1 引言 传统上,交流电压变换是通过变压器的电磁感应实现的。当变压器输入电压发生变化,其输出电压也要相应变化,有些电气设备还需要利用交流稳压器稳压,在某些场合,负载电压还要求能调节,这时宜用如自耦变压器之类的可调变压器。这些是大众常用的方法。但是随着现代社会的发展,地球资源的逐渐枯竭,为了实现人类社会的可持续发展,传统的采用大量铜、铁等贵金属的变压器将逐渐退出历史舞台,而由电力电子元件组成可调压AC/AC变换器来代替,本文正是从这方面来进行探讨。
过去曾经用双向晶闸管的相控方法,来做恒频下的降压调节,由于晶闸管是半控元件,这样的调节会造成很大的电压畸变,产生谐波、消耗无功功率和功率因数变差,所以仅在一些功率较小的装置上采用。
随着功率半导体技术的发展,功率半导体器件广泛应用于AC/AC变换器,主要有AC/DC/AC变换器、矩阵变换器、高频链AC/AC变换器和基于DC/DC拓扑的直接AC/AC变换器。AC/DC/AC变换器适用于同时需要变频、变压的场合,变换级数及所用元件多,而且其整流滤波环节对电网污染严重;矩阵变换器可实现高输入功率因数,但由于其开关数量多导致成本增高,同时它的控制策略也很复杂;高频交流环节AC/AC变换器也存在着成本高,控制复杂等问题。
为实现AC/AC电压变换,近年来人们己广泛利用全控型电力电子开关进行斩波(PWM)控制來实现[1,2]。
本文将对单相交流电压,通过单周控制实现AC/AC直接变换的斩控式调压进行研究,并且力图用的开关数量少,结构简单。
本文主要研究了在Buck电路上的AC/AC变换,它有调压功能,但调压范围是低于输入电压。由于采用单周控制,它的动态性能好、在负荷变化时有一定的稳压能力。所以说它兼有变压、调压、稳压的功能,应该指出该电路的滤波部分仍需用到电感器和电器,亦即仍需消耗部分金属资源,但由于斩波频率远远高于工频,体积、重量都不大。文中列出了串联型和并联型两种拓扑结构的AC/AC变换电路,主要针对后一种电路作了Matlab/Simulink仿真,证明这类电路是可行的,值得进一步研究,以完善附加保护、限制功能,使之达到实用阶段。
本文采用数字控制方法使变换器在一定的正弦输入电压范围内都能输出稳定的正弦电压,其结构简单,成本低廉,控制简便,有着广阔的发展前景。
2 拓扑结构与基本工作原理 单相AC/AC转换电路的拓扑可有多种[1,2],图1为该变换器典型主电路的拓扑图。(a)为串联式,即在交流电压正、负半波下,负荷电流到交流电源走同一支路。(b)为并联式,即交流电压正、负半波下,负荷电流到交流电源走不同支路。
|  图1 单相AC/AC变换主电路:(a)串联式,(b)并联式 串联式电路工作,当电压为交流正弦正半波,IGBT T1、T3工作,T2,T4被D2、D4旁路不工作。在正半波斩波期间,当T1开通时交流电压输出至负载,当T1关断时,T3导通起着续流作用,输至负载的电压为零。D1-D4 为二极管,L与C 组成 滤波电路,R 是负载。T1,T3的控制信号是互补的,负载上电压大小是靠每个开关周期T1导通的占空比来控制的。
在正弦负半波时 T2、T4工作,T1、T3被D1,D3旁路不工作,当T2开通时交流负电压加于负载,T2关断时,T4导通起着续流作用输至负载的电压为零。这里T2,T4的控制信号是互补的。
并联式电路工作,当电压为交流正弦正半波时,T1、T3工作,T2,T4断开,其工作原理和串联式电路类似。图2为单相AC/AC变换的并联式电路中的开关管T1,T2,T3,T4 驱动信号。假定交流电压的周期为T,显然前T/2为正弦正半波,T1,T3互补开通,后T/2为正弦负半波,T2,T4互补开通,图2中画的开关频率是4/T。
|  图2 单相AC/AC变换并联式电路T1-T4开关管驱动信号 实际采用的开关频率较高,但过高,如未用软开关技术,将导致开关损耗加大,开关频率太低,使输出滤波器尺寸变大,输出电压正弦度差。一般来讲开关频率宜大于电源频率的20倍较好。
3 单周控制原理
产生上述驱动信号的方法有多种,本文采用单周控制[3,4,5]。在上世纪90年代初,由华人学者Keyue Smedley提出的基于Buck电路的单周控制(One-cycle control)方法,它是一种新型非线性大信号的脉宽调制(PWM)控制,该方法控制电路简单,用的元件少而成本低,动态响应快,也能保证静态要求,特别在负荷变化时有一定的稳压作用。
单周控制可分为4类:⑴恒频PWM;⑵恒导通时间;⑶恒截止时间;⑷变化开关周期。实际使用中是以恒频,即恒开关周期的控制用得较多,其它三类控制产生的开关周期的谐波比较难以消除。因此本文也采用恒开关周期的单周控制。
|  图3 恒频PWM开关单周控制(OCC)原理图 恒频PWM开关单周控制原理如图3所示。假定开关SW的开关频率为fs=1/Ts,开关函数k(t)是 (1)
式中Ton为每开关周期的导通时间,Ts为开关周期,占空比d是开关导通时间和开关周期的比:d=Ton/Ts,它由图3上的参考信号Vref调制。由此可看出开关SW的输入量x(t)和输出量y(t)的关系为 y(t)=k(t)x(t) (2) 开关SW一旦由时钟脉冲clock通过RS触发器Q端接通,积分器也开始工作,当积分值Vint大於比较器另一输入Vref,RS触发器复位,其Q端输出变为"0",开关SW关断,积分器复位,一个开关周期结束,直到下一个时钟脉冲来到。
假设开关频率远大于输入信号x(t)频率,可认为在一个开关周期内x(t)为常数,则y(t)的平均值为: (3)
单周控制的本质是通过控制占空比d(t),使得x(t)在每周期的导通时间Ton内的积分等于参考量ref(t)在一个开关周期的积分Uref,亦即

从而使每个开关周期中,开关输出量的平均值y(t)等于参考量ref(t)的平均值。
4 仿真结构
图4为单周控制的单相AC/AC转换的并联式电路的Simulink仿真[6,7,8]总结构图。图4左上部为单相交流正弦电源U1,中部为电压正值时工作的开关管(IGBT)T1,T3,负值时工作的T2,T4,及滤波用电感L、电容C,右边为负荷电阻R1,R2及开关SW,定时器Timer,用以定时切除负载电阻R2。
| 图4 单周控制的单相AC/AC转换并联式Buck电路仿真总结构图 子模块DRIVEN用于产生控制T1至T4的驱动信号,如图5所示,子模块OCC用于实现单周控制,如图6所示。
| 图5 T1至T4的驱动信号子模块DRIVEN
|  图6 单周控制子模块OCC [p]
OCC由积分器1/S、比较器Compa,RS触发器,时钟脉冲clk等组成。积分器输入U0取自4个开关管公共联接点,它在Q脉冲到来,T1或T2开通时开始积分,其中开关Switch2 是用于控制电压正、负半波的,负半波信号Nh为"1"时,积分器输出经反号器仍为正值,当积分值大於给定参考值Vref,(这里用的是单相全波整流值)比较器Compa有输出,复位RS触发器时,(T1或T2关断)由!Q信号控制开关Switch将积分值清零,直到下一个时钟脉冲到来。
5 仿真实例
单相交流正弦电源220V,50Hz,滤波用电感L=2mH,电容C=90μF,负荷电阻R1=5Ω, R2=10Ω,开关频率fs=1200Hz。
T1,..T4的IGBT元件参数:Ron=0.001Ω,Lon=1μH,通态压降 =1V。吸收电路参数:Rs=100kΩ, Cs=∞。仿真首先从稳态开始,U1幅值等于,50Hz负载电阻为R1+R2=5+10=15(Ω)保持恒定,单周控制频率fs=1200Hz,再给出不同的参考值Ref [反比于开关频率,其范围为从(1→7)×10-4],可以得到不同的负载电压U2,其波形如图8(a)所示,基本正弦,但存在一些与开关频率的谐波,后者还取决于所用的滤波电路参数。图7表示了在不同参考值Ref下的负载电压的幅值U2m,可以看出两者基本上是线性关系,在附录A中给出了不同占空比d斩波下,AC/AC转换器输出电压的计算方法。
|  图7 负载的电压幅值U2m和参考值Ref的关系 应该指出,用本方法变压时,应尽量避免用在占空比d=0和d=1的两端,以免因控制不精确而出现非正常的、混乱的情况。图8是假定U1=220V,50Hz, 参考值Ref=0.0003,在t=0"时,接入负荷(负荷电阻15Ω),当t=0.03"时负荷突增(负荷电阻从15Ω突减至Ω5)下、单周控制的单相AC/AC转换并联式电路中各电气量变化的仿真结果。图8(a)为电源电压U1,电流I1和负荷电压U2的波形。可看出U1的幅值为311V,这里负荷电压U2的幅值约调整至180V,由于滤波参数不理想,负载电压存在一些与开关频率有关的谐波。电源电流I1基本正弦。在t=0.03"时负荷突增,U2有明显的下降。图8(b)是负荷电压U2和电流I2的波形,基本正弦,在t=0.03"时负荷电流突增导致U2下降。图8(c)、图8(d)分别是开关管T1、T3的集电极—发射极间电压Uce,和流过开关管的电流iT。
可看出在正弦电压正半波时,开关管T1和T3的驱动信号作用下导通,均有电流iT流过,两者在开关周期Ts内是互补的,而加在T1管上的Uce电压是正向脉冲型,因T1导通时只存在可忽略的导通电压降。注意这时加于T3的Uce电压是脉冲型的,但对T3讲,却是反向的。为清楚起见,图8(c)的右下角放大了Uce和iT的关系,表明iT有值瞬刻Uce为零值。
| 图8 单周控制的单相AC/AC转换并联式Buck电路仿真结果,t=0.03"负荷突增 在正弦电压负半波时T2、T4导通,这时T1、T2无驱动信号Ube=0,不导通,但加在它们上的Uce仍存在,只是方向相反。
开关管T2,T4上的Uce, iT波形类似,不再重复。
图8(e)上部为电源电压U1,和滤波电感L上的电压UL,可看出这里UL小于U1,在允许范围内。图8(e)下部为用于采样的T1,T3联结点的电压U0。图8(f)是单周控制单元OCC的积分器输出电压Uint的波形,以及用于控制输出电压波形的由参考值Ref和全波整流波形产生的,比较器另一个输入,即给定参考电压Uref的波形。
6 结论
⑴利用全控型开关元件IGBT实现单相电压AC/AC转换器变压(这里是降压)是可能的,并联型电路的主电路只需要二只带双IGBT的模块,及滤波用电感和电容,控制电路也较简单。
负荷电压基本正弦,但带有与开关频率fs(显然fs愈高谐波愈小)有关的谐波,这里对正确选择滤波器参数要求很高。负荷电压大小与参考信号基本上是线性关系,范围应在(10-90)%内,以避免斩波控制中占空比d太靠近1或0引起的混乱。
⑵并联型和串联型AC/AC转换所得结果基本相同,串联型的T1至T4开关管必需带反向二极管,T1至T4在不工作的半波,集电极、发射极间无反向电压。并联型的T1至T4无须反向二极管,但在不工作的半波,集电极、发射极间承受反向电压。
⑶由于本电路中采样电压为U0,并且没有负载电压U2的的反馈控制,因而负荷变化时没有稳压功能,有待进一步完善。
附录A
单相交流正弦电压在斩波控制下,AC/AC转换时输出负荷电压幅值计算。
通常为保证输出电压波形对称,开关周期应采用偶数,如图A所示,其开关频率为2nf,其中f为交流电源电压的频率,开关周期Ts=1/2nf, 每个周期内的占空比为d (0<d<1)时,则每周期有dTs时段有电压输出,极限情况下当d=1,则输出电压U2即电源电压u1,当d=0,则输出电压U2=0。
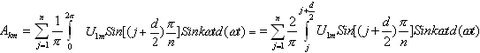
一般情况下输出电压在0至u1之间,并且除了电源电压的基波外,还有高次谐波。为求它们可以利用富里叶级数展开的方法。例如对图A上第j个和第–j个的斩波求解,由于正负侧对原点对称,并且也对时间轴(横轴)对称,则直流分量A0=0,无余弦(Cos)项,及偶次项。
当己知n时就可得Ts=π/n,而第j个斩波的幅值平均值应为 
| | | | | | | |