- 易迪拓培训,专注于微波、射频、天线设计工程师的培养
如何在高动态负载瞬变条件下优化供电质量
优化负载接线和旁路电容
在多数情况下,由于测试环境和物理尺寸等因素的限制,电源往往放置在距离被测IC电路几英尺的地方,使用长达数英尺的负载引线连接电源和被测件。负载引线布线阻抗能够快速降低IC的实际源阻抗。几乎所有的高性能程控电源均具备远端感应引线输入,通过远端感应测量出IC端的实际电压,并在电源的输出端做出相应的调整和补偿。在实际应用中,感应线的连接点要尽可能接近IC。然而,电源的电压调整环路只能在可控的带宽范围内,抑制感应点上的电压瞬变。当电源输出和负载引线呈现出过高阻抗时,IC的本地旁路电容器能够在这些频率上提供低阻抗。
以一个具有25A供电,伴有5A瞬变电流的应用为例。其中,电源电压设为2.5V,通过5英尺长的14 AWG布线连接至IC测试板。由于这属于低电压供电,因此如果电压有超过100mV的跌落,通常是不可接受的。14AWG线每英尺的电阻为2.5mΩ,由此,在电源输出和IC测试板之间的环路负载引线具有25 mΩ电阻。根据欧姆定律,我们可以计算出环路负载引线上可能出现的压降:

可以看出,负载引线电阻足以导致IC电路的电源输入端出现难以接受的压降;况且,负载引线上的电感(大约每英尺170Nh)只会让情况变得更糟。旁路电容(如图1所示)可以显著改善这一状况。

图1:负载引线网络与旁路电容器。
[p]
电源电压控制环路、负载引线网络和旁路电容之间的交互较为复杂。一些近似值能够帮助您了解如何选择旁路电容的大小。过程如下:
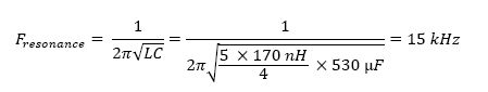
1. 计算峰值网络阻抗
根据下面的表达式,确定负载引线网络的指定峰值阻抗和旁路电容:

2. 计算旁路电容值
将指定峰值阻抗设为等同于由负载引线电感和旁路电容组成LC电路的特性阻抗。在本例中,假设有4条并联双绞线电缆运行,电感降低为原来的1/4。根据下面的公式,得出电容值。

3. 计算谐振电路的谐振频率
如果电源输出阻抗在LC电路谐振频率上高于 Zpeak,必须提高电容,以降低储能电路谐振频率,直至满足上述条件。

4. 选择指定的电容等效串联电阻(ESR),以适当衰减 LC电路的谐振
衰减不当的LC电路会出现振铃现象,也会破坏电源控制环路的稳定性,因此,必须适当衰减LC谐振。负载引线电阻、电容的ESR都会衰减LC电路的谐振。将LC电路中的电阻设为等同于LC电路的特性阻抗,可以得到0.5的阻尼系数,以实现更快的响应和更低的峰值电压。

如果需要的话,可以并联不同的电容组合,以达到期望的ESR值。
[p]
结果
图2显示了在使用 Agilent N7950A APS 动态直流电源时,负载上的电压瞬态响应。电源在设计中,专为低电压和高电流的工作特性进行了而优化,具有极低的输出阻抗,非常适合本应用。
图中显示利用N7950A APS电源给被测件供电,电压是2.5V。电流偏置是25A,电流的瞬态变化时5A。它们使用一对5英尺长、并行的14-AWG双绞线电缆供电,还有另外一对相同的远端感应线。在这里,我们可以明显看到三种情景:

图2:5A瞬时电流变化时, 电压的瞬态响应。
第一种情景(绛红色的迹线):在负载端并联了一个2000μF/10mΩ ESR的电容,可以看到负载端电压瞬态跌落是大约为2%,50mV。第二种情景(深蓝色的迹线):在负载端并联了一个539μF/15mΩ ESR的电容,可以看到负载端电压瞬态跌落是大约为4%,90mV。第三种情景(淡蓝色的迹线):没有并联电容,可以看到负载端电压瞬态跌落是大约为6.5%,130mV。
因此,当负载端并联的旁路电容高出4倍后,可使LC电路阻抗下降为原来的1/2左右,很大程度上改善了电压的瞬态压降。
总结
在本文中,我们探讨了当电源位于被测器件数英尺远时,它向动态负载提供稳定电压时会遇到的难题。尽管负载引线阻抗可能会严重降低高性能电源的瞬时响应性能,您仍能能够通过合理的配置, 为被测件提供符合测试指标要求的、稳定的供电。通过在被测件端,并联一个合适大小和特性的旁路电容,即便被测件的消耗电流出现快速瞬时的现象,也能极大改进输入负载的电压稳定性。
作者:Peyman Safa
安捷伦科技有限公司
射频工程师养成培训教程套装,助您快速成为一名优秀射频工程师...
天线设计工程师培训课程套装,资深专家授课,让天线设计不再难...
上一篇:穿戴式系统中的生物阻抗电路设计挑战
下一篇:基于MOST的互联网协议通信标准

