- 易迪拓培训,专注于微波、射频、天线设计工程师的培养
输出电容器的等效串联电阻对滞环控制功率转换器的影响

图1 滞环控制降压转换器
滞环控制功率转换器的运行可如下简述。以图1中的降压转换器为例,当输出电压VOUT下降低于阈值VREF时,那么开关S1便会开启(S2作为互补工作性质)。相反,当VOUT高于VREF时,那S1便会关闭。这种运作方式与可变结构控制系统类似,它能够依据一个超平面(hyper-plane)来转换控制法则。因此,可变结构控制理论便成为分析滞环控制功率转换器的最佳工具。
分析
为了专注分析RC的影响,这里假设电感器的ESR为零,而开关S1和S2处于最理想的情况。当S1开启时S2便关闭。
(1)
当S1关闭时S2便开启。
(2)
因此,我们可获得,
(3)
当S1开启时D的数值是1,而当S1关闭时那D的数值便是0。此外,当S1是开和关时,
iL=iC+Vout/Rout
iL=CdVC/dt+1/Rout(VC+RCCdVC/dt)
diL/dt=Cd2VC/dt2+1/ROUT(dVC/dt +RcCd2VC/dt2)
代入公式(3),
(4)
超平面的定义如下:
s=VREF-VOUT=VREF-VC-RCCdVC/dt
令e=VREF-VC,de/dt=-dVC/dt,d2e/dt2=-d2VC/dt2
s=e+RCCde/dt (5)
根据滞环控制降压转换器的运作,当S1开启时,D=1,若VOUT<VREF,即s>0;当S1关闭时,D=0,若VOUT>VREF,即s<0。
依据可变结构系统的分析,做如下推算。
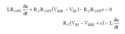
为了获得一个稳定的系统,要求当s>0时,ds/dt<0;当s<0时,ds/dt>0。因此,当s>0时,便可符合ds/dt<0这条件。
(7)
(8)
其中,iC是输出电容器的电流,它在0A的稳态点周围产生纹波。将2ICMAX定为纹波电流iC的峰到峰的最高值。那当s>0时,要获得ds/dt<0的足够条件为:
(9)
同样道理,当s<0时,要获得ds/dt>0的足够条件为:
(10)
结果是RC>max{RCP,RCN}
类推

图2 当RC=50mΩ时的降压转换器波形

图3 当RC=5mΩ时的降压转换器波形
图2和图3分别为滞环控制降压转换器在不同RC下的波形。其中,VIN=8V、VREF=2.5V、L=10μH、C=47μF和ROUT=2.5Ω。对于图2和图3的电路,输出电容器的等效串联电阻RC分别为50mΩ和5mΩ。图中从上而下的曲线分别表示VSW、s、iC和VOUT的波形。图2的波形比较稳定,当S1开启时(当VSW处于高电压电平),s便下跌;相反,当S1关闭时,s便上升。在这情况下,ICMAX等于0.14A,而计算出RC的最小值为11.92mΩ。换句话说,一个50mΩ的RC便可满足要求,从而给出一个稳定的系统。可是对于图3而言,ICMAX等于0.9A,根据计算,得出RC的最小要求为76.59mΩ。很明显地,一个只有5mΩ的RC是不能符合要求的。从图3可看出,s不是在S1开和关后便立即增加或减小,而是稍微延迟了一点时间。结果,输出电压纹波将会明显地增加,从而产生出一个相对VSW的相移。这个现象对于滞环控制降压转换器来说很普遍,尤其当输出电容器的ESR过小时。
结论
根据可变结构控制理论来分析滞环控制降压转换器,得出输出电压纹波的增加和相移是由于输出电容器的过小ESR所致。这也解释了为何ESR较小的陶瓷电容器通常都不会使用在滞环控制降压转换器上。
射频工程师养成培训教程套装,助您快速成为一名优秀射频工程师...
天线设计工程师培训课程套装,资深专家授课,让天线设计不再难...
上一篇:基于C8051F的OLED控制电路的设计
下一篇:超低压差CMOS线性稳压器的设计

