- 易迪拓培训,专注于微波、射频、天线设计工程师的培养
一种输出电压4~16V开关稳压电源的设计
录入:edatop.com 点击:
1 引言
在科研、生产、实验等应用场合,经常用到电压在5~15V,电流在5~40A的电源。而一般实验用电源最大电流只有5A、10A。为此专门开发了电压4V~16V连续可调,输出电流最大40A的开关电源。它采用了半桥电路,所选用开关器件为功率MOS管,开关工作频率为50kHz,具有重量轻、体积小、成本低等特点。
2 主要技术指标
1)交流输入电压AC220V±20%;
2)直流输出电压4~16V可调;
3)输出电流0~40A;
4)输出电压调整率≤1%;
5)纹波电压Up瞤≤50mV;
6)显示与报警具有电流/电压显示功能及故障告警指示。
3 基本工作原理及原理框图
该电源的原理框图如图1所示。
4 各主要功能描述
4.1交流EMI滤波及整流滤波电路
交流EMI滤波及整流滤波电路如图2所示。
交流输入220V时,整流采用桥式整流电路。如果将JTI跳线短连时,则适用于110V交流输入电压。由于输入电压高,电容器容量大,因此在接通电网瞬间会产生很大的浪涌冲击电流,一般浪涌电流值为稳态电流的数十倍。这可能造成整流桥和输入保险丝的损坏,也可能造成高频变压器磁芯饱和损坏功率器件,造成高压电解电容使用寿命降低等。所以在整流桥前加入由电阻R1和继电器K1组成的输入软启动电路。
4.2半桥式功率变换器
该电源采用半桥式变换电路,如图6所示,其工作频率50kHz,在初级一侧的主要部分是Q4和Q5功率管及C34和C35电容器。Q4和Q5交替导通、截止,在高频变压器初级绕组N1两端产生一幅值为U1/2的正负方波脉冲电压。能量通过变压器传递到输出端,Q4和Q5采用IRFP460功率MOS管。
4.3功率变压器的设计
1)工作频率的设定
工作频率对电源的体积、重量及电路特性影响很大。工作频率高,输出滤波电感和电容体积减小,但开关损耗增高,热量增大,散热器体积加大。因此根据元器件及性价比等因素,将电源工作频率进行优化设计,本例为fs=50kHz。
T=1/fs=1/50kHz=20μs
2)磁芯选用
①选取磁芯材料和磁芯结构
选用R2KB铁氧体材料制成的EE型铁氧体磁芯。其具有品种多,引线空间大,接线操作方便,价格便宜等优点。
②确定工作磁感应强度Bm
R2KB软磁铁氧体材料的饱和磁感应强度Bs=0.47T,考虑到高温时Bs会下降,同时为防止合闸瞬间高频变压器饱和,选定 Bm=1/3Bs=0.15T。
③计算并确定磁芯型号
磁芯的几何截面积S和磁芯的窗口面积Q与输出功率Po存在一定的函数关系。对于半桥变换器,当脉冲波形近似为方波时为
j——电流密度,一般取300~500A/cm2;
Kc——磁芯的填充系数,对于铁氧体Kc=1;
Ku——铜的填充系数,Ku与导线线径及绕制的工艺及绕组数量等有关,一般为0.1~0.5左右。
3)计算原副边绕组匝数
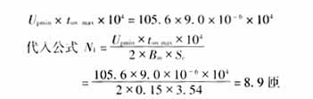
按输入电压最低及输出满载的情况(此时占空比最大)来计算原副边绕组匝数,已知Umin=176V经整流滤波后直流输入电压Udmin=1.2×176=211.2V。
对于半桥电路、功率变压器初级绕组上施加的电压等于输入电压的一半,即Upmin=Udmin/2=105.6V,设最大占定比Dmax=0.9,则
在选用绕组的导线线径时,要考虑导线的集肤效应,一般要求导线线径小于两倍穿透深度,而穿透深度Δ由式(2)决定
μ为导线的磁导率,对于铜线相对磁导率μr=1,则μ=μ0×μr=4π×10-7H/m;
γ为铜的电导率,γ=58×10-6Ωm;
穿透深度Δ的单位为m。
变压器工作频率50kHz,在此频率下铜导线的穿透深度为Δ=0.2956mm,因此绕组线径必须是直径小于0.59mm的铜线。另外考虑到铜线电流密度一般取3~6A/mm2,故这里选用0.56mm的漆包线8股并联绕制初级共10匝,次级选用厚0.15mm扁铜带绕制2匝。
4.4辅助电源的设计
辅助电源采用RCC变换器(RingingChokeConverter),见图3。其输入电压为交流220V整流滤波电压,输出直流电压为12.5V,输出直流电流为0.5A。电路中Q8和变压器初级绕组线圈N1与反馈绕组线圈N3构成自激振荡。R72为启动电阻。Q9、R77构成辅助电源初级过流保护。D20、C81、ZD1、Q11、R75、R76构成电压检测与稳压电路,控制Q8的基极电流的直流分量,从而保持输出电压恒定,变压器采用EE19、LP3材质构成。初级180匝,反馈绕组5.5匝,次级11匝,初级电感量是2.6mH,磁芯中间留有间隙0.4mm。
4.5驱动电路
驱动电路如图4所示。TL494输出50kHz的脉冲信号,通过高频脉冲变压器耦合去驱动功率MOS管。次级脉冲电压为正时,MOS管导通,在此期间Q7截止,由其构成的泄放电路不工作。当次级脉冲电压为零时,则Q7导通,快速泄放MOS管栅级电荷,加速MOS管截止。R70是用于抑制驱动脉冲的尖峰,R68、D15、R67可以加速驱动并防止驱动脉冲产生振荡。D17和与它相连的脉冲变压器绕组共同构成去磁电路。
4.6风扇风速控制电路
风扇风速控制电路见图5。利用二极管正向管压降随温度升高而呈下降趋势的特性,将D9、D10做为散热器温度采样器件。方法是将D9、D10两二极管紧靠在散热器上,当散热器随输出功率加大而温度升高时,运放N2A正相输入端电平降低,输出低电平使三极管Q3开始导通,风机上电压升高,转速升高,最终到达最高转速。当负载较轻,使散热器温度低于50℃时,N2A输出高电平,Q3不导通,辅助电源12.5V经电阻R57降压给风机供电,风机处于低速、低噪声运行状态。此电路可以提高风机工作寿命,增加电路可靠性,亦可在小负载情况下,减少风机带来的噪声。
控制电路采用通用脉宽调制器TL494,具有通用性和成本低等优点,见图6。输出电压经R40、RV2、RV1、R41进行分压采样,经R5阻抗匹配后送到TL494脚1。RV1装在电源前面板上用于实现输出电压的调节。R103和C14将输出电感L1前信号采样,经R5送到TL494脚1,用于提高电源稳定度,消除L1对环路稳定性影响。
4.8过流保护电路
为增强电源可靠性,此电源采用初、次级两级过流保护。初级采用电流互感器CT1检测初级变压器电流,检测出的电流信号经R60转为电压信号后,再经D2~D4,C9整流滤波后,经过电位器RV3分压,反相器N3反相后加在Q1管基极。当初级电流超过正常时,反相器反转,Q1管导通,将VREF=5V的高电平加在TL494脚4上(脚4为TL494死区控制脚、高电平关断),TL494关断。
输出直流总线上过流保护,采用R45~R56电阻做为采样电阻,当输出电流增加时脚15电平变低,当输出电流大于40A的105%时,TL494的内部运放动作,脚3电平升高,限制输出脉宽增加,电源处于限流状态。
在科研、生产、实验等应用场合,经常用到电压在5~15V,电流在5~40A的电源。而一般实验用电源最大电流只有5A、10A。为此专门开发了电压4V~16V连续可调,输出电流最大40A的开关电源。它采用了半桥电路,所选用开关器件为功率MOS管,开关工作频率为50kHz,具有重量轻、体积小、成本低等特点。
2 主要技术指标
1)交流输入电压AC220V±20%;
2)直流输出电压4~16V可调;
3)输出电流0~40A;
4)输出电压调整率≤1%;
5)纹波电压Up瞤≤50mV;
6)显示与报警具有电流/电压显示功能及故障告警指示。
3 基本工作原理及原理框图
该电源的原理框图如图1所示。

4 各主要功能描述
4.1交流EMI滤波及整流滤波电路
交流EMI滤波及整流滤波电路如图2所示。

交流输入220V时,整流采用桥式整流电路。如果将JTI跳线短连时,则适用于110V交流输入电压。由于输入电压高,电容器容量大,因此在接通电网瞬间会产生很大的浪涌冲击电流,一般浪涌电流值为稳态电流的数十倍。这可能造成整流桥和输入保险丝的损坏,也可能造成高频变压器磁芯饱和损坏功率器件,造成高压电解电容使用寿命降低等。所以在整流桥前加入由电阻R1和继电器K1组成的输入软启动电路。
4.2半桥式功率变换器
该电源采用半桥式变换电路,如图6所示,其工作频率50kHz,在初级一侧的主要部分是Q4和Q5功率管及C34和C35电容器。Q4和Q5交替导通、截止,在高频变压器初级绕组N1两端产生一幅值为U1/2的正负方波脉冲电压。能量通过变压器传递到输出端,Q4和Q5采用IRFP460功率MOS管。
4.3功率变压器的设计
1)工作频率的设定
工作频率对电源的体积、重量及电路特性影响很大。工作频率高,输出滤波电感和电容体积减小,但开关损耗增高,热量增大,散热器体积加大。因此根据元器件及性价比等因素,将电源工作频率进行优化设计,本例为fs=50kHz。
T=1/fs=1/50kHz=20μs
2)磁芯选用
①选取磁芯材料和磁芯结构
选用R2KB铁氧体材料制成的EE型铁氧体磁芯。其具有品种多,引线空间大,接线操作方便,价格便宜等优点。
②确定工作磁感应强度Bm
R2KB软磁铁氧体材料的饱和磁感应强度Bs=0.47T,考虑到高温时Bs会下降,同时为防止合闸瞬间高频变压器饱和,选定 Bm=1/3Bs=0.15T。
③计算并确定磁芯型号
磁芯的几何截面积S和磁芯的窗口面积Q与输出功率Po存在一定的函数关系。对于半桥变换器,当脉冲波形近似为方波时为
![]()
j——电流密度,一般取300~500A/cm2;
Kc——磁芯的填充系数,对于铁氧体Kc=1;
Ku——铜的填充系数,Ku与导线线径及绕制的工艺及绕组数量等有关,一般为0.1~0.5左右。

3)计算原副边绕组匝数
按输入电压最低及输出满载的情况(此时占空比最大)来计算原副边绕组匝数,已知Umin=176V经整流滤波后直流输入电压Udmin=1.2×176=211.2V。
对于半桥电路、功率变压器初级绕组上施加的电压等于输入电压的一半,即Upmin=Udmin/2=105.6V,设最大占定比Dmax=0.9,则


在选用绕组的导线线径时,要考虑导线的集肤效应,一般要求导线线径小于两倍穿透深度,而穿透深度Δ由式(2)决定
![]()
μ为导线的磁导率,对于铜线相对磁导率μr=1,则μ=μ0×μr=4π×10-7H/m;
γ为铜的电导率,γ=58×10-6Ωm;
穿透深度Δ的单位为m。
变压器工作频率50kHz,在此频率下铜导线的穿透深度为Δ=0.2956mm,因此绕组线径必须是直径小于0.59mm的铜线。另外考虑到铜线电流密度一般取3~6A/mm2,故这里选用0.56mm的漆包线8股并联绕制初级共10匝,次级选用厚0.15mm扁铜带绕制2匝。
4.4辅助电源的设计
辅助电源采用RCC变换器(RingingChokeConverter),见图3。其输入电压为交流220V整流滤波电压,输出直流电压为12.5V,输出直流电流为0.5A。电路中Q8和变压器初级绕组线圈N1与反馈绕组线圈N3构成自激振荡。R72为启动电阻。Q9、R77构成辅助电源初级过流保护。D20、C81、ZD1、Q11、R75、R76构成电压检测与稳压电路,控制Q8的基极电流的直流分量,从而保持输出电压恒定,变压器采用EE19、LP3材质构成。初级180匝,反馈绕组5.5匝,次级11匝,初级电感量是2.6mH,磁芯中间留有间隙0.4mm。

4.5驱动电路
驱动电路如图4所示。TL494输出50kHz的脉冲信号,通过高频脉冲变压器耦合去驱动功率MOS管。次级脉冲电压为正时,MOS管导通,在此期间Q7截止,由其构成的泄放电路不工作。当次级脉冲电压为零时,则Q7导通,快速泄放MOS管栅级电荷,加速MOS管截止。R70是用于抑制驱动脉冲的尖峰,R68、D15、R67可以加速驱动并防止驱动脉冲产生振荡。D17和与它相连的脉冲变压器绕组共同构成去磁电路。

4.6风扇风速控制电路
风扇风速控制电路见图5。利用二极管正向管压降随温度升高而呈下降趋势的特性,将D9、D10做为散热器温度采样器件。方法是将D9、D10两二极管紧靠在散热器上,当散热器随输出功率加大而温度升高时,运放N2A正相输入端电平降低,输出低电平使三极管Q3开始导通,风机上电压升高,转速升高,最终到达最高转速。当负载较轻,使散热器温度低于50℃时,N2A输出高电平,Q3不导通,辅助电源12.5V经电阻R57降压给风机供电,风机处于低速、低噪声运行状态。此电路可以提高风机工作寿命,增加电路可靠性,亦可在小负载情况下,减少风机带来的噪声。

控制电路采用通用脉宽调制器TL494,具有通用性和成本低等优点,见图6。输出电压经R40、RV2、RV1、R41进行分压采样,经R5阻抗匹配后送到TL494脚1。RV1装在电源前面板上用于实现输出电压的调节。R103和C14将输出电感L1前信号采样,经R5送到TL494脚1,用于提高电源稳定度,消除L1对环路稳定性影响。
4.8过流保护电路
为增强电源可靠性,此电源采用初、次级两级过流保护。初级采用电流互感器CT1检测初级变压器电流,检测出的电流信号经R60转为电压信号后,再经D2~D4,C9整流滤波后,经过电位器RV3分压,反相器N3反相后加在Q1管基极。当初级电流超过正常时,反相器反转,Q1管导通,将VREF=5V的高电平加在TL494脚4上(脚4为TL494死区控制脚、高电平关断),TL494关断。
输出直流总线上过流保护,采用R45~R56电阻做为采样电阻,当输出电流增加时脚15电平变低,当输出电流大于40A的105%时,TL494的内部运放动作,脚3电平升高,限制输出脉宽增加,电源处于限流状态。

5 结语
本文介绍的开关电源已成功地作为实验室电源、通信基站电源使用。其效率≥85%,纹波优于30mVP睵,产品可靠性高、成本低,具有一定的市场竞争力。
射频工程师养成培训教程套装,助您快速成为一名优秀射频工程师...
天线设计工程师培训课程套装,资深专家授课,让天线设计不再难...
上一篇:将EMI/EMC控制在摇篮之中
下一篇:四路输出D/A转换器DAC8420及其应用
射频和天线工程师培训课程详情>>

