1 引言 随着电子技术的迅速发展,以单片机为控制核心的控制器件,已经全面渗透到测试仪器和计量检定的各个方面。同时,频率计作为一种常用工具,在工程技术和无线电测量、计量等领域的应用十分广泛。本文介绍了一种以PIC16F87X系列单片机为控制器的高分辨率频率计的实现方法。
该方法设计的频率计主要用来测量脉冲频率。它采用LCD图形液晶显示,清晰度高,可视范围广,可外接晶体频率源,具有测量速度快、分辨率高的优点。
2 设计原理
PIC16F877A单片机内部集成有捕捉/比较/脉宽调制PWM (CCP)模块。当CCP工作在捕捉(capture)方式时,可捕捉外部输入脉冲的上升沿或下降沿,并产生相应的中断。
PIC16F877A单片机内部还集成了定时器/计数器模块,在本方案中采用其中的TMR1作为定时器,该定时器的工作原理是通过TMR1"寄存器对"TMR1H:TMR1L从0000H递增到FFFFH,之后再返回0000H时,会产生高位溢出,并且将会设置溢出中断标志位TMR1IF为I,同时引起CPU中断响应。
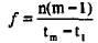
在均匀的脉冲序列中,脉冲频率值等于单位时间内发生的脉冲次数。根据这个原理,可以采用PIC16F87X系列单片机(本文以PIC16F877A型单片机为例)内置定时器模块TMR1计时,同时使用CCP模块的捕捉功能,每间隔n(n=1,4,16)个脉冲捕捉一次并产生中断,记录第1个和第(m-1)*n+1个脉冲到来时的定时器计时t1和tm,如图1所示。
 图1脉冲捕捉示意图 用被捕捉的脉冲次数除以第1次和第(m-1)*n+1次脉冲之间间隔的时间即可得到脉冲频率值。因此,脉冲频率值计算公式为:
3 被测频率值范围
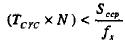
在测试过程中,需要特别注意的是,两次CCP中断的时间间隔必须大于1次中断服务的执行时间。否则,如果在中断服务程序执行时又发生CCP中断,就不能正常工作。
根据上述条件,则有:
由上式得到: 式中:
SCCP — 表示捕捉分频倍数。 fx — 表示被测频率t TCYC —表示系统时钟周期。 N —表示中断所需最小指令周期数。 设定:SCCP=16,N=40,TCYC= 4/20MHz = 0.2 us,则: fx<2,000,000Hz
由此可知,实际频率测量范围在0-2 MHz之间。
若需测量更大频率,可以根据需要在待测频率和CPU的CCP口之间接入相应倍数的分频器,每接入一个1/n倍分频器,可测频率范围可扩大n倍(如图2所示)。如在待测频率和CCP口之间接入三个1/10倍分频器,则可测频率范围为0~2 GHz。
 图2 CPU外接示意图 4 程序设计
4.1中断程序
中断程序流程图如图3所示。  图3中断子程序流程图 中断服务子程序如下:
void interrupt TMR I_CCP2_ini(void) { if(TMR1IF==I) //判断是否定时器中断 { TMRIIF=0; //TMR1中断标志位清0 TMR1ON=0; //关闭TMR1 TMR1L=0x00; //设置TMR1数据寄存器初始值 0x0bdc TMR1H=0x00; TMR1ON=1; //开启TMR1 time_count++; //定时计数器减1 } if(CCP2IF==1) //判断是否CCP2中断 { if(ccp_count==0) { TMR1IE=1; //允许TMR1中断 TMR1IF=0; //TMR1中断标志位清0 T1CON=0x30; //设置1:8分频,关闭TMR1 TMR1L=0x00; //TMR1数据寄存器清零 TMR1H=0x00; TMR1ON=1; //开启TMR1中断 } CCP2IF=0; //CCP2中断标志位清0 ccp_count++; //脉冲计数器加1 } }
4.2测试过程程序
程序流程图如图4所示。  图4 主程序流程图 测试过程程序如下:
unsigned long measure_course(unsigned char catch_mode) { time_count=0; //定时计数器清零 ccp_count=O //脉冲计数器清零 GIE=1; //允许全局中断 PEIE=1; //允许外围中断 TRISC1=0; //CCP2(RC1)输入 CCP2IE=1; //允许CCP2中断 CCP2IF=0; //CCP2中断标志位清0 CCP2CON=catch_mode; //设置捕捉脉冲模式 e(); //中断开始 while(1) //等待定时中断,时间到则退出 if(ccp_count==2) break; di(); //中断结束
TMR1ON=0; //关闭TMR1 CCP2CON=0x00; //关闭CCP2 CCP2IE=0; //关闭CCP2中断 CCP2IF=0; //CCP2中断标志位清0 TRISC1=0; //CCP2(RC1)输出 TMR1IE=0; //关闭TMR1中断 TMR1IF=O; //TMR1中断标志位清0 PEIE=0; //关闭外围中断 GIE=0; //关闭全局中断 …… } 5 性能评价
传统的频率测量方法有两种:一是测周期求频率,这样对被测频率信号的信噪比要求高,否则就会产生较大的误差;另一种是计算单位时间内所产生脉冲数量,虽然这种方法对信噪比要求不高,但是显示分辨率受到限制,并且会产生±1的误差。
本方案摒弃了传统的测量方法,采用测量脉冲个数及计算被测脉冲所经历时间的方法,完全避免了传统方法的弊端。
在本方案中,CPU接外频标(如图2所示),测量误差仅为时基误差,而较好的外频标的误差一般小于±10-9,因而测量结果的有效数字最少可达8位以上,使得低频测量与高频测量的有效位数一致。
6 结语
经过测试试验,使用该方法研制的频率计具有测量准确度高、使用方便、稳定可靠的优点,可应用于计量测试领域。同时由于使用软件控制,电路结构简单,使用硬件少,使得成本低廉且携带方便,因此也可广泛应用于工农业生产和居民生活中,具有推广价值。
射频工程师养成培训教程套装,助您快速成为一名优秀射频工程师...
天线设计工程师培训课程套装,资深专家授课,让天线设计不再难...
上一篇:车载GPS智能终端的设计与实现
下一篇:数字可调式高压直流稳压电源的设计
射频工程师养成培训课程套装,专家授课,让您快速成为一名优秀的射频工程师【More..】
网站地图
| | | |