- 易迪拓培训,专注于微波、射频、天线设计工程师的培养
CMOS集成电路潜在缺陷的最小电压检测
有潜在缺陷的芯片有可能通过生产测试,但是在实际应用中却会引起早期失效的问题,进而引起质量问题。为了避免这个问题,就需要在产品卖给客户之前检测出这种有问题的芯片。一般的检测技术包括Burn—in、IDDQ测试、高压测试和低压测试等。Burn—in是一种有效的也是目前应用最广泛的测试技术,但是Burn—in的硬件设备相当昂贵,而且测试时间也比较长,从而间接地增加了产品的成本。IDDQ测试对于大规模集成电路,特别是亚微米电路效果不理想,主要是由于随着电路规模的增加和尺寸的减少,暗电流也会增加。高压检测对电路中的异物连接,如金属短路,也没有很好的效果,甚至有时会掩盖此类缺陷。在远低于正常运行电压的环境下,正常芯片和有缺陷的芯片有着不同的电性表现,因此可以根据正常芯片的数据设置最小电压,根据此数值来判断芯片是否合格。
以下将具体介绍最小电压(MINVDD)测试方法。
1 合格芯片的最小电压
CMOS电路的正常运转依靠正常的电压供给。在正常的范围内,电压供给越高,电路就会运行得越快;同样,电压供给越低,电路就会运行得越慢。如果电压足够低,电路就会输出错误信号或者停止运行。最小电压就是电路能够输出正确逻辑值的电压临界值。
图1是O.7μm技术制造的芯片的电压与延迟的关系曲线图。正常的电源电压是5 V,当电压降低时,芯片运行的延迟就相应地增加。当电压低于1.24 V时,芯片就不能输出正确的逻辑数值。因此这种芯片的最小电压值就是1.24 V。

不合格芯片的缺陷类型主要有:金属污染物造成的短路,氧化物污染物造成的短路,阈值电压偏移,电性通道开路。本文主要针对在实际生产中具有代表性的金属污染物造成的短路、阈值电压偏移和电性通道开路来做最小电压测试的研究。
2.1 金属性短路
金属性短路是在封装前随机地沾染到金属微粒,从而在电路节点处造成的短路。图2是一个典型的金属性短路的模型。可以看到‘a’与‘b’之间的金属微粒造成了2条电路之间的短路,并假设该金属微粒的电阻是Rm,INl口输入逻辑"0",IN2口输入逻辑"1"。如图2所示,电流的路径由X1中的PMOS,金属微粒,X3中的NMOS电路组成,因此,a、b之间的电压值就不是VDD与GND之间的电压,而是介于两者之间的一个值。

假设PMOS的电阻是R1,NMOS电阻是R3。R1、R3、Rs就组成了一个分压串联电路,则a处的电压可以表示成: 
当电源电压变小时,由于R1和R3增大,V(a)会随之下降。因此从输入INl到OUTl之间的延迟会由于反相器X2延迟的增加而增加。当电源电压降到一定数值时,V(a)就会低于X2的门限电压,输出逻辑"1",而正确的输出结果应该是逻辑"0",在这个电压值处,电路的功能就开始发生错误。这点电压就是最小电压值,也就是判断芯片是否具有金属性缺陷的数值标准。
表1列出了当金属微粒的电阻不同时,所对应的最小电压值。合格芯片的最小电压值是O.45 V,当Rs小于3kΩ时,电路在正常的电源电压(实验中为1.8 V)下就会失效;当Rs的范围在3 kΩ到10 kΩ时,最小电压值逐步递减,但是仍然远高于O.45 V。

2.2 阈值电压的偏移
如果一个晶体管有一个很大的阈值电压偏移,那它的跨导将会很小。因此晶体管的驱动能力就会很低,继而在周期转化中会有更多的额外延迟。下面将会初步研究由阈值电压偏移所引起的最小电压的变化。 
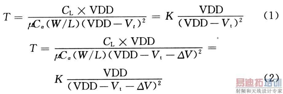
最小电压的另一个定义就是使得芯片状态转换无限延迟的临界电压。上面的公式中,CL是寄生电容,Cα是感生电容,W/L是栅级与源漏极的尺寸比,VDD是电源电压,Vt是芯片正常运行的最小电压,△V是阈值电压偏移量。式(1)是CMOS门电路的延迟计算公式。根据式(1),当VDD=Vt时,电路的延迟会无限大,因此合格芯片的最小电压就是处于Vt的临界值。当阈值电压有一定偏移△V时,延迟计算公式如式(2)所示,当VDD=Vt+△V时,延迟将会无限大。因此可见,由于阈值电压偏移的存在,芯片的最小电压增加了,偏移量越大,最小电压增加量就越大。
2.3 电性通道开路的最小电压
电性通道开路是不正常厚度的氧化层所引起的电流的流动。当氧化层厚度由于工艺或者随机原因变薄,并超出了正常的标准范围,就会引起电流穿透氧化层流入到其他的电路层。当此电流达到一定程度的时候就会引起芯片的不正常工作状态。然而在产品测试里,具有这种缺陷的芯片的表现却与合格芯片一样,只有在环境恶劣或者使用一段时间后才会表现出来。图3是合格芯片与通道开路的不合格芯片的延迟曲线图。随着电压降低,有通道开路问题的芯片的延迟速度远大于正常芯片,但是它们的最小电压值却是一样的,因为通道开路只会引起时间上的失效,而不会影响芯片的最小电压。

3 结 论
最小电压测试就是利用合格芯片与不合格芯片之间最小电压的差别来进行测试,有缺陷芯片的最小电压远高于合格芯片。最小电压检测对于金属性短路(2条金属线之间的短路)、氧化物短路(晶体管中断的短路,例如小孔或者不合格的氧化层厚度)、阈值电压偏移(工艺的偏差)以及通道开路(绝缘材料断裂)等失效模式是十分有效的,上述实验结果显示出这一方法的有效性。
实验结果也表明了最小电压测试是一种有效的可靠性检测技术。最小电压测试和超低压测试都是把芯片放在低压环境下进行测试,测试电压必须是已经确定好的最小电压值,通过检测在最小电压值上能否正确运行,或者正确输出逻辑值,检测出有潜在缺陷的芯片,从而提高芯片的质量和可靠性。
射频工程师养成培训教程套装,助您快速成为一名优秀射频工程师...
天线设计工程师培训课程套装,资深专家授课,让天线设计不再难...
上一篇:基于锁相环的频率合成电路设计
下一篇:无损箝位电路在单端正激电源中的应用

