- 易迪拓培训,专注于微波、射频、天线设计工程师的培养
高准确度温度检测器改善了系统性能和可靠性
考虑到这一点,凌力尔特公司开发了高度准确的温度监视器系列,该系列产品可以非常容易地放置在系统各处。这个系列包括:
●LTC2997可准确测量其自身的温度或一个外部二极管的温度。
●LTC2996增加了监视功能,它将所测得的温度与一个高温或低温门限进行比较,通过开漏报警输出,就任何温度过高情况发出通知。
●LTC2995整合了LTC2996和一个双路电源电压监视器,能测量温度、将温度与可配置门限进行比较,并监察两个电源电压。
LTC2997是一款纤巧的高准确度温度检测器
LTC2997采用2mm x 3mm 6引脚DFN封装,非常适合测量FPGA或微处理器的温度,如图1所示。

图1:远端CPU温度检测器
为此,LTC2997向FPGA或微处理器的温度监视二极管发送测量电流,并在其VPTAT输出上产生与二极管温度成比例的电压。LTC2997还在VREF输出提供一个1.8V的基准电压,该基准电压可用作FPGA或微处理器中内置ADC的基准电压。对于这种采用外部检测器组件的配置,在0℃至100℃的温度范围内,其测量误差保证为±1℃,在 -40℃至125℃的温度范围内保证为±1.5℃。典型温度测量误差会是小得多的,如图2所示。

图2:温度误差随温度的变化 (LTC2997与远端二极管的温度相同)
通过将D+引脚连接到VCC,就可将LTC2997配置为使用其内部温度检测器。VPTAT电压有一个4mV/K的斜坡,每3.5ms更新一次。
[p]
工作原则
LTC2997在多个测试电流上测量二极管电压,并用该测量值消除任何受工艺影响的误差和串联电阻误差,因而实现了令人赞叹的准确度。
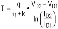
从二极管方程中可以解出T,其中T是开氏温度,IS是工艺影响因数,量级为10-13A,η是二极管理想性因数,k是波尔兹曼常数 (Boltzmann constant),q是电子电荷:

从这个方程看出,温度和电压之间是有联系的,其联系取决于受工艺影响的变量IS。在两个不同的电流上测量同一个二极管(IS值相同),产生一个与IS无关的表达式。自然对数项中的值变成了两个电流的比值,该比值是不受工艺影响的:

与远端二极管串联的电阻提高了在每个测试电流上所测得的电压,因此导致了正的温度误差。复合电压等于:

其中RS是串联电阻。
[p]
LTC2997通过减去一个消除电压 (参见图3a),从检测器信号中去掉了这个误差项。电阻提取电路用一个额外的测量电流 (I3) 来确定测量通路中的串联电阻。一旦确定了正确的电阻值,VCANCEL就等于VERROR。现在,由于串联电阻和检测器温度可以利用电流 I1和I2确定,所以温度至电压转换器的输入信号就免除了误差。
高达1k的串联电阻一般引起低于1℃的温度误差,如图3b所示,这使LTC2997成为读出与温度管理系统相距几米远的二极管检测器读数之理想器件。确实,最长距离更加受制于线路电容而不是线路电阻。大于1nF的电容会在各种不同的检测点上影响检测器电压的稳定性,因此引入了额外的温度读数误差。例如,一条10m 长的CAT 6电缆具有大约500pF的电容。

图3:串联电阻消除。(a)简化方框图;(b)温度误差随串联电阻的变化
与很多远端二极管检测器不同,LTC2997由于更新时间短(3.5ms),面对温度变化有可靠的温度测量算法,因此可以准确跟踪快速变化的温度,即使在测量间隔中也是如此。图4显示,当LTC2997整个置于冰水中之后立即浸入沸水中,该器件内部检测器的阶跃响应。

图4:LTC2997内部检测器的热阶跃响应
当应用于温度调节环路时,与数字同类器件相比,LTC2997有很多优势。它的快速响应时间和模拟输出温度消除了数字系统所需的大部分复杂性。例如,图5显示了LTC2997用于一个温度稳定在75℃加热器中的情况。在这个应用中,基准电压 (通过一个电阻分压器) 用来产生1.392V (= [75 + 273.15]K˙4mV/K)的目标电压。

图5:75℃模拟PWM加热器控制器
[p]
第一个微功率轨至轨放大器LTC6079对LTC2997的VPTAT输出和目标电压之差进行积分。积分所得误差信号由PWM振荡器转换为脉冲宽度调制信号,该信号再驱动PMOS开关,控制通过加热电阻器的电流。
LTC2997还可用来构成摄氏温度计(图6)、华氏温度计(图7)、具备冷结补偿的热电偶温度计(图8)、或用于其他无数需要准确升和快速温度测量的应用。

图6:摄氏温度计

图7:华氏温度计

图8:具备冷结补偿的热电偶温度计
[p]
LTC2996温度监视器
LTC2996在LTC2997的基础上增加了门限输入VTH和VTL,并持续比较VPTAT与这些门限,以检测温度过高(OT)或温度过低(UT)情况。门限输入电压可以便利地通过从内置基准电压的电阻分压器设定,如图9所示。

图9:具备过温和欠温门限的远端温度监视器
如果图9中远端二极管的温度升至高于70℃,那么VPTAT电压就会超过在VTH的高温门限。LTC2996检测到这种温度过高情况后,就将OT引脚拉低,以向温度控制系统报警。当温度降至低于 -20℃时,通过UT引脚以同样的方式沟通。请注意,只要温度超过相应门限的时间达到5个连续更新间隔 (每个3.5ms),LTC2996就接通开漏报警输出。OT和UT引脚具有连至VCC的内部400k 弱上拉电阻器,因此在很多应用中无需外部电阻器。
LTC2996可用来实现“Bang-bang”控制器,保持敏感器件 (例如电池) 的温度处于某理想温度范围内,如图10所示。

图10:“Bang-bang”控制器保持温度在0℃至100℃之间
在这个应用中,欠温输入门限设定为100℃,而过温输入门限则设定为0℃。这种看似颠倒的安排与以下事实有关:当超过门限时,UT和OT都被拉低。因此,在这个配置中,当温度保持在想要的范围 (高于过温和低于欠温) 内时,UT和OT将NMOS晶体管的栅极拉低,而且加热电阻器和冷却风扇都关断。如果温度升至高于100℃,那么欠温开漏输出UT就被拉高,并接通风扇。类似地,温度低于0℃时,接通加热器。
[p]
在使用电池的情况下,LTC2996还可用来监察由几节不同的电池组成的大型电池之温度。损坏、短路或破坏的电池一般会发热,而且在最坏情况下,还可能引起火灾。LTC2996仅需要最少的额外连线,就能单独监察每节电池的温度,如图11所示。

图11:监察电池组中电池的温度
事实上,如果(电池组中)电池是串联连接的,那么仅需要3条额外的连线 (VCC、GND和报警输出) 就可以监视任何一节电池的温度是否处于所希望的工作范围之内。如果电池是并联连接,而且监视的是端电压在2.25V至5.5V之间的电池 (例如锂离子电池),那么甚至仅需要一条额外的连线(报警输出) 就足以监察每一节电池的温度了。
LTC2995兼有温度和双路电压监视器/监察器
除了监视温度,几乎每一个电子系统都需要监察多个电源电压。为了满足这种需求,LTC2995整合了 LTC2996和一个双路电压监察器,从而可监视两条电源线的过压和欠压情况,如图12所示。

图12:双路OV/UV ±10%电源和75℃/125℃ OT/OT远端温度监视器
LTC2995每通道增加了额外的高压和低压输入,这两个输入持续与内部500mV基准比较。VH1或VH2电压一低于500mV,LTC2995就将UV输出引脚拉低,以指示出现了欠压情况。类似地,如果VL1或VL2上升至高于500mV,就拉低OV引脚,以指示出现了过压情况。
[p]
为了防止所监视的电源电压上的噪声导致寄生复位,在确定UV或OV之前,LTC2995的低通滤波器允许对比较器的输出进行积分。比较器输入端的任何瞬态都必须具有足够的幅度和持续时间,比较器才能触发输出逻辑。此外,LTC2995有一个可调的超时时长(tUOTO),在任何故障被清除之后,该超时时长可保持UV和OV处于确定状态。这种延迟最大限度地减小了频率高于1/tUOTO的输入噪声的影响。在TMR引脚和地之间连接一个电容器CTMR,超时时长(tUOTO)就可调了,这样就可以适应各种应用。
LTC2995包括温度测量和监视功能,这些功能提供了比LTC2997和LTC2996更大的灵活性。如果连接了外部二极管,那么LTC2997和LTC2996总是切换到外部模式,因此要测量内部二极管时,需要将D+连接到VCC,而LTC2995额外提供了一个二极管选择(DS)引脚,允许随时在内部和外部二极管之间切换。如果DS引脚处于浮置状态,那么LTC2995进入“乒乓”模式,在这种模式时,该器件以大约20ms为一个周期,交替进行内部和外部二极管测量。
最后,利用极性选择(PS)引脚,LTC2995可以配置为两个温度门限均为过温或欠温限制。这种功能允许系统分级响应温度变化。例如,用户也许想在温度上升至超过75℃时,得到一次警报 (例如接通风扇),在温度上升至超过125℃时,再得到一次警报 (例如关断系统),如图12所示。
结论
凌力尔特公司的准确温度检测器/监视器新系列可以将一个内部或外部二极管用作检测器,并产生与所测温度成比例的模拟输出。该系列包括纤巧的温度检测器以及整合的温度与双路电压监察器,可针对超出范围的情况发出报警信号。这些器件使其以最低的复杂性构建模拟温度控制环路或监视温度(和电压)变得容易了。
作者:设计部负责人 Christoph Schwoerer
设计工程师 Gerd Trampitsch
凌力尔特公司
射频工程师养成培训教程套装,助您快速成为一名优秀射频工程师...

