荧光灯、电弧炉、变频设备、家用电器等。这些用电设备具有非线性特征,即使供给的是标准的正弦波电压,也会产生谐波电流注入系统,给电网造成大量的谐波,甚至会因为参数配置问题使得局部区域产生放大,由用电设备产生的谐波所占比例很大,是电网主要的谐波源。
2 谐波对电力系统的危害
谐波电流和谐波电压的存在,对公用电网造成了很大的污染,破坏了用电设备所处的环境,容易导致一系列的故障和事故,严重威胁着电力系统的安全稳定运行。谐波的危害是多方面的,主要表现在以下几个方面:
(1)谐波会引起谐振和谐波电流的放大为了补偿负载的无功功率,提高功率因数等,常会在系统中装设各种用途的电容器,工频下,电容器的容抗比系统的感抗大得多,不会发生谐振。但当电网存在谐波时,对谐振频率来说,系统感抗大大增加而容抗大大减小,就有可能产生谐振,谐振会使谐波电流放大几倍甚至几十倍,使电容器出现过电流与过负荷,温度增高,易导致电容器等设备被烧毁。统计数据显示,在谐波引起的事故中有约75%是电容器和与之串联的电抗器被烧毁。
(2)谐波影响系统的稳定运行和电网的供电质量在电力系统中,一般都使用各种继电保护装置和自动控制装置来保证在故障情况下线路与设备的安全,而谐波会对这些装置产生干扰,造成误动或拒动,严重威胁系统的稳定与安全运行。另外,在三相四线制配电网供电时,由于荧光灯、调光灯、计算机等负载会产生大量的奇次谐波,尤以3次谐波含量较多,使相线上3的整数倍谐波在中性线上叠加,导致中性线上电流超过相电流造成过负荷。而且,谐波电流的存在,增加了电网中发生谐振的可能性,极易产生很大的过电压和过电流,不仅引发事故,还增加附加损耗,降低供电效率和设备利用率等。
(3)谐波影响各种电气设备和电子设备的正常工作如对于电动机会引起附加损耗,降低效率,引起电动机过热,并且当谐波电流频率接近定子等零部件的固有振动频率时,还会使电动机产生强烈的机械振动,发出很大的噪声。对于电力变压器,谐波会使铜耗、铁耗增大,引起局部过热,使变压器噪声增大。而且,谐波干扰会产生多个过零问题,影响电子装置和控制电路的正常运行,计算机等工业电子设备的功能也会因为谐波干扰产生失真而遭到破坏。
另外,谐波还会对通信系统造成干扰,产生噪声,降低通信质量,影响仪表等设备的精度,导致计量混乱,减少设备使用寿命等各种严重危害。
3 谐波的检测和分析方法
对电力系统谐波问题的研究涉及面很广,如谐波源分析、谐波检测、畸变波形分析、谐波抑制等,其中很重要的一个方面就是谐波的检测,它是解决其他谐波问题的基础。但由于电力系统的谐波受到随机性、非平稳性、分布性等多方面因素影响,要进行实时准确的检测并不容易,因此,随着交流电力系统的发展,也逐渐形成了多种谐波检测方法,如模拟滤波、基于傅氏变换的频域分析法、基于瞬时无功功率理论的检测方法、小波变换、神经网络等。
3.1 模拟滤波和基于傅氏变换的频域分析法
模拟滤波器方法和基于傅氏变换的频域分析法都是基于频域理论,属于早期的谐波检测方法。模拟滤波器法有两种,一种是通过滤波器滤除基波电流分量从而得到谐波电流分量;另一种是用带通滤波器得出基波分量,再与被检测电流相减后得到谐波电流分量。这种方法实现原理和电路结构简单,能滤除一些固有频率的谐波,易于控制,但误差大,实时性差,受外界环境影响较大,参数变化时检测效果明显变差。
基于傅氏变换的频域分析法根据采集到的一个周期的电流值(或电压值)进行计算,得到该电流所包含的谐波次数以及各次谐波的幅值和相位系数,将需要抵消的谐波分量通过傅里叶变换器得出所需的误差信号,再将该误差进行傅里叶反变换,即可得补偿信号。这种方法精度高,使用方便,但需要一定的时间采样并且要进行两次变换,计算量大,检测时间较长,检测结果实时性不好,大多用于谐波的离线分析。如果需要提高实时性,可以利用数字锁相同步采样法使信号频率和采样频率同步(如图1所示),通过图中的相位比较器把采样信号的相位和频率与锁相环输出的同步反馈信号进行比较,再将其输出经滤波后控制压控振荡器的频率,直到输入频率和反馈频率同步为止,然后锁定并跟踪输入信号频率的变化,保持同步,并用输出的同步信号去控制采样和加窗,从而获得较好的实时性。

3.2 基于瞬时无功功率理论的检测方法
瞬时无功功率理论是日本学者赤木泰文等人于1983年最先提出的基于时域的一种理论,以瞬时有功功率p和瞬时无功功率q为基础,即p-q理论。该理论是在瞬时值的基础上定义的,突破了传统功率理论的平均值意义,不仅适用于正弦波,也适用于非正弦波的情况。它的基本原理是将三相瞬时电压电流经旋转、正交坐标变换,转换到两相坐标中,根据两相瞬时电压电流合成为旋转电压矢量和电流矢量并经投影得到三相电路瞬时有功电流和瞬时无功电流,进而得到瞬时有功功率和无功功率,再经过高次谐波分离和反变换,从而得到谐波电流分量。但这种计算方法对于产生畸变的三相电压将存在较大误差,不能准确地检测出各次谐波,此时,可以使用改进的ip-iq法,如图2所示。


此外,另一种改进的基于同步旋转坐标变换的d-q法也可以在电网电压不对称、波形畸变的情况下精确地检测出谐波电流。基于瞬时无功功率理论的检测方法原理简单,动态响应速度快,延时小,具有较好的实时性,既能检测谐波又能补偿无功功率。而且,在此基础上又提出了广义的瞬时无功功率理论并进人工程应用。目前,基于瞬时无功功率理论的检测方法已成为总谐波实时检测的主要方法,也是有源电力滤波器中应用最广的一种谐波检测方法。
3.3 基于小波变换的检测方法
作为调和分析的工作结晶,小波分析正成为近年来研究的热门领域,广泛应用于信号处理、语音识别与合成、机器视觉、机械故障诊断与监控等科技领域,它可以用来替换传统使用傅里叶分析的地方,在时域和频域同时具有良好的局部化性质,克服了傅里叶变换在非稳态信号分析方面的缺点,尤其适合突变信号的分析与处理。由于小波分析能计算出某一特定时间的频率分布并把各种不同频率组成的频谱信号分解为不同频率的信号块,因此可以通过小波变换来较准确地求出基波电流,最终得到谐波分量。当前小波分析在谐波检测中的应用研究成果主要有:
(1)基于小波变换的多分辨分析。把信号分解成不同的频率块,低频段上的结果看成基波分量,高频段为各次谐波,利用软件检测、跟踪谐波变化。
(2)将小波变换和最小二乘法相结合来代替基于卡尔曼滤波的时变谐波跟踪方法,它将各次谐波的时变幅值投影到正交小波基张成的子空间,然后利用最小二乘法估计其小波系数,将时变谐波的幅值估计问题转换成常系数估计问题,以达到较快的跟踪速度。
(3)利用小波变换的小波包具有将频率空间进一步细分的特性,以及电力系统中产生的高次谐波投影到不同的尺度上,会明显地表现出高频、奇异高次谐波信号的特性进行谐波分析。
(4)通过对含有谐波信号进行正交小波分解,分析原信号的各个尺度的分解结果,达到检测各种谐波分量的目的,从而具有快速的跟踪速度。
小波变换的理论和应用研究时间还不长,在谐波测量方面仍然存在着诸多不完善的地方,在实际现场中的应用尚有待进一步研究。
3.4 基于神经网络的检测方法
人工神经网络技术自从面世后发展非常迅速,并且随着神经网络的发展,在电力系统中的应用也日益深入,如负荷预测、优化调度、谐波检测与预测等,并在工程应用上取得一些较好成效。基于神经网络的检测方法主要涉及模型的构建、样本的确定和算法的选择,利用神经网络实现谐波和无功电流的检测对周期性及非周期性电流都具有良好的快速跟踪能力,对高频随机干扰也有较好的识别能力。
和傅里叶变换、小波变换相比,基于神经网络的检测方法对数据流长度的敏感性较低,而检测精度较高,对各次谐波的检测精度一般不低于这两种变换,能得到较满意结果。另外,基于神经网络的检测方法实时性强,可以同时实时检测任意整数次谐波;而且可以使用随机模型的处理方法对信号源中的非有效成份当作噪声处理,克服噪声等非有效成份的影响,抗干扰性好。
以上几种主要的谐波检测方法中,基于瞬时无功功率理论的检测方法即能检测谐波又能检测无功功率,而且在电网电压对称没有畸变时,检测基波正序无功分量、不对称分量及高次谐波分量的实现电路简单,实时性好,广泛用于有源电力滤波器中的谐波检测,但这种方法是基于三相电路提出来的,不适用于单相电路。小波变换和神经网络都是近年来发展起来的谐波检测方法,研究和应用时间都很短,在实现的技术方面还需要不断完善,如基于神经网络的检测方法在神经网络的构造和样本训练上还没有找到规范通用的方法,但这并不阻碍它们的发展潜力,而且可以将小波变换和神经网络结合起来对谐波进行分析,随着研究的深入开展,这些新型的谐波检测方法也将会得到广泛的实际应用。
4 结 语
随着电力系统的复杂化以及对电能质量要求的日益提高,对谐波问题的研究也必将不断深入,寻找到更为有效可行的谐波检测方法及其实现技术则成为谐波治理的关键,而随着可编程逻辑器件、微处理器、DSP等器件的发展和广泛应用,也为小波变换、神经网络等新型谐波检测方法的工程应用研究带来契机,相信电网谐波检测技术也将不断完善,逐步实现高速度、高精度、智能化,为谐波分析提供实时准确的数据,提高供电质量。
射频工程师养成培训教程套装,助您快速成为一名优秀射频工程师...
天线设计工程师培训课程套装,资深专家授课,让天线设计不再难...
上一篇:以水的基本现象谈电的基本概念
下一篇:中国标准故事系列之AVS:后来者成大器
射频和天线工程师培训课程详情>>

