- 易迪拓培训,专注于微波、射频、天线设计工程师的培养
白光LED电源设计技术
录入:edatop.com 点击:
摘要
随着彩色显示屏在便携市场(如手机、PDA以及超小型PC)中的广泛采用,对于一个单色LCD照明而言,就需要一个白色背光或侧光。与常用的CCFL(冷阴极荧光灯)背光相比,由于LED需要更低的功耗和更小的空间,所以其看起来是背光应用不错的选择。白光LED的典型正向电压介于3V~5V之间。由于为白光LED供电的最佳选择是选用一个恒流电源,且锂离子电池的输入电压范围低于或等于LED正向电压,因此就需要一款新型电源解决方案。
主要的电源要求包括高效率、小型的解决方案尺寸以及调节LED亮度的可能性。对于具有无线功能的便携式系统而言,可接受的EMI性能成为我们关注的另一个焦点。当高效率为我们选择电源最为关心的标准时,升压转换器就是一款颇具吸引力的解决方案,而其他常见的解决方案是采用充电泵转换器。在本文中,我们分别对用于驱动白光LED的两款解决方案作了讨论,并探讨了他们与主要电源要求的关系。另外一个很重要的设计考虑因素是调节LED亮度的控制方法,其亮度不但会影响整个转换器的效率,而且还有可能会出现白光LED的色度变换。下面将介绍一款使用一个PWM信号来控制其亮度的简单的解决方案。与其他标准解决方案相比,该解决方案的另外一个优势就是其更高的效率。
任务
一旦为白光LED选定了电源以后,对于一个便携式系统来说,其主要的要求就是效率、整体解决方案尺寸、解决方案成本以及最后一项但非常重要的EMI(电磁干扰)性能。根据便携式系统的不同,对这些要求的强调程度也不尽相同。效率通常是关键的设计参数中最重要或次重要的考虑因素,因此在选择电源时,要认真考虑这一因素。图1示显示了白光LED电源的基本电路。
与充电泵解决方案相比,升压转换器可实现更高的效率
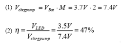
一般来说,用于驱动白光LED的电源拓扑结构有两种:即充电泵或开关电容解决方案和升压转换器。这两款解决方案均可提供较高的输出和输入电压。二者主要的不同之处在于转换增益M=Vout/Vin,该增益将直接影响效率;而通常来说,充电泵解决方案的转换增益是固定不变的。一款固定转换增益为2的简单充电泵解决方案通常会产生比LED正向电压高很多的电压,如方程式(1)所示。其将带来仅为47%的效率,如方程式(2)所示。
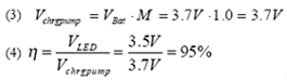
计算得出的效率数值显示了充电泵解决方案最佳的理论值。在现实生活中,根据电流控制方法的不同会发生更多的损耗,其对效率有非常大的影响。除了I2R损耗以外,该器件中的开关损耗和静态损耗也将进一步降低该充电泵解决方案的效率。
通过使用一款感应升压转换器可以克服这些不足之处,该升压转换器具有一个可变转换增益M,如方程式(7)和图3所示。
可驱动4白光LED的标准升压转换器
图4中的升压转换器被配置为一个可驱动4白光LED的电流源。该器件将检测电阻器Rs两端的电压调节至1.233V,从而得到一个定义的LED电流。
当使用一个具有3.3V振幅的PWM信号时,必须要将控制LED亮度的占空比范围从50%调整到100%,以得到一个通常会高于1.233V反馈电压的模拟电压。在50%占空比时,模拟电压将为1.65V,从而产生一个20mA、0.98V的感应电压。将占空比范围限制在70%~100%之间会进一步降低感应电压。由此得出的效率曲线如图6所示。
图7显示了LED电流作为控制LED亮度的PWM占空比的一个线性函数。
专用LED驱动器减少了外部组件数量
图8显示了一款集成了前面所述特性的器件。直接在CTRL引脚上施加一个PWM信号就可以对LED电流进行控制。
从图10中的效率曲线可以看出:在大多数应用中,升压转换器可以实现比充电泵解决方案更高的效率。但是,在无线应用中使用升压转换器或充电泵时还需要考虑EMI问题。
对EMI加以控制
由于这两款解决方案均为运行在高达1MHz转换频率上的开关转换器,且可以快速的上升和下降,因此无论使用哪一种解决方案(充电泵还是升压转换器)都必须要特别谨慎。如果使用的是充电泵解决方案,则不需要使用电感,因此也就不存在磁场会引起EMI的问题了。但是,充电泵解决方案的飞跨电容通过在高频率时开启和关闭开关来持续地充电和放电。这将引起电流峰值和极快的上升,并对其他电路发生干扰。因此飞跨电容应该尽可能地靠近IC连接,且线迹要非常短以最小化EMI放射。必须使用一个低ESR输入电容以最小化高电流峰值(尤其是出现在输入端的电流峰值)。
如果使用的是一款升压转换器,则屏蔽电感器将拥有一个更为有限的磁场,从而实现更好的EMI性能。应对转换器的转换频率加以选择以最小化所有对该系统无线部分产生的干扰。PCB布局将对EMI产生重大影响,尤其要将承载开关或AC电流的线迹保持尽可能小以最小化EMI放射,如图11所示。
随着彩色显示屏在便携市场(如手机、PDA以及超小型PC)中的广泛采用,对于一个单色LCD照明而言,就需要一个白色背光或侧光。与常用的CCFL(冷阴极荧光灯)背光相比,由于LED需要更低的功耗和更小的空间,所以其看起来是背光应用不错的选择。白光LED的典型正向电压介于3V~5V之间。由于为白光LED供电的最佳选择是选用一个恒流电源,且锂离子电池的输入电压范围低于或等于LED正向电压,因此就需要一款新型电源解决方案。
主要的电源要求包括高效率、小型的解决方案尺寸以及调节LED亮度的可能性。对于具有无线功能的便携式系统而言,可接受的EMI性能成为我们关注的另一个焦点。当高效率为我们选择电源最为关心的标准时,升压转换器就是一款颇具吸引力的解决方案,而其他常见的解决方案是采用充电泵转换器。在本文中,我们分别对用于驱动白光LED的两款解决方案作了讨论,并探讨了他们与主要电源要求的关系。另外一个很重要的设计考虑因素是调节LED亮度的控制方法,其亮度不但会影响整个转换器的效率,而且还有可能会出现白光LED的色度变换。下面将介绍一款使用一个PWM信号来控制其亮度的简单的解决方案。与其他标准解决方案相比,该解决方案的另外一个优势就是其更高的效率。
任务
一旦为白光LED选定了电源以后,对于一个便携式系统来说,其主要的要求就是效率、整体解决方案尺寸、解决方案成本以及最后一项但非常重要的EMI(电磁干扰)性能。根据便携式系统的不同,对这些要求的强调程度也不尽相同。效率通常是关键的设计参数中最重要或次重要的考虑因素,因此在选择电源时,要认真考虑这一因素。图1示显示了白光LED电源的基本电路。

与充电泵解决方案相比,升压转换器可实现更高的效率
一般来说,用于驱动白光LED的电源拓扑结构有两种:即充电泵或开关电容解决方案和升压转换器。这两款解决方案均可提供较高的输出和输入电压。二者主要的不同之处在于转换增益M=Vout/Vin,该增益将直接影响效率;而通常来说,充电泵解决方案的转换增益是固定不变的。一款固定转换增益为2的简单充电泵解决方案通常会产生比LED正向电压高很多的电压,如方程式(1)所示。其将带来仅为47%的效率,如方程式(2)所示。




计算得出的效率数值显示了充电泵解决方案最佳的理论值。在现实生活中,根据电流控制方法的不同会发生更多的损耗,其对效率有非常大的影响。除了I2R损耗以外,该器件中的开关损耗和静态损耗也将进一步降低该充电泵解决方案的效率。
通过使用一款感应升压转换器可以克服这些不足之处,该升压转换器具有一个可变转换增益M,如方程式(7)和图3所示。
![]()

可驱动4白光LED的标准升压转换器
图4中的升压转换器被配置为一个可驱动4白光LED的电流源。该器件将检测电阻器Rs两端的电压调节至1.233V,从而得到一个定义的LED电流。


当使用一个具有3.3V振幅的PWM信号时,必须要将控制LED亮度的占空比范围从50%调整到100%,以得到一个通常会高于1.233V反馈电压的模拟电压。在50%占空比时,模拟电压将为1.65V,从而产生一个20mA、0.98V的感应电压。将占空比范围限制在70%~100%之间会进一步降低感应电压。由此得出的效率曲线如图6所示。

图7显示了LED电流作为控制LED亮度的PWM占空比的一个线性函数。

专用LED驱动器减少了外部组件数量
图8显示了一款集成了前面所述特性的器件。直接在CTRL引脚上施加一个PWM信号就可以对LED电流进行控制。


从图10中的效率曲线可以看出:在大多数应用中,升压转换器可以实现比充电泵解决方案更高的效率。但是,在无线应用中使用升压转换器或充电泵时还需要考虑EMI问题。
对EMI加以控制
由于这两款解决方案均为运行在高达1MHz转换频率上的开关转换器,且可以快速的上升和下降,因此无论使用哪一种解决方案(充电泵还是升压转换器)都必须要特别谨慎。如果使用的是充电泵解决方案,则不需要使用电感,因此也就不存在磁场会引起EMI的问题了。但是,充电泵解决方案的飞跨电容通过在高频率时开启和关闭开关来持续地充电和放电。这将引起电流峰值和极快的上升,并对其他电路发生干扰。因此飞跨电容应该尽可能地靠近IC连接,且线迹要非常短以最小化EMI放射。必须使用一个低ESR输入电容以最小化高电流峰值(尤其是出现在输入端的电流峰值)。
如果使用的是一款升压转换器,则屏蔽电感器将拥有一个更为有限的磁场,从而实现更好的EMI性能。应对转换器的转换频率加以选择以最小化所有对该系统无线部分产生的干扰。PCB布局将对EMI产生重大影响,尤其要将承载开关或AC电流的线迹保持尽可能小以最小化EMI放射,如图11所示。

粗线迹应先完成布线,且必须使用一个星形接地或接地层以最小化噪声。输入和输出电容应为低ESR陶瓷电容以最小化输入和输出电压纹波。
结论
在大多数应用中,与充电泵相比,升压转换器显示出了更高的效率。使用一个升压转换器(其电感大小与1210外壳尺寸一样)降低了充电泵在总体解决方案尺寸方面的优势。至少需要根据总体解决方案的尺寸对效率进行评估。在EMI性能方面,对升压转换器的设计还需要考虑更多因素和对更多相关知识的了解。
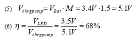
总之,对于许多系统而言,尤其在器件拥有一个从1.0到1.5的灵活转换增益的时候,充电泵解决方案将是一个不错的解决方案。在稍微高于LED正向电压处发生从1.0到1.5的转换增益时,这样一款解决方案将实现绝佳的效率。在为每个应用选择升压转换器或充电泵解决方案时,需要充分考虑便携式系统的关键要求。如果效率是关键的要求,则升压转换器将为更适宜的解决方案。
射频工程师养成培训教程套装,助您快速成为一名优秀射频工程师...
天线设计工程师培训课程套装,资深专家授课,让天线设计不再难...
上一篇:声学脉冲波辨识触摸屏控制技术
下一篇:单片彩色LCoS显示系统的设计实现
射频和天线工程师培训课程详情>>

