- 易迪拓培训,专注于微波、射频、天线设计工程师的培养
如何解决大屏幕液晶显示器背光应用中的电流分配难题
白光可以来自单个白色LED;也可以由三个独立的色谱与LCD像素色彩滤波器非常匹配的R-G-B LED产生。该技术可以大幅提高发光效率和色彩范围,从而使显示效果更加清晰、鲜艳。目前采用CCFL背光灯的LCD只能产生70-80%的NTSC制颜色,而采用LED背光灯的新型显示器可以产生NTSC制式中定义的所有颜色,甚至还能产生NTSC定义范围之外的颜色。利用LED超快的开关时间,背光强度可以被调节,从而进一步增强图像对比度,减少快速运动图像产生的拖尾现象。
要想在小屏幕LCD监视器(一般是19英寸)中替换CCFL,可以在外壳四周部署三色LED器件来代替CCFL管。通常只是光源被更换(从CCFL到LED串),外壳、光导和光膜可以保持不变。而对较大尺寸的LCD(20英寸以上)而言,由于要求较高的光通量,可以在LCD面板背后直接部署LED矩阵,并使必要的扩散层和光膜夹在这些LED矩阵之间。LED矩阵大小随面板尺寸而变,一般为几百个LED。为了确保均匀的照明,需要在标准的光膜上使用专门的衍射散射层。随着技术的进步,半导体芯片的输出亮度会越来越高,因此串联式或矩阵式LED中的LED数量可以变少,从而进一步降低材料和系统成本。
当然设计师还必须面对诸多的挑战,比如在温度变化和LED逐渐老化的情况下保持光谱的一致性。不过这种技术是很有前途的。一些主要的笔记本电脑制造商正计划推出更多采用LED背光灯的产品。大屏幕电视机制造商也已经在这方面投入大量资源,因此LED背光灯有望在消费类市场中越来越流行。
最近在背光灯面板技术方面有所突破,已经可以在LCD的背光面板中使用最新推出的高亮度白色LED。这些新的LED需要封装尺寸非常小、功率达200W的4V直流电源。这种设计采用的是一家非上市公司发明的专利技术,这家公司致力于开发和销售创新的高动态范围(HDR)图像技术。这种技术可以用来制造更高亮度的显示器。通过使用增强型视频处理算法调整LED的亮度,所发出的亮度可以比传统的LCD高10倍。背光灯中的每个LED都是独立可寻址的,因此光强度可以逐帧甚至逐个微区域地动态改变。这种技术可以实现更高动态范围的显示器,与以前技术相比可以使黑的地方更黑,亮的地方更亮,从而显著提高图像的清晰度。该技术已经在一些高端成像设备使用的大屏幕显示器(37和46英寸高清晰显示器)中得到应用。
这些新的LED需要封装尺寸非常小、功率可达200W的4V直流电源。以前的产品都是使用一个500A的5.5V电源,在显示器中处理这么大的电流分配非常困难。中转总线变换器(BCM)是一种V·I晶片模块,设计用于大功率LED应用以解决电流分配问题。BCM采用了Vicor公司获得专利的正弦幅度转换器(SAC)拓扑结构,具有先进的功率密度、效率和低噪声性能。BCM的外形尺寸只有1.1平方英寸,典型重量为15克,可以提供一个隔离和降压电压供非隔离负载点转换器(niPOL)使用。由于它具有快速响应和低的输出噪声,负载端常用的寿命有限的铝电解或钽电容可以被减少或取消,从而有效节省电路板面积、材料和总体系统成本。
现在系统可以用更低的电流分配48V电压到任意位置,然后再局部降压至大电流的4V。每块大板上有4块小板组成1个系统,因此每个系统中总共有16个BCM。结果是每块板运行于200A、4V的电源。相反,如果系统由一个大电源支持,它需要一个800A的电源,当然这样的电源是很危险的。这就是为何20A的48V电压被分配到各个板的原因,这种电源具有更高的可管理性和相当好的熔断性。
BCM因为以下几大因素而成为恰当的解决方案。首先是BCM的尺寸和效率,它不需要使用任何专门的散热器。其次,它工作在48V的安全电压(SELV)。BCM还能提供针对不同应用优化了的不同标准的输出电压。通常上述应用中的系统输入电压需要调整到4.1V至4.2V的工作电压。由于BCM是一种转换器而不是一种稳压器,设计师可以使用高达48V的输入电压来获得他们所需的指定输出电压。
其它背光方案要求用恒定电流来驱动串连着的大功率LED阵列。一般来说,恒定电流是用来确保可预测的发光亮度和色度值。V·I晶片非隔离预稳压模块(PRM)稳压器和倍增电流电压转换模块(VTM)电压变换器虽然主要设计用于利用自适应环路稳压方法提供稳定的电压,但也可通過簡單的電路修改而達至恒定的输出电流。
与传统方法相比,使用PRM和VTM提供恒定电流具有许多优点。在系统中使用VTM可以倍增负载点的电流,VTM的输出电流正比于它的输入电流(如以下公式1所示)。
![]() |
其中K是VTM的K系数,或简单地将其称之为降压比。
[p]
因此在受控的电流应用中,可以通过检测和调节VTM的输入电流来控制其输出电流。检测更低的电流需要更小的传感器,从而消耗更低的功率,提高总体效率。另外,V·I晶片本身也具有很高的效率和功率密度,使得整个LED系统体积小、温度低,并能使每瓦功耗得到的输出流明数最大。
大多数已知的LED类型可以用单个PRM+VTM对驱动。PRM用内部电压环路预先进行配置,以便将PRM的输出电压调整到一个设定值。PRM的内部工作原理应该非常好理解,因为外部恒流电路是设计与内部电压控制环路一起工作的,可以通过改变PRM电压参考值来调节VTM的输出电流。
PRM内部电压控制环路的简化框图如图1所示。内部参考通过一个10k的电阻和0.22uF的电容连接到PRM的SC端口,用于实现软启动功能。SC电压可以通过增加外部电阻或施加外部电压进行调整。SC端口处加的电压不应超过6Vdc。
![]() |
| 图1:PRM内部误差放大器的功能图。 |
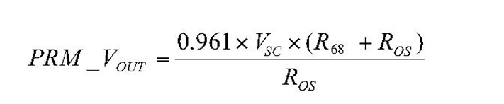
SC电压经缓冲后通过电阻分压器反馈给误差放大器,其中电阻分压器被表示为0.961的增益块。R68形成了电压检测电阻分压器的上半部分。这个电阻对每个PRM来说都是固定的。分压器的下半部分是通过在OS引脚和SG(ROS)之间增加一个电阻形成的。公式1将PRM输出定义为VSC和ROS的函数。从公式1可以看出,对于给定的ROS电阻,调整SC电压可以确定PRM输出电压。这就是外部电流控制电路控制输出所采用的方法。
![]() |
其中:VSC是PRM的SC引脚处的电压,ROS是OS与PRM的SG之间的电阻,R68是PRM内部电阻。
推荐的电流控制电路如图2所示。由于VTM是一个电流乘法器,VTM的输出电流可以由它的输入电流进行调节。这种方法的优点是可以在VTM电流乘法电路之前(在更高的电压点)检测电流,从而减少外部分流电路的I2R功耗。另外,控制电路保持在主电路(PRM)侧,因此无需隔离反馈信号。
![]() |
| 图2:推荐的电流控制电路,该电路由电压参考、分流电阻、差分放大器和误差放大器组成。 |
上述电路由电压参考、分流电阻、差分放大器和误差放大器组成。低端检测电路是在PRM输出端用配置为差分放大器的一个运放实现的。分流电阻(R1)上的电压经检测并被放大电阻R2到R5确定的增益倍数。参考电压使用精确可调的分流参考产生,并连接到误差放大器的同相端子。这是误差放大器用以与差分放大器输出(VSENSE)比较的电压。误差放大器的输出(VEAO)经过电阻R7和R8连接到SC,从而实现PRM输出设置点的调整。误差放大器将调整PRM输出电压,直到VSENSE等于参考电压VREF。这将迫使VTM输入电流以及VTM输出电流成为由VREF确定的常数。
带一个简单的外部电流检测电路的PRM可以用作恒流源。VTM将分比式总线电压变换为从0.8到55V的适合不同颜色LED的电压(例如,6V用于蓝色LED、14V用于琥珀色,24V用于绿色)
分比式电源架构(FPA)的灵活性允许相同的PRM驱动用于不同颜色LED的不同VTM(不同的K因子),同时由于只使用另外一个PRM模型,在不同的输入源电压下相同的VTM可以保持不变。另外,VTM可以放置在大电流的负载点旁以尽量减少电压下降和功耗。
在上游增加一个带高压BCM总线转换器(380V)的PFC前端后,就能向下游中的PRM/VTM或BCM提供一条48V总线,用于驱动针对不同颜色(低功率LED)的LED驱动器。这将成为一个PFC交流到直流电源,可向0.8V到55V的大功率LED阵列供电。
48V到4V BCM是一种高效率(>94%)、窄输入范围的正弦幅度转换器,采用了新型的直流-直流转换器拓扑结构,可以用来给非隔离式POL转换器供电,或用作一个独立源。BCM非常小,面积只有1.1in2每平方英寸功率达210W,而且重量轻,只有0.5盎司,但功率密度可达876W/in3。 PRM是一个非常高效率的非隔离式稳压器,可以接受宽范围的输入电压,并通过升压或降压技术提供稳定但可调的输出电压或“分比式总线”。PRM可以单独用作非隔离式稳压器,也可以与VTM一起实现完整的、具有较高效率和功率密度的隔离式直流-直流解决方案。VTM可以提供负载点、固定比例的电压转换功能,并具有特别快速的瞬态响应和2250Vdc的隔离度。 作者:甄家荣
高级应用工程师
Vicor公司
射频工程师养成培训教程套装,助您快速成为一名优秀射频工程师...





