- 易迪拓培训,专注于微波、射频、天线设计工程师的培养
改善降压转换器效率的设计经验
本文介绍了一种采用连续电流模式(CCM)、固定频率的脉宽调制(PWM)降压转换器结构。所讨论的原理同样适用于其它转换器结构,但不能直接套用本文的公式。为了说明降压转换器的设计,我们举例说明元件参数值的计算。有四个设计参数是必需的:输入电压范围、输出电压、最大输出电流和开关频率。图1列出了这些参数和所需的基本元件。
电感的选择
设计降压开关转换器时对电感值的计算要求很严格,首先假设转换器工作在CCM模式,CCM意味着关断时间内电感不会完全放电。下列公式假设使用的是理想开关(导通电阻为零,关断电阻无穷大,零开关时间)和理想二极管:
(1)
fSW为降压转换器的开关频率,LIR为电感电流比例因子,表示IOUT的百分比(例如300mAp-p的纹波电流与1A输出电流之比=0.3A/1A = 0.3LIR)。
LIR取0.3可以很好地平衡效率和负载瞬态响应,增大LIR(允许更大的电感纹波电流)会加快负载瞬态响应,减小LIR(降低电感纹波电流)会减慢负载瞬态响应。图2描述了瞬态响应与电感电流的关系(给定负载电流,LIR的取值范围是0.20.5)。
电感的峰值电流决定了电感的饱和电流,同时也决定了电感的尺寸。当元器件的温度升高时,电感线圈的饱和会降低转换器的效率。可以通过下式计算电感的峰值电流:
, 其中

按照图1所列出的参数,可以计算出电感值为2.91uH(LIR = 0.3)。选择一个接近计算值的标准电感,如2.8μH,并确定其饱和电流大于所计算的峰值电流(IPEAK = 8.09A),选择足够大的饱和电流(10A)有助于补偿电路的离散性和元器件数值的差异。可以接受的裕量是高于计算值的20%,这时电感的最大直流电阻(DCR)是58mΩ。为了减小功耗,要选择尽可能小的DCR。选择不同供应商的电感,要看其最大DCR而不是典型值,最大值能够保证在最坏工作条件下的器件特性。

图1:连续电流模式、固定频率的脉宽调制降压转换器所需的基本元件和参数

图2:瞬态响应与电感电流的关系
[p]
输出电容的选择
降压转换器的输出电容是为了降低电压过冲和输出纹波,输出电容的容量不足会产生较大的电压过冲,较大的电压纹波是因为输出电容容量不足或较高的等效串联电阻(ESR)。电路设计中都会给出电压过冲和纹波指标,为了达到要求,一定要选择足够大的电容容量和较低的ESR。稳压输出端的负载从满负荷突降为零时,要求有足够大的输出电容,以防止储能电感对输出电压产生影响,使其高于最大稳压值。输出电压过冲可由下式计算:
(2)
重新整理上式,可得:
(3)
Co是输出电容,ΔV是最大输出电压过冲。
设置最大输出电压过冲为100mV,由上式计算输出电容为442uF,加上20%的典型容差,实际输出电容为530uF,最接近的标准电容为560uF。单独考虑电容引起的输出纹波时,纹波输出电压为:

输出电容的ESR决定了输出电压的纹波,可由下式计算:

注意,如果输出电容的ESR很低可能会引起转换器工作不稳定。不同器件的工作稳定性不完全相同,所以选择输出电容时一定要仔细阅读其规格书,并注意其稳定性。
输出电容及其ESR引起的输出电压纹波为:
(4)
重新整理上式,可以得到:
(5)
比较好的降压转换器的输出电压纹波通常小于2%。对于560uF的输出电容,公式5计算得出最大ESR为18.8mΩ。因此选择ESR低于18.8mΩ,容值大于560uF的电容。为了获得较小的ESR,可以并联多个电容。图3给出了输出电压纹波和输出电容及ESR的关系。这里采用了钽电容,较低的ESR有助于控制输出纹波。

图3:输出电压纹波和输出电容及ESR的关系
[p]
输入电容的选择
输入电容的纹波电流决定了容值和尺寸,下式用于计算输入电容所能控制的纹波电流:

图4所示是电容纹波电流和降压转换器输出/输入电压比的关系曲线。最差工作条件是输入电压等于两倍的输出电压(VOUT/VIN=0.5),产生IOUT (MAX) /2的纹波电流。

图4:电容纹波电流和降压转换器输出/输入电压比的关系曲线
降压转换器的输入电容与其输入阻抗有关,对于普通电路,每安培输出电流要求10uF到22uF的输入电容就足够了。从图1给定的参数,可以得到输入纹波电流为3.16A,可选择40uF的输入电容并根据测试结果进行调整。
不要选择钽电容作为输入电容,这种电容在失效时通常会造成“短路”。陶瓷电容和铝电解电容是首选,它们没有这一失效模式。当PCB面积和器件高度受限时,陶瓷电容是很好的选择,但是陶瓷电容可能会引起音频噪声。陶瓷电容中的铁电(ferroelectric)电介质与压电现象相互作用,导致纹波电压引起PCB机械振动。聚合物电容没有这个问题,虽然它也会失效,但比钽电容好得多,所以比较适合用作输入电容。
二极管的选择
功耗是选择二极管的主要因素,最差工作条件下的平均功率由下式计算:
(6)
VD是给定输出电流IOUT(MAX) 时二极管两端的压降(硅二极管的典型值为0.7V,肖特基二极管为0.3V)。要保证所选的二极管能够耗散这些功率,为了保证电路可靠工作,还要保证最大反向击穿电压高于最大输入电压(VRRM≥ VIN(MAX)),二极管的正向导通电流一定要满足或超过最大输出电流(IF(AV)≥ IOUT(MAX))。
[p]
MOSFET的选择
选择MOSFET有一定的困难,所以很多工程师选择内置MOSFET的调节器。但是,在同等封装的DC-DC控制器内集成大功率MOSFET,成本很难控制。所以内置MOSFET的转换器最大输出电流一般不超过3A到6A,要求更大电流时需外置MOSFET。选择适当的外置MOSFET前,必须了解其最大结温(Tj(max))和最高环境温度(TA(max) ),Tj(max)不应该超过115℃到120℃,TA(max)不应该超过60℃。下式可以计算MOSFET所允许的最大温升:
(7)
把Tj(max)和TA(max)代入公式7,可以得到MOSFET的最大温升是55℃。通过最大温升可以算出MOSFET的最大耗散功率:
(8)
MOSFET的封装和PCB的覆铜面积会影响到MOSFET结到周围环境的热阻系数(θjA)。如果规格书中没有给出特定的θjA,对于标准的SO-8封装(没有裸露焊盘),一盎司的覆铜,安装面积一平方英寸,可近似取值为62℃/W。θjA和覆铜面积之间不存在固定的线性关系,如果覆铜面积小于一平方英寸,θjA会快速减少。公式8中使用θjA= 62℃/W得到最大允许功耗为0.8 W。
MOSFET功耗由导通电阻和开关损耗引起,导通电阻损耗由下式计算:
(9)
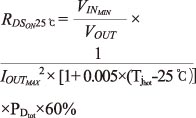
因为很多规格书中给出的最大RDS(ON)是在25℃下的指标,可能需要估计温度在Tj(hot) 时的RDS(ON),凭经验,任何温度下可以用0.5%/℃作为计算最大RDS(ON)的系数,因此:
(10)
假设导通电阻的损耗占MOSFET整个损耗的60%,可以由公式10得到公式11,25℃时的最大允许导通电阻:
(11)
开关损耗只占MOSFET功耗的一小部分,但仍需考虑。利用下式可以粗略估计该值,比较好的实验测试是在热电偶上方安装N1。
(12)
CRSS是N1的反向传输电容,IGATE是控制器的峰值栅极驱动电流,N1是高边(high side)MOSFET。
假设栅极驱动电流为1.0A,反向传输电容为300pF,公式11产生的最大RDS(ON)25oC约为26.2mΩ,重新计算导通电阻损耗和开关损耗得到功耗为0.676W。由此得到MOSFET的最大温升为101℃,在可接受的温度范围内。
降压转换器的效率
降低功耗可以延长电池寿命、减小热耗。下式可用于计算每一部分的功率损耗:
射频工程师养成培训教程套装,助您快速成为一名优秀射频工程师...
天线设计工程师培训课程套装,资深专家授课,让天线设计不再难...
上一篇:汽车应用中的IGBT功率模块
下一篇:采用Freeze技术的FPGA实现低功耗设计

