- 易迪拓培训,专注于微波、射频、天线设计工程师的培养
利用仿真来估计功率半导体的结温
在绝大多数电源变换电路中,温度最高的器件是那些功率半导体器件,包括二极管、MOSFET和IGBT。对于给定的电路拓扑结构,这些器件的热量的上升是所加电压、负载电流、开关频率、栅极驱动电路、封装类型以及安装方法等多种因素的函数。在上述因素中,前四个产生功耗,建模为热源,而后两个则应该建模为吸热体,因为它们从系统中转移出热量。
在开关模式电路里,对功率半导体功耗的一个较好的一阶估计是:P=DVI。这里I是通过功率半导体的平均传导周期电流,V是器件上的平均传导周期电压,而D则是占空比。
在实际电路中,电流是电路的函数,而电压则是电流、器件类型、结温和半导体控制方法的函数。例如,二极管的正向电压只是电流和温度的函数。工作状态中的MOSFET上的电压为IDRDS(on),即漏极电流与沟道电阻的乘积,RDS(on)则又是ID、栅极驱动和温度的函数。通态中的IGBT上的电压为V=VCE(sat)则是电流栅极驱动和温度的函数。
利用功耗乘以热阻来确定半导体的温升。这种分析方法的限制在于它过于简单化了功耗计算,没有考虑瞬态条件。虽然功率器件的数据表里都给出了热响应曲线,但利用它无法克服那些限制(图1)。
曲线中假定在占空比为D的功率脉冲为矩形,持续时间t,幅度为P。沿着曲线找到适合于电路占空比的点,对应到代表脉冲持续时间的水平轴的点。再从纵轴上读取热响应,然后用功耗乘以该响应值,便得到从外壳到半导体结的温升。

图1:,根据功率半导体数据表提供热响应曲线可以计算器件高于外壳温度的升高值。
该热响应曲线只能解决从外壳到结的温升。却无法考虑外壳的具体安装方法,安装方法贡献环境温度以上的温升,如完整的热堆模型所指示(图2)。

图2:功率半导体的热堆包括半导体结、基板、外壳或其他热接触材料、散热器和环境温度。
利用电路仿真器能够计算总的热响应,用的是解决问题的每个部分的不同工具和数据源,而不是一部分部分解决问题的方案。该仿真器还允许观察热系统对电路参数性能的影响,而这仅依靠手工计算或数据表分析的方法来实现则是极为困难的。
该电路仿真采用元器件模型和网络分析,非常接近每个器件在电路中的真实工作条件。该仿真器自动地计算功率器件的功耗,考虑到了电路的整个工作范围和器件模型,包括门极驱动、开关瞬变以及二极管反向恢复等。
不过,传统的电路仿真器计算功率是基于静态的热模型。换句话说, 它们只适应于仅与温度有关的器件行为。这对于低功率IC仿真来说是足够的,因为这种电路中的器件本身只产生很少的温升。但功率半导体有自身的发热,精确的仿真必须考虑器件特性的温度关联性。在静态的25℃器件模型的基础上,加上一个准动态的热分析模型,就可以克服上述的局限性(图3)。

图3:准动态热分析模型计算了功率器件的参数对温度的关联度。
Spice作为电子工程领域中的事实上的仿真器标准,能够实现宏模型中的热封包。常用的其它仿真器也能够实现带宏模型的热封包(thermal wrapper)。可以选择硬件描述语言来实现热封包,这些语言包括用于Ansoft公司Simplorer的VHDL-AMS, Synopsys公司Saber所用的 MAST,还有Cadence公司Spector仿真器所用的 Verilog。由于这些仿真器都可以使用宏模型,本文将重点集中到方案上,并以一个功率MOSFET作为一个实例进行建模。
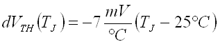
[p] 在我们的例子中,热封包必须实现两个与MOSFET参数相关的温度,这些参数包括门限电压VTH,还有充分提升了的通道阻抗,RDS(on)。VTH的温度系数近似为-7 mV/℃。RDS(on)的温度关联性模型用二次方程来描述比较好。实现这些数学关系是容易的,但如何导出激励这些函数的工作温度却是一个挑战。
热系统的模型通常是一个由Rs和Cs构成的梯形网络,具有一个与图1中的单个脉冲曲线相类似的阶跃冲激响应。绝大多数的MOSFET的数据表中都有图1中所示的梯形网络;而老式的数据表只提供曲线。在这个梯形模型中,功率类似于电流,而温度则与电压相类似。
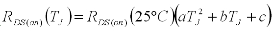
为热分析模型求得的第一项是通道电阻RDS(on)(TJ),它是温度的函数,所有的MOSFET数据表都以特性曲线的形式提供。利用一个简单的二次方程拟合程序可以提供该模型所需的3个系数:

仿真器根据器件的Spice模型来计算RDS(on)(25℃)。利用与温度相关的通道电阻的导出值,得到对RDS(on) 产生影响的自升温效应的表达式:

增加dRDS(on)作为与MOSFET漏极串连的电阻。
下一步是计算MOSFET的瞬时功率。忽略门极内连接电阻RG中的开关损耗, 被简化为:

该功率项被用作为热梯形网络的源(图4)。注意,数字应该是绝对值,因为无论电压或电流的符号正负与否,功耗始终为系统增加热量。该模型的输出是一个对应于TJ的电压。

图4:瞬态功率的仿真器计算结果作为一个电流源加到热网络上。
最后,VTH中相对于额定的25℃门限的变化被简化为:

该项被表示为一个与MOSFET门极相串联的浮动电压源。
利用手头的特性方程产生一个模型是很简单的事情,MOSFET数据表、Spice模型和热网络都可以从制造商获得,最新的MOSFET数据表都包括热网络。然后求出或计算出描述RDS(on)温度系数的二次方程系数。最后,实现包括计算dRDS(on)(TJ)方程,瞬时功率的绝对值,以及dVTH(TJ)的宏模型(图5)。

图5:完整的准动态热仿真模型提供了靠固定温度仿真和手工热分析无法实现的分析能力。
图5中的if-else语句说明仿真期间MOSFET的状态。如果VDS大于100mV,在通道中加入一个1微欧的电阻。该模型假定MOSFET充分导通,如果VDS小于100mV,将加入温度关联度电阻dRDS(on)。在这个简单的模型中,Ta为外壳温度。对这个热网络进行扩展是容易的,不过要包括散热器性能以及它对系统的影响。
作者:
David Divins
国际整流器公司
射频工程师养成培训教程套装,助您快速成为一名优秀射频工程师...

