- 易迪拓培训,专注于微波、射频、天线设计工程师的培养
利用阻性负载增强LNA稳定性(上)
录入:edatop.com 点击:
本文提出了一个预测在放大器的输入和输出端口增加阻性负载以改善稳定性和噪声指数的新方法。该方法在宽广的频率范围内有效,能够用于低噪声放大器(LNA)和宽带放大器。
设计一个有效的低噪声放大器(LNA)需要高性能的晶体管。但大部分合适的器件在微波频率段存在着潜在的不稳定因素,导致振荡。幸运的是,晶体管输入或输出端的阻性负载可以预防所有无源和负载终端在目标频段上的振荡,而在其它频段上存在问题,带外震荡使可能的。
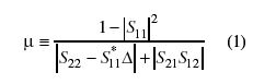
单独的稳定性参数 表示放大器的稳定性。对于无条件稳定放大器的性来说 >1是充分而必要的。这个参数可定义如下:
![]() |
为了理解在较宽频率段阻性稳定性的效果,必须决定包含晶体管和和稳定电阻的级联双口系统的等效传输参数。
![]() |
![]() |
![]() |
![]() |
图3显示带并入串出(曲线6)、并入并出(曲线8)稳定电阻的放大器在整个频率范围内稳定,在2GHz处没有增益损失,比较而言其它四种全部串联或并联的组合只能在有限的频率范围内提供稳定性。
本节显示对于FHR02X HEMT的特定情况,所有八种阻性网络都能至少在有限频率范围内稳定放大器。为了在更一般的情况下使用该技术,考察了一系列其它阻性加载的微波放大器所有八种阻性下的网络稳定性,应用了本节呈现的技术和不同厂家晶体管的离散参数。八种阻性网络的大多数结果与图3显示的类似。然而,部分晶体管在某些情况下,对于一或两种阻性网络,找不到在所有频率上使整个放大器的 值大于1的单个或配对电阻。因此,阻性负载对稳定性的改进强烈地依赖于具体晶体管的特性,以及电阻本身。
射频工程师养成培训教程套装,助您快速成为一名优秀射频工程师...
天线设计工程师培训课程套装,资深专家授课,让天线设计不再难...
上一篇:单电源运算放大器的偏置与去耦电路设计
下一篇:能处理宽电压范围的微微安培计电路
射频和天线工程师培训课程详情>>






