- 易迪拓培训,专注于微波、射频、天线设计工程师的培养
测量放大器共模抑制能力的研究及分析计算
录入:edatop.com 点击:
引言
测量放大器具有输入阻抗高、共模抑制比大等特点,因而得到了广泛的应用。但由于电路的分析复杂,通常只给出理想情况下放大器的差模增益,而难以给出其在非理想情况下的共模抑制比表达式。
本文以图1 所示的测量放大器为基础,在电路非理想情况下,对该电路抑制共模信号的原理进行了分析,并给出了共模抑制比的表达式,得出了放大器的共模抑制比约为第一级放大电路的差模电压增益和第二级放大电路的共模抑制比的乘积、抑制共模信号主要由第二级放大电路来完成的结论。该结论对测量放大器的设计和应用都具有一定的指导意义。
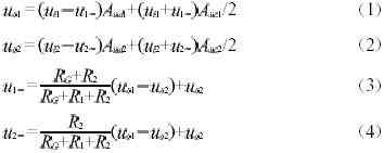
在图1 所示电路中,设运放A1和A2的差模、共模电压增益分别为Aud1、Aud2、Auc1、Auc2。如果忽略输入偏置电流,可以列出下列方程:
在实际电路中,为了提高电路抑制共模干扰的能力,第一级两个运放A1和A2的特性一致性要好第二级差动放大器中的4 个电阻要精密配合(R3=R5,R4=R6),并取R1=R2,且固定不变,通过改变RG来调整电路的增益。
由式(1)~(4)得放大器第一级电路的差模电压增益AudI为:
通常,由式(5)、式(6)得:
设A3电路的差模、共模电压增益分别为Aud3、Auc3。
同样忽略输入偏置电流,则有:
测量放大器具有输入阻抗高、共模抑制比大等特点,因而得到了广泛的应用。但由于电路的分析复杂,通常只给出理想情况下放大器的差模增益,而难以给出其在非理想情况下的共模抑制比表达式。
本文以图1 所示的测量放大器为基础,在电路非理想情况下,对该电路抑制共模信号的原理进行了分析,并给出了共模抑制比的表达式,得出了放大器的共模抑制比约为第一级放大电路的差模电压增益和第二级放大电路的共模抑制比的乘积、抑制共模信号主要由第二级放大电路来完成的结论。该结论对测量放大器的设计和应用都具有一定的指导意义。

在图1 所示电路中,设运放A1和A2的差模、共模电压增益分别为Aud1、Aud2、Auc1、Auc2。如果忽略输入偏置电流,可以列出下列方程:

在实际电路中,为了提高电路抑制共模干扰的能力,第一级两个运放A1和A2的特性一致性要好第二级差动放大器中的4 个电阻要精密配合(R3=R5,R4=R6),并取R1=R2,且固定不变,通过改变RG来调整电路的增益。
由式(1)~(4)得放大器第一级电路的差模电压增益AudI为:


通常,由式(5)、式(6)得:

设A3电路的差模、共模电压增益分别为Aud3、Auc3。
同样忽略输入偏置电流,则有:
![]()
![]()

![]()
![]()
![]()
![]()
由式(14)可知,放大器的共模抑制比约等于
放大器的第一级电路的差模增益AudI与第二级电路的
共模抑制比KCMR3的乘积。
结论
测量放大器的第一级电路只对差模信号有一定的放大作用,而对共模信号几乎没有抑制作用,对共模信号的抑制作用主要由第二级电路来完成,放大器的共模抑制比约为第一级电路的差模电压增益和第二级电路的共模抑制比的乘积。
射频工程师养成培训教程套装,助您快速成为一名优秀射频工程师...
天线设计工程师培训课程套装,资深专家授课,让天线设计不再难...
上一篇:线性LED驱动器IC为何必然替代偏压电阻器
下一篇:LinkSwitch?-II设计手机充电器空载功耗可达到五星级标准
射频和天线工程师培训课程详情>>

