- 易迪拓培训,专注于微波、射频、天线设计工程师的培养
未来单兵电源技术的数据包络分析(DEA)法选择
目前可能用于单兵的能源技术很多,但是并不是每一种技术都能完全满足我们部队的需求,它们的实用性以及经济性等等都会直接对我们的装备发展计划造成影响,盲目的追求先进技术和超前效应有时会适得其反。所以,必须对可能的能源技术进行分析选择。
1 数据包络法简介
数据包络分析(Data EnvelopmentAnalysis)简称DEA,是运筹学、管理科学和数理经济学交叉研究的一个新的领域。它是由Charnes和Cooper等人于1978年开始创建的。DEA是使用数学规划模型评价具有多个输入和多个输出的单位(称为决策单元,简记为DMU)间的相对有效性(称为DEA有效)。
由于DEA确定的各指标的权重不是优先意义下的权重,而是从最利于决策单元的角度以各决策单元输入输出的权重为变量进行评价。DEA方法不必确定输入-输出的显式表达关系,就可以得出每个决策单元综合效率的数量指标,据此确定有效的决策单元,并对有效的决策单元进行原因分析,从而进一步调整决策单元投入规模的正方向和程。DEA法对分散的评价指标进行综合分析处理,从全局整体角度利用数据,从而避免了分析指标处理的片面性。
数据包络分析是一个带有反馈性质的封闭过程,其分析过程如图1所示。

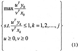
DEA的第一个模型是1978年由Charnes等人给出的。假设有j个决策单元(DecisionMakingUnits,简记DMU)。每个DMU都有m种输入和s种输出,其输入和输出向量为xk=(x1k,x2k,…,xmk)T,yk=(y1k,y2k,…,ysk)T。xik=DMU-k对第i种输入输入量,yrk=DMU-j对第r种输出的产出量(k=1,2,…,j;i=1,2,…,m;r=1,2,…,s)。为了方便,记DMU-k0对应的输入、输出数据分别为x0=xj0,y0=yj0,1≤k0≤j。评价DMU-k0的相对有效性的DEA模型(C2R)为:

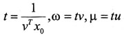
其中V=(v1,v2,…,vm)T,u=(u1,u2,…,us)T分别为m种输入和s种输出的权系数,利用1962年Charnes和Cooper对于分式规划的Charnes-Cooper变换

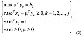
可将分式形式的模型(C2R)化为等价的线性规划

h的输出值既为能源技术的相对有效性系数。
3 评价指标的选取
由于技术研究的投入具有不可逆性,不正确的选取合适的技术,会造成巨大的浪费。随意选取的评价指标既要体现系统优化性、通用可比性、实用性、可测性等原则,又要反映单兵电源技术评价的特点。
3.1 输入指标
单兵电源技术纷繁复杂,并且在不断的发展之中。为了能够尽可能的反映当前以及不远的未来的单兵电源的技术面貌,在此仅从一个宏观的视角来考虑单兵电源技术研究的热点问题作为单兵电源技术的输入指标。通过对相关研究部门及应用部门的调研,将如下指标作为单兵电源选择的输入指标:
(1)能量密度(x1)。是指单位体积或者质量下能够提供的能量。
(2)功率(x2)。指能源技术在合理的体积或者质量下所能够提供的功率。
(3)体积(x3)。指单兵电源所要占用的空间。单兵装备的体积直接会影响到士兵的机动能力,对士兵的隐蔽性也会有很大的影响。
(4)外形(x4)。指单兵电源的形状,也包括质量的分布。单兵电源的外形会影响到单兵携带时的舒适度,合理的外形和质量分布可以有效的减轻士兵的疲劳感。
(5)外部信号(x5)。主要是指单兵电源的声、震、热等外部特征。外部信号的大小直接关系到隐蔽性,对士兵的生存性能有很大的影响。
(6)耐毁性(x6)。指单兵电源适应复杂的环境以及抵御外界冲击的能力。单兵电源所面临的环境是极其复杂的,在战场环境下受到攻击也不是不可能的。良好的耐毁性能够保证单兵电源在受到外界冲击之后还能够有效的工作。

(8)安全性(x8)。是指单兵电源在使用或者运输时的安全性能。许多电源材料是含有很多的不稳定金属的,在使用活运输的过程中会有爆炸的可能,也有一些发电设备的排放物或者挥发物是有毒的,这些都会对人员的安全造成一定的威胁。
(9)成本(x9)。主要指单兵电源的研发成本和材料成本。单兵电源终将会大量的装配给部队,成本是必须考虑的因素。
[p] 3.2 输出指标
根据单兵装备应用的特点,将单兵电源使用后带来的影响作为输出。单兵电源的使用所带来的影响主要有两个方面:对士兵的影响和对系统的影响。对人的影响包括士兵机动能力y1士兵生存能力y2。对系统的影响包括系统生存能力y3,系统适应能力y4。
3.3 指标的度量
对指标的度量采取线性插值法和专家打分法结合的方法。对于一些能够得到直观数字的性能指标,采取线性插值法,例如能量密度、功率等,对于一些不能直接用数字表达的指标,采取专家打分法,将指标数字化。
4 实例计算分析
目前单兵装备还在不断的发展之中,功能不断的增强,能耗也会随之发生变化。所以,为了确保单兵电源的发展应用满足单兵系统的使用要求,必须针对不同时期不同能源技术的特征,对可用的能源技术进行选择,找出相应时期最适合单兵系统使用的能源技术。考虑到装备研发到应用的周期,以及各种能源技术发展状况,本文将按照近期(3~5年)、中期(5~10年)和远期(10~15年)三个时间段对各种能源技术的性能进行分析。
本文以一次电池DMU1,二次电池DMU2,燃料电池DMU3,,超微型然烧机DMU4微型燃气轮机DMU5,电化学电容器DMU6,人力发电DMU7,太阳能发电DMU8,核能同位素DMU9沩分析对象。每种技术在不同时期的输入指标如表格1、2、3所示。
不同时期的输出指标情况见表格4。
本文采用模型(2),利用MATLAB软件对各技术相对有效性进行计算,计算结果如表5所示。

由计算结果可以清楚的看出不同时期,单兵电源所应采用的能源技术。
(1)近期。一次电池相对有效性最高,说明在近期使用一次电池作为单兵电源最合适。二次电池由于容量有限,相对有效性次之。目前的人力发电设备质量大,并且持续供电能力有限,相对有效性较二次电池稍差。但是人力发电是作为最低化电源保障的最佳选择。小型燃料电池技术尚不完善,在单兵的应用中基本不可行,太阳能发电受其发电方式和材料易损的影响,近期在军事中的应用也仅限于部队静止期间的应用以及边防和海岛执勤站点。电化学电容由于容量太小,单独作为单兵电源也是不实际的。其他如超微型燃烧机、微型燃气轮机、核能发电技术的便携式版本在近期尚无法成型,不做考虑。
(2)中期。各种技术都会有相当大的进步,可选的能源技术大大增多。超微型燃烧机和微型燃气轮机技术不断成熟,将会成为单兵电源的首选。一次和二次电池仍在单兵电源的可选技术范围之内,但是相对有效性相对于微型燃气轮机和超微型燃烧机稍差。燃料电池技术将会基本解决体积问题,相对有效性会有较大提高,但是相对于电池仍然没有优势。电化学电容器、人力发电、太阳能发电单独作为单兵电源应用的可能微乎其微。
(3)远期。通过技术的进步,在远期,燃料电池和超微型然烧机以及微型燃气轮机性能都会有很大的提高,对于单兵应用的有效性有了很大提高,将会成为单兵电源的首选。核能电池也会进入单兵电源选择的范围,但是核能电池所能提供的功率有限,单独作为单兵电源的有效性相对于燃料电池稍差。一次电池和二次电池的相对有效性会出于技术选择的第五、六位,极有可能会被其他能源技术取代。电化学电容器、人力发电、太阳能电池作为单独的单兵电源使用可能仍然相对较小。
纵观所考虑的三个时期,可以发现,电池的作为单兵电源的地位将会被逐渐取代,这与电池性能发展减缓的事实是相符合的;燃料电池,微型然烧机、微型燃气轮机将会随着技术的进步逐渐成为单兵电源的最佳选择;核能电池的问世也会使单兵系统执行任务的时间得到大幅扩展;受其技术特点的影响,太阳能发电始终很难单独最为单兵电源使用。
5 结论
本文采用DEA法对不同能源技术在单兵中应用的相对有效性进行了计算,根据计算结果可以清楚的看到不同时期单兵电源应该采用的能源技术,对单兵电源的发展具有积极的推进作用。
射频工程师养成培训教程套装,助您快速成为一名优秀射频工程师...
天线设计工程师培训课程套装,资深专家授课,让天线设计不再难...
上一篇:动态电源路径管理简化了太阳能板对电池的充电
下一篇:LED在汽车照明系统中的应用

