- 易迪拓培训,专注于微波、射频、天线设计工程师的培养
设计开关电源转换器中电容阵列的数学方法
在便携音乐播放器和笔记本/桌面计算机等消费电子设备中,通常会包含ASIC、处理器、存储器和LED背光等器件。作为系统负载,这些器件需在合适的电压下才能正常工作,所以人们通常使用能改变电压的转换器为这些器件供电。电压转换器通常使用开关拓扑,电容器则在负载电流发生跃变时或在负载时变的情况下被用于解耦负载。
由于还没有一种计算方法能计算出充分且必要的电容量,所以,系统设计者在设计用于降压转换器输出端的电容阵列时,常常面临很多困难:或许会选择了较小的电容量,转换器的电压可能达不到要求进而导致负载工作不稳定;或许选择的电容量偏大,在元件成本和PCB面积方面造成浪费,进而额外增加消费电子设备的单位成本。
降压转换器自身带有电压反馈系统。电压反馈系统检测负载上的电压,然后,把检测到的电压与参考电压进行比较,将偏差放大并通过调整占空度来修正负载上的电压(图1)。
关于反馈环如何优化的问题属于另一个话题,本文暂不作探讨。借助电源芯片公司提供的高级仿真工具和计算工具,我们能很容易的实现降压转换器反馈系统的优化。
许多系统设计者没有弄清楚波特图、频域分析、暂态电压波形、以及时域分析之间的差别。实际上,它们是在两个域进行的分析:一个在频域,一个在时域。频域分析和时域分析在数学上可以通过拉氏变换函数进行转换。
波特图或频域分析可以方便地以图形方式显示出给定系统的过零频率(ZCF)和相位裕度,但很少能显示转换器在给定的阶跃载荷电流下的运行情况。这些信息也许对满足某些内部设计规则很有用。

图1:降压转换器自身带有电压反馈系统。
为什么分析阶跃响应如此重要呢?
处理器对电压变化范围的要求较为严格,电压范围由上限和下限给定,或由标称电压和容差(如正负50mV)给定。而硬盘或PCI总线电压轨对电压的要求较为宽松,能在几百毫伏的容差范围内可靠地工作。如果给反馈系统施加阶跃电流,则在反馈系统的输出端会出现一个相应的响应(阶跃响应),本文中则是以输出电压为例。因而,如果把阶跃电流或模拟负载电流施加到转换器的输出端,转换器的输出端将经历一个电压变化过程。如果电压变化过程的最小值和最大值保持在容限范围之内,负载将正常工作。
可以用电阻和开关FET产生阶跃电流函数。我们需计算出电阻值和FET门的压摆率(slew rate),并使之与真实负载的幅度和边缘速率相匹配。在使用电子负载时我们须非常小心,因为长线缆或寄生电感可能使阶跃电流变形,进而导致在输出端看不到阶跃响应。当负载边缘速率高时尤其应对这个问题给予关注。
在平衡态,除了开关纹波电流成分之外,开关转换器的电感电流和负载电流是匹配的。如果电感电流偏离负载所需要的电流,能量供求差异会导致输出电容的电压发生变化,此时输出电容就会以充电/放电的形式吸收或补充能量,进而保持输出电流稳定。
图2a和图2b显示了两个负载跃变的暂态过程,分别对应于经过优化和未经优化的反馈环,前者能量供求差异被降到最小,而后者能量供求差异较大。阴影区域显示在电感和负载之间的能量供求差异。


图2a, 图2b:两个负载跃变的暂态过程。
在本文中,我们假设反馈环经过了优化设计,能量供求关系如图3a所示。图3b显示在加载过程中由输出电容补充的电流量,图3c显示了在卸载过程中输出电容吸收的电流量。

图3a, 图3b, 图3c:反馈环经过了优化设计后的能量供求关系。
对电感两端的电压积分并除以电感值可计算出流过电感的电流。在加载过程中,转换器的占空比变成1。因而,如果把加载过程的起始时间设为t=0,则通过输出电容所补充的电流(如图3b)为:

在卸载过程中,转换器的占空比变成0。因而,如果把卸载暂态过程的开始时间设为t=0,则输出电容吸收的电流(如图3c)为:

其中,V(SUB/)in(/SUB)、V(SUB/)out(/SUB)、L分别是该降压转换器的输入电压、输出电压和电感值;I(SUB/)1(/SUB)是轻负载时的输出电流电平,I(SUB/)2(/SUB)是重负载时的输出电流电平。
图4为输出电容器的等效电路。

图4
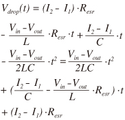
在图4中,C是等效纯电容,R(SUB/)esr(/SUB)是等效串联电阻。当输出电容器在加载过程中放电时,输出等效纯电容上的电压可通过对方程1积分得到:

输出电容器两端的总电压降为ESR两端的电压降和等效纯电容上的电压降的和,因而:

方程3是一个二次方程,在局部极点(local pole)处出现极值。局部极点发生在:

在方程4中,最大电压降发生在t = tlp_d,其值为:

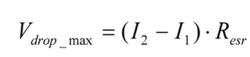
如果tlp_d是负数,那么最大电压降实际发生在t=0,因为在t>0区间是单调衰减的,因而,最大电压降为:

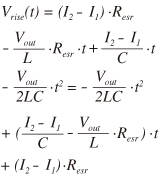
类似地,在卸载过程中输出电容充上了电,通过对方程2进行积分可得到输出电容器两端在等效纯电容上的电压提升:

输出电容两端的总的电压提升为ESR两端的电压提升和等效纯电容上电压提升的和,因而:

方程6是一个二次方程,在局部极点处出现极值。局部极点发生在:

最大电压提升发生在t = tlp_r,其值为:

如果tlp_r是负数,那么最大电压提升实际发生在t=0,因为在t>0区间方程是单调衰减函数,因而,最大电压提升为:

以图像处理器单元(GPU)为例,我们使用12V的三芯锂离子电池,通过降压转换器把该电压转换到1.5V来为GPU供电。在小功率和大功率模式,GPU的耗流量分别为0.5A和8.5A。保证GPU正常工作的电压范围为1.5V +/-75mV。假设降压转换器的电感值初选为2.2微亨,解耦电容为330微法并带有4毫欧的ESR,那么:
V(SUB/)in(/SUB) = 12 V,V(SUB/)in(/SUB)= 1.5 V,L = 2.2 μH,C = 330 μF,R(SUB/)esr(/SUB)= 5 mΩ,I(SUB/)1(/SUB)=0.5 A,I(SUB/)2(/SUB) = 8.5 A
把上述参数代入方程4和方程7,在加载过程(负载电流从0.5A跃升到8.5A)中,输出电容阵列上的最大电压降发生在t=0.36微秒,其值为32.9mV。
在卸载过程(负载电流从8.5A跃降到0.5A)中,输出电容阵列的最大电压提升发生在t=10.4微秒,其值为144.0mV。
重复试算可得到满足1.5V +/-75mV电压要求的最优值:C=720微法,R(SUB/)esr(/SUB)=6.2微欧。
陶瓷电容器ESR小但电容量也小,但陶瓷电容器的低ESR效应只在它保有能量期间(按C(dv/dt)=I计算)有效。电解电容器ESR大且电容量大,但电解电容器的大电容效应只表现在其谐振频率内(按R(SUB/)esr(/SUB)C计算)。聚合物钽电容器处于两者之间——ESR相对较小,电容相对较大。
用哪些器件来产生720微法电容和6.2毫欧ESR呢?可用两个330微法30毫欧(ESR)聚合物钽电容器和6个10微法2毫欧(ESR)陶瓷电容器构成一个电容器阵列。
在电容器阵列中,应根据器件的谐振频率递减的次序来安排电容器与负载的相对位置。陶瓷电容谐振频率最高,应最接近于负载,聚合物钽电容其次,电解电容离负载最远。
从方程4和方程7可以看出,选用小电感更有利于减少电压偏离。把电感从2.2微亨减小到1.2微亨将可把电容值从720微法削减到390微法。对降压转换器来说,电感值是一个重要参数,应综合考虑效率优化、电感纹波电流和输出电容阵列计算等因素。
作者:Takashi Kanamori
应用工程师
Summit Microelectronics公司
射频工程师养成培训教程套装,助您快速成为一名优秀射频工程师...

