- 易迪拓培训,专注于微波、射频、天线设计工程师的培养
电子式互感器中数据采集系统误差补偿的设计与实现
随着电压等级的不断提高与电力系统规模的逐渐扩大,传统高压测试设备的绝缘问题日益突出,各种旨在解决超高压绝缘问题的测量方法应运而生。本文主要介绍了插接式智能组合电器中电子式光电组合互感器测试系统中的数据采集部分,分析了其静态与动态特性,并提出了相应的误差补偿方法。
电子式互感器测试系统
电子式互感器测试系统主要由数据采集、数据传输以及数据处理与输出3部分组成。基本电路结构如图1所示。

从图1可以看出,数据采集部分是整个测试系统的基础,对整个系统的准确度影响很大。由于采集系统采集的信号既有温度这样的缓变信号,又有电压、电流等周期信号,因此本文将对采集系统的静态及动态特性进行分析,以寻求改善采集系统性能的方法。
静态特性分析与误差补偿
静态特性指的是对采集系统加载静态信号后得到的性能指标,主要有线性度、直流增益、直流偏置、温度漂移等。
设x为系统输入,y为系统输出,k为系统的理想增益(通常为1),则可得:y=kx。若在采集系统满量程范围内均匀地选取m个输入点,且在每个输入点上采集n个数据,则:

进而拟合出输入与输出间的最小二乘回归直线:y=kx+b
即可得到偏置误差Ep=b,增益误差Ek=k-k0,非线性误差Enl=max(yi-k·xi-b)。
为了提高测量准确度,应采取相应的误差补偿。目前普遍采用多项式拟合的方法,通过对测量值y;的拟合,获取尽可能接近理论值的结果。拟合关系为:

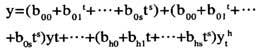
对电子式互感器而言,温度的影响不容忽视,偏置、增益误差以及非线性误差等都随温度变化而变化,用多项式拟合进行误差补偿时,必须考虑温度作用,因而可得出: 式中:a0,a1,……,ah(t)为多项式的系数,是温度t的函数。由于此时自变量有t和yt两个,所以不能按常规系数确定方法来进行求解,这里提出一种新的系数求解方法,在分别考虑t和yt的作用下进行求解。若在采集系统适用的温度范围内选取1个输入点,则可先假定温度tc(c=1,2,3……,1)不变,求取在该温度下的多项式系数。令:

对式中多项式系数分别求偏导,并令其为0,即可得到温度tc作用下的多项式系数。接下来就可分别求取1个不同温度下的多项式系数,然后再求解这些系数和温度间的拟合关系,求取方法与上述方法相同。
应当强调的是,误差补偿时多项式阶数应首先确定下来,也并不是阶数越高补偿效果就越好。高阶多项式在特定区间内的补偿效果可以是最佳的,但在该区间外则可能出现极大的误差。所以,阶数的选取不仅要考虑补偿的效果,还应当考虑补偿方法在拟合的过程也是先假定温度不变,求取一组多项式系数,然后再求取各组系数与温度间的多项式关系即可。多项式阶数的确定仍然采用静态误差补偿中的方法。
数据采集系统的实测结果
根据前面提到的方法,对数据采集系统的静态特性与动态特性的实测结果进行了误差补偿,在补偿过程中,静态特性与动态特性的多项式阶数均取为4阶,而多项式系数与温度间的拟合多项式阶数在2~5阶之间灵活设定。
结语
本文对数据采集系统的静态特性与动态特性进行分析,提出了温度变化情况下采集系统的误差补偿方法。该补偿方法效果明显,有助于改善整个测试系统的温度稳定性。 需要说明的是,本文从理论方面寻求最佳的补偿方法,而在实现过程中,如果必须考虑利用计算机或DSP芯片进行处理,就不利于对测量参量的实时处理。因此,应当根据实时性、准确性等综合要求来选取最合适的补偿方法。
整个量程范围内的可拓展性。通常是先设定误差补偿的上限,满足这个误差上限的多项式阶数的最小值即为最终确定的多项式阶数。
动态特性的评价及误差补偿
动态特性反映的是采集系统加载动态信号后的性能。具体到电子式互感器,分析动态特性时应先施加正弦波激励信号,然后通过傅立叶变换,获取输出信号的频谱特征,以此评价出采集系统的动态特性,进而提出相应的补偿方法。若采集系统容许信号的范围为±Ap,理想增益为k0(通常为1),则施加正弦信号:e(t)=Apsin(2πft+α)。
式中,f为正弦信号的频率;α为正弦信号的初相角。启动采集系统,得到采集数据xi(i=1,2,3,……,n)。对采集数据进行傅立叶变换后,直流和基波分量为:a(t)=Asin(2πft+β)+d。
其中,A为基波信号的幅值;β为基波信号的初相角;d为直流分量。
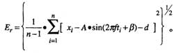
这样,增益误差为Ek=A/Ap-k0,偏置误差为Ep=d,实际有效值误差为:

再由采集系统的理想有效值误差Ei=0.289Ap/2b(b为模数转换器的位数),可以得到采集系统中模数转换器的动态有效位数:EB=b-log2(Er/Ei),进而定义出采集系统在频率f处对幅值为x的信号的采集准确度:
![]()
可见,采集系统的动态准确度将随着频率、幅值的变化而变化。考虑到电子式互感器是对工频量进行测量,因此暂不考虑频率变化的影响。不过,由于环境温度的变化对采集系统动态特性影响较大,进行误差补偿时,应当将环境温度变化带来的影响考虑进去。
动态特性的误差补偿依旧采取多项式拟合的方法,由于自变量有温度和幅值两个,所以采取下面的多项式形式进行拟合:
拟合的过程也是先假定温度不变,求取一组多项式系数,然后再求取各组系数与温度间的多项式关系即可。多项式阶数的确定仍然采用静态误差补偿中的方法。

数据采集系统的实测结果
根据前面提到的方法,对数据采集系统的静态特性与动态特性的实测结果进行了误差补偿,在补偿过程中,静态特性与动态特性的多项式阶数均取为4阶,而多项式系数与温度间的拟合多项式阶数在2~5阶之间灵活设定。
结语
本文对数据采集系统的静态特性与动态特性进行分析,提出了温度变化情况下采集系统的误差补偿方法。该补偿方法效果明显,有助于改善整个测试系统的温度稳定性。 需要说明的是,本文从理论方面寻求最佳的补偿方法,而在实现过程中,如果必须考虑利用计算机或DSP芯片进行处理,就不利于对测量参量的实时处理。因此,应当根据实时性、准确性等综合要求来选取最合适的补偿方法。
射频工程师养成培训教程套装,助您快速成为一名优秀射频工程师...
天线设计工程师培训课程套装,资深专家授课,让天线设计不再难...
上一篇:阳杰科技的LED
路灯照明项目选用欧司朗Golden
DRAGON
系列产品
下一篇:赛普拉斯智能照明解决方案支持日亚的Power
LED
产品

