- 易迪拓培训,专注于微波、射频、天线设计工程师的培养
利用阻性负载增强LNA稳定性(中)
本文提出了一个预测在放大器的输入和输出端口增加阻性负载以改善稳定性和噪声指数的新方法。该方法在宽广的频率范围内有效,能够用于低噪声放大器(LNA)和宽带放大器。
对于微波放大器噪声性能经常是一个关键因素。当噪声不可回避时,给放大器增加阻抗不可避免地降低了输出信噪比,不同的阻性网络配置能够给噪声性能带来显著的不同影响。由于这个原因,为了在放大器稳定性、增益和噪声性能间取得设计折中,预测各种阻性稳定技术对整个放大器噪声指数的影响非常重要。带离散参数的网络方法是现实可行的,因为有源器件的噪声性能被描述为系统反射因子。这在图4中说明,其中将电阻构模成级联网络中的有损失配双口元件。作为级联双口间衰减和阻抗失配的结果,放大器噪声随着阻性双口元件的增加而增加。
在图4中,考虑信号向右传播,输入匹配网络(IMN)将源阻抗Zg转换成合适的源反射系数ΓS,输出匹配网络(OMN)将负载阻抗ZL转换成合适的负载反射系数ΓL。这些偏僻配网络设计用来提供合适的阻抗变换,以实现最大跨导增益、最小噪声指数,或满足系统需求的其它放大器规格要求。
![]() |
![]() |
![]() |
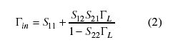
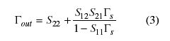
这里:ΓS= 向双口网络的源端观察到的反射系数;ΓL= 向双口网络的负载端观察到反射系数。
参见图4,从右到左顺序地应用等式2和ΓL及离散参数[S3],可以计算第m个双口网络的输入反射系数,这里m等于1到3。类似地,在图4中从左到右顺序地应用等式3,从ΓS及离散参数[S1]开始,可以计算第m个双口网络的输出反射系数,这里m等于1到3。因此,顺序地应用等式2和3能够决定整个网络的所有输入和输出反射系数。
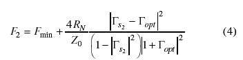
许多作者提供了有源和无源器件的噪声指数表达式。对于有源源器件,数字Fmin、RN、和Γopt是作为特定晶体管特征的噪声参数,而Z0是系统阻抗,通常是50Ω。借助这些参数晶体管的噪声指数表达为:
![]() |
这里:Fmin = 该器件的最小噪声指数;RN = 该器件的等效噪声阻抗;Γopt= 该晶体管的最佳源反射系数;ΓS2 (图 4) 导致最小噪声指数。
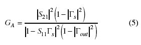
双口网络的可用功率增益定义为从双口网络可用的功率比从源可用的功率。数学上,这可表示为:
![]() |
有损双口网络的噪声指数可归结为工作温度T的函数:
![]() |
![]() |
一旦可得到独立双口网络的噪声指数,即可通过应用Friis的噪声方程得到整个稳定放大器的噪声指数:
![]() |
在这种情况下,下标1、2、3分别代表[S1]、[S2]和[S3]表示的双口(图4)。另外,在等式8中,下标1和3代表晶体管前后的有损双口网络噪声指数和增益(图4),下标2代表晶体管本身的噪声指数和可用增益。特别地,F1是带离散参数[S1]和反射系数ΓS1及 ΓOUT1的第一个阻性网络从等式6得到的噪声指数,GA1从等式5得到。噪声指数F3是带离散参数[S3]和反射系数ΓS3及 ΓOUT3的最后一个阻性网络从等式6得到的,GA1从等式5得到。最后,晶体管本身的噪声指数F2由等式4得到,晶体管可用增益GA2从等式5得到,使用离散参数[S2]和反射系数ΓS2及 ΓOUT2。
表中的最后两行,GT和Ftotal,为稳定放大器预测跨导增益和总噪声指数,匹配网络设计成晶体管输入反射系数ΓS2等于最佳反射系数Γopt。例如FHR02X HEMT的例子,该最小噪声成分在2GHz时是0.33dB。
这些结果中的特别有趣的是串联输出(情况4)与并联输出(情况5)相比比较提供了2dB额外的增益和好于0.1dB的噪声指数。并联输入输出配置(情况8)在整个频率范围内稳定,与串联输出相比提供了1.23dB的增益改善,仅有0.30dB的噪声指数劣化。这些比较表明,对于给定的应用为放大器提供可选的稳定网络,在增益、噪声和稳定性之间取得折中是可能的。
射频工程师养成培训教程套装,助您快速成为一名优秀射频工程师...
天线设计工程师培训课程套装,资深专家授课,让天线设计不再难...
上一篇:一种折叠共源共栅运算放大器的设计
下一篇:单电源运算放大器的偏置与去耦电路设计









