- 易迪拓培训,专注于微波、射频、天线设计工程师的培养
基于ICB1FL02G的高功率节能灯设计
本文探讨了采用ICB1FL02G控制芯片实现高功率节能灯镇流器的方法。采用该芯片实现的高功率节能灯电子镇流器可以提供高功率因素(PF)、可编程的预热过程、灯管寿命终了(EOL)保护,以及其它众多保护功能,极大的提升了高功率节能灯的使用寿命和安全性,外围电路的缩减使镇流器的小型化和高可靠性也成为了可能。
现在对于照明质量的要求正日益提高。对于办公楼宇、商场照明和户外泛光照明而言,有两种光源的发展趋势值得我们注意。一种是高强度放电灯(HID),另一种就是本文将要介绍的高功率节能灯。高功率节能灯的发光效率可以达到80lm/W,显色指数可以达到90以上,同时具有低成本、长寿命的特性。对于传统的节能灯来说,功率普遍在35W以下,构成镇流器的电路也相对比较简单,通常用自激电路或简单的芯片就能实现,没有功率因素校正(PFC)功能。但是对于大功率节能灯来说,这样的电路就远远不能满足其自身要求了。

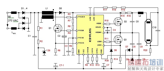
图1:采用ICB1FL02G的120W节能灯电路图。
英飞凌科技公司推出的一款用于荧光灯和大功率节能灯电子镇流器的控制芯片ICB1FL02G,包含了独特的控制特性和全面的保护功能,可以用最少的外部元件实现单个或者多个灯管的操作。其芯片内部集成了PFC控制器和半桥控制部分,并且针对T5灯管的特殊要求进行了优化。针对灯管的保护功能有:可编程预热以延长灯管寿命、寿命终了保护(EOL)、容性模式保护、灯管整流效应和直流状态保护、灯管移除保护,以及点灯电压保护。
ICB1FL02G共有两个功能模块,第一个功能模块是BOOST PFC电路的控制,第二个功能模块是半桥逆变电路的控制。在PFC控制电路中,这款芯片工作在临界导通模式,并内置了数字式的PI滤波器。与传统的控制芯片相比(例如TDA4863),它减少了两个引脚。在半桥逆变控制电路中,用于驱动半桥高压侧浮地MOSFET的驱动是利用了芯片集成的空心变压器这种专利技术,使得高低压隔离能力达到了900V,满足了一些特殊规格的需要。镇流器的预热频率、预热时间和灯管工作频率只需要外部电阻就可以设定。高度集成化也使得在大功率节能灯应用中的紧凑化成为可能。
120W节能灯设计
接下来以一款欧司朗公司的120W节能灯为例,详细阐述其设计过程。电路原理图如图1所示。镇流器的一般参数设定如表1所示:

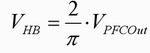
图2:ICB1FL02在PFC极的保护。
当主输入信号接入后,电流流经R1和R2给电容C7和C7-1充电,此刻芯片消耗的电流典型值在100μA以下,直到供电电压VCC达到10V。超过此电压后,管脚RES端会输出一个20μA的电流,用于检测低压侧灯丝的存在。只要RES脚的电压低于1.6V就认为灯丝是完好的。同时高压侧从PFC输出电容C2那里,会有一个电流通过电阻R15和R16流向高压侧灯丝,然后此电流通过电阻R17、R18和R19流入LVS1。当电流大于15μA时灯丝就被视为完好的。当此芯片用在单灯管的节能灯时,需要把不用的LVS脚接地,以屏蔽此检测功能。检测无异常,则芯片进入正常工作状态,半桥驱动电路开始工作。
PFC极工作原理及设计
在逆变桥运行的同时,PFC BOOST转换器中的Q1也开始工作。工作原理与传统临界导通模式下的控制芯片并无很大差异,只是在负载减小到一定程度后,会最终进入断续模式(DCM)。何时进入DCM取决于内部数字PI滤波器的输出。开关工作在零电压开通模式,其工作频率随输入电压而变化。PFC电感可由以下3个公式中的最小值来确定。

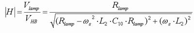
图3:从启动到稳态工作的频率和灯电压变化。
最低输入电压时:
最高输入电压时:
轻载进入DCM时:
其中PFC效率ηPFC为0.95,TON_MAX为IC内部固定,为23.5μs。PFC拥有完善的保护功能,涵盖了PFC过压、欠压、开环及过流保护。其保护框图如图2所示。因此在选择PFC极电压和电流采样电阻时,要注意其相对应的保护门限。
半桥逆变电路工作原理
ICB1FL02G逆变半桥电路的典型工作过程如图3所示。刚开始半桥逆变电路以固定的125kHz运行,在10ms固定时间内通过16步递减到由R12所决定的预热频率。预热的时间可以通过调整R13的阻值,在0到2,000ms之间选择。然后工作频率还会在40ms时间内继续下降128步,最后运行在由R5决定的稳态工作频率下。
在点灯状态下,因为谐振回路没有负载,灯管会承受高电压,谐振回路里会流过比较大的无功电流。电阻R14检测这个无功电流。当管脚LSCS的电压检测到高于0.8V时,工作频率会停止下降,然后上升一段时间,之后再继续下降,直到再次触发此0.8V阈值或灯管被击穿。通过这种检测,如果灯没被点亮,点灯状态的时间会从40ms增加到235ms,同时灯管上的电压会保持设定的电压值。如果在预热结束后的235ms内灯还未击穿,稳态工作频率无法到达,则IC将进入故障保护模式。可以通过移走灯管或者重启输入电压的方式进行重新启动。
位于半桥输出端的C6、D7和D8形成一个充电泵,通过C7给IC供电。同时C7经R30和D6给高压侧逻辑控制供电电容C4供电。另外,C6可以调节电压的变化率,并可以制造产生零电压开关的条件。
在逆变桥正常工作模式时,如果工作频率轻微地偏离ZVS状态,并靠近谐振网络的容性区域时,因为充电泵电容C6的开关状充电,在开关管开通瞬间会产生尖峰电流。这样的情况被称为容性模式一(Cap Mode 1)。如果此情况持续时间500ms以上,IC会进入故障保护模式。第二种情况就是谐振网络完全进入容性状态,MOS管在开通瞬间有极大正向电流流过,此情况称为容性模式二(Cap Mode 2)。在这种极端高损耗工作情况下,只要超过610μs,IC亦会进入故障保护模式。
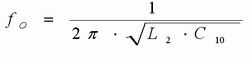
容性模式的检测是通过C8和C9电容的分压来实现的。每次下管Q3开通的瞬间,如果检测到RES脚的电压超过VRESLLV之上VREScap(典型值0.24V)值时,则进入容性模式一。每次上管Q2开通的瞬间,如果检测到RES脚的电压低于VRESLLV之上VREScap值(0.24V)时,则进入容性模式二。保护点如图4所示。

图4:Cap Mode 1 和Cap Mode 2 保护检测点。
逆变桥的过流检测是通过R14来实现的。在任何情况下,当LSCS脚的电压超过1.6V并维持400ns以上时,芯片进入故障保护模式。
当荧光灯接近EOL状态时,灯管的电压会变的不对称或者会升高。通过管脚LVS检测到流过电阻R17、R18和R19的电流,可以对应测量到灯管上的电压。通过R17、R18和R19流入LVS的电流门限是±215μA。超过此电流则灯管在610μs后进入寿终保护状态。同时,如果灯因为老化而进入半边击穿状态,则LVS脚会检测到一个直流电。此直流电流如果超过±175μA,则经过610μs后芯片亦会进入寿终保护状态。此外,当LVS脚检测到灯管当次正(负)极峰值电压与下次负(正)极峰值电压的比值超过1.15或低于0.85时,这种灯管电压不对称的整流效应状态就会被检测到。当这种状态超过500ms时IC也会进入寿终保护模式。LVS2脚和LVS1脚是等同的,单灯工作条件下须将不用的LVS脚接地。

表1:镇流器工作参数设定。
半桥逆变电路设计
在了解了ICB1FL02G的工作过程和保护模式后,就可以对半桥逆变电路进行参数设计了。首先需要确定的是谐振网络L2和C10的参数。
谐振网络入端电压有效值:
稳态工作谐振网络增益必须满足下式:
是稳态工作的角频率。除L2和C10外,其余皆为已知项。C10会同时影响到稳态工作时的灯丝电流,因此为了让灯丝电流不会太大,增加无谓的损耗,初选C10=10nF,则由上式可得L2=734μH。正常工作时的灯丝电流为:
可得到稳态工作时的灯丝电流为IFila=0.44A,然后再计算预热频率fPH。假设
是谐振网络的自然频率,
是预热角频率和谐振网络自然角频率之比,
是谐振网络的入端特征阻抗。则根据预热电流可得到下式:
,即
从上式可得到Δ。需要注意的是Δ值必须大于1,才能实现预热时半桥电路的ZVS工作。可得Δ=1.46。所以预热频率
,预热时灯管的电压有效值是
,这个电压足够低而不会使灯管被点亮。
点灯频率可由下式得到:
知道了fS、fPH、fIGN和TPH这些参数,则下列参数就可以确定了:
设定稳态工作频率:
设定预热频率:
设定预热时间:
点灯时流过谐振电容C10的电流峰值为
,在此刻必须通过R14电阻限流来限制点灯时灯管两端的电压。因为LSCS脚上在点灯时的电压门限是0.8V,所以
,然后是LVS端检测电阻设计。假设我们把灯管正常工作电压的1.5倍来设定EOL门限,则
,之后根据阻值级别来选择合适的电阻。
对于限流电阻R15和R16,可由最低输入电压和最高LVS灌电流来确定。查看数据表可知最高LVS灌电流ILVSSINKMAX=26μA。
灯管低端灯丝检测电阻R20可由下式确定
,选择R20=56kΩ。最后就是分压电容C8和C9的选定。为了得到足够大的滤波能力,选择C9=10nF,然后在RES脚电压变化幅度在2V的情况下,C8可以按下式选择
,这样,逆变电路的所有参数就可以确定了。
本文小结
本文探讨了用ICB1FL02G实现高功率节能灯镇流器的方法,介绍了ICB1FL02G的工作原理,并基于OSRAM 120W高功率节能灯进行了整个电路的主要参数设计。用此线路实现的镇流器具有高功率因素、可编程的预热过程、完整的EOL保护、容性模式保护、及灯管移除保护等功能。这种方法提升了高功率节能灯的使用寿命和安全性,实现了节能灯的良好工作状态,此外,外围电路的缩减实现了镇流器的小型化和高可靠性。
作者:王卿
应用工程师
汽车、工业与多元化电子市场部
英飞凌科技(中国)有限公司
射频工程师养成培训教程套装,助您快速成为一名优秀射频工程师...
天线设计工程师培训课程套装,资深专家授课,让天线设计不再难...
上一篇:基于仿真的设计集成提高混合动力车辆的可靠性
下一篇:可拍照手机的LED闪光灯实现方案

