- 易迪拓培训,专注于微波、射频、天线设计工程师的培养
一种新型低功耗两级运算放大器的实现
录入:edatop.com 点击:
1. 引言
随着IC设计集成度和复杂度日益增加,如何进行低功耗设计已成为了一个必须解决的问题。因此设计低功耗高性能的模拟集成电路将成为未来设计的关键。要降低功耗最直接的办法是降低电源电压,但随着电源电压的降低,特别是当它接近MOS 管的阈值电压时,模拟集成电路设计就会变得很复杂,当传统的模拟集成电路结构不能满足设计要求时,就需要采用新的技术和电路结构来满足电路在低电源电压下的正常工作。
目前实现低压模拟电路的方法主要有三种:亚阈值,衬底驱动和浮栅设计。采用亚阈值特性实现的低功耗电路主要是利用了MOS 晶体管在进入亚阈值区域时漏极电流不是马上消失,而是与栅控电压呈一个指数关系,每当电压下降80mV时,电流下降一个数量级,从而使功耗变小。但由于亚阈值电路的电流驱动能力较小,只适合部分电路设计。实现低功耗,主要是降低电源电压,但是受亚阈值导通的特性影响,标准CMOS 工艺中的阈值电压不会比深亚微米工艺的阈值电压有较大的下降,因此电路工作电压的降低将受到阈值电压的限制。
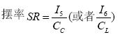
采用衬底驱动是解决阈值电压受限的重要途径,根据漏电流公式:
准浮栅技术由于与标准CMOS兼容并且性能优越,因此很多人预言,它将成为未来几年低功耗模拟电路设计的新方向。
2. 浮栅和准浮栅技术
浮栅技术[5] 最开始是用于存储器应用中,熟悉的EPROM,E^2PROM,FLASH 存储器都广泛地采用了浮栅技术。近年来,浮栅技术也被用于了模拟电路中。浮栅的工作原理是:一端与电气连接,也就是我们传统意义上的栅极,还有一个是没有引外线的,它被完全包裹在一层SIO2 介质里面,是浮空的,所以称为浮栅。
随着IC设计集成度和复杂度日益增加,如何进行低功耗设计已成为了一个必须解决的问题。因此设计低功耗高性能的模拟集成电路将成为未来设计的关键。要降低功耗最直接的办法是降低电源电压,但随着电源电压的降低,特别是当它接近MOS 管的阈值电压时,模拟集成电路设计就会变得很复杂,当传统的模拟集成电路结构不能满足设计要求时,就需要采用新的技术和电路结构来满足电路在低电源电压下的正常工作。
目前实现低压模拟电路的方法主要有三种:亚阈值,衬底驱动和浮栅设计。采用亚阈值特性实现的低功耗电路主要是利用了MOS 晶体管在进入亚阈值区域时漏极电流不是马上消失,而是与栅控电压呈一个指数关系,每当电压下降80mV时,电流下降一个数量级,从而使功耗变小。但由于亚阈值电路的电流驱动能力较小,只适合部分电路设计。实现低功耗,主要是降低电源电压,但是受亚阈值导通的特性影响,标准CMOS 工艺中的阈值电压不会比深亚微米工艺的阈值电压有较大的下降,因此电路工作电压的降低将受到阈值电压的限制。
采用衬底驱动是解决阈值电压受限的重要途径,根据漏电流公式:
![]()
准浮栅技术由于与标准CMOS兼容并且性能优越,因此很多人预言,它将成为未来几年低功耗模拟电路设计的新方向。
2. 浮栅和准浮栅技术
浮栅技术[5] 最开始是用于存储器应用中,熟悉的EPROM,E^2PROM,FLASH 存储器都广泛地采用了浮栅技术。近年来,浮栅技术也被用于了模拟电路中。浮栅的工作原理是:一端与电气连接,也就是我们传统意义上的栅极,还有一个是没有引外线的,它被完全包裹在一层SIO2 介质里面,是浮空的,所以称为浮栅。
|
图1 浮栅晶体管的结构及电气符号 它是利用了浮栅上是否存储电荷或存储电荷的多少来改变MOS 管的阈值电压,实际上是一个电压加权处理的过程。浮栅晶体管的一个最显著的特点是浮栅与其他端的电绝缘非常良好,在一般条件下,浮栅晶体管能将电荷保存达几年之久,而损失的电荷量小于2%。通过改变浮栅电荷,改变其等效阈值电压,从而实现所需要的功能。但由于它不能与标准CMOS工艺兼容,所以限制了它的应用。因此,Jaime Ramire-Angulo[1] 等人提出了基于浮栅技术的准浮栅技术。 准浮栅MOS管的结构同浮栅晶体管的结构类似,所不同的是他们的初始电荷方式不同,准浮栅NMOS(PMOS)晶体管是通过一个阻值非常大的上(下)拉电阻直接把浮栅接到电源VDD(GND)上,解决了它的初始问题。但是在集成电路工艺中,做一个阻值非常大的电阻是不太可能的,因为它电阻的值会随诸多因素变化,精确它的值就不太可能,而且大阻值的电阻会占用大量的芯片面积,也是不经济的。所以在COMS 工艺中可以用一个MOS管来代替电阻,将一个二极管连接的工作在截止区的MOS 晶体管来等效为一个阻值非常大的电阻。图2 所示了一个两输入准浮栅NMOS 晶体管。
|








