- 易迪拓培训,专注于微波、射频、天线设计工程师的培养
滤波电容在电压调整电路中的应用分析
在消费类电子产品系统中,体积越来越小,器件摆放越来越密,模拟、数字部分已很难通过布局有效分开,系统设计工程师往往在电源网络中使用很多电容,衰减高频数字噪声,期望能“净化”电源,减少对模拟电路的干扰。
在电压调整器中,在输入、输出端通常都各有一只电容,跨接在输入、输出管脚和地(GND)之间。输入电容的主要作用是滤除交流噪声,抑制输入端的电压变化。而输出电容的作用,除了构成反馈环路的一部分之外(增加一个额外的零点,当然不可避免的也要带来一个极点,提高环路的相位裕量),还可以抑制由于负载电流或者输入电压瞬变引起的输出电压变化。从某种角度来说,滤除交流噪声与抑制电压突变在本质上是一回事,那就是去除交流信号。
电容的特性
不同介质种类的电容,其自身特性相差甚远。在描述电容的特性之前,我们需要了解以下几个参数:
电阻—符号R,是指通过导体的直流电压与电流之比,单位为欧姆。
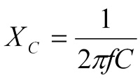
电抗—符号X,是交流电路中由电感和电容引起的阻抗部分,包括感抗(XL)和容抗(XC),单位为欧姆。
阻抗—符号Z,是一个复合参数,实部为电阻,虚部为电抗,单位为欧姆,所以阻抗也可以表示为:Z = R + jX。
电导—符号G,是指通过导体的直流电流与电压之比,电阻的倒数,单位为西门子。
电纳—符号B,是导纳的虚数部分,包括容纳(BC)和感纳(BL),单位为西门子。
导纳—符号Y,是阻抗Z的倒数,也是一个复合参数,实部为电导,虚部为电纳,单位为西门子,也可以表示为:Y = G + jB
导纳Y通常表示的是器件并联的情况,而阻抗Z表示的则是器件串联的情况,见图1。
其中,






图1:阻抗与导纳的表示方法。
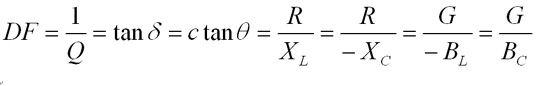
所以对于串联的器件组合,如果θ>0℃,则说明器件两端有感性,越接近90℃,感性越强,当θ=90℃时,为纯感性器件。同样θ< 0℃,则说明器件有容性,越接近-90℃,容性越强,当θ=-90℃时,为纯容性器件。常见的几种类型的电容特点如表1所示,

表1:不同种类电容的优缺点。
现实中并没有纯电阻,也没有纯电容或电感,都是这几种理想器件的组合。实际的电解电容的等效电路可以表示如图2所示。其中:Ra—介质吸收引起的电阻,Ca—介质吸收引起的电容,RLE—漏电引起的电阻,RL—引线引起的电阻,LL—引线引起的电感。实际的多层陶瓷电容的等效电路则可以如3表示,对于用作滤波作用的电容,当然不希望有ESL,即使在高频也保持良好的容性,即θ等于或接近-90度。

图2:电解电容的等效电路。
电容特性的实际测量
因此,我们只需要测量出电容引线两端的串联电阻(RS)、串联电容(CS)、串联电感(LS)、阻抗(Z)以及夹角(θ)在对应频率下的值,即可以较为全面地评估电容的特性。下面以Rubycon YXF系列电解电容为例,使用安捷伦的4284A Precision LCR Meter测试,得到表2中的数据。

表2:Rubycon YXF系列电解电容测试数据。
从以上数据看出,50V/10uF电解电容,当f>800k,失去容性,呈现弱感性。表3则是Taiyo yuden贴片多层陶瓷电容16V/1uF、16V/0.1uF的测试数据。所以以上两颗电容在1MHz频率以内,都保持较高得Q值,呈现出良好得容性特征。
![表3:多层陶瓷电容测试数据[测试条件:Vbias=0V,Vac=1.0V]。](http://www.edatop.com/uploadfile/2017/0919/20170919014617875.jpg)
表3:多层陶瓷电容测试数据[测试条件:Vbias=0V,Vac=1.0V]。
电容的并联效果
既然实际的电容特性与理想电容有一定的差距,那么接在输入、输出端的滤波电容到底产生了什么样的作用呢?有的应用手册上给出,使用两颗电容并联到GND,一颗容值较大的电解电容,另一颗是容值较小的陶瓷电容,比如C1=10uF,C2=0.1uF,为了研究并联的交流特性,加入一只电阻R0,等效成如下电路,交流特性的影响是由两只电容引起的,如图4所示。

图3:多层陶瓷电容的等效电路。

图4:两只电容并联的交流等效电路。
其中R0为信号源内阻,R1为电容C1的等效串联电阻,R2为电容C2的等效串联电阻。传输函数可以表示成下式,

从上式不难看出,系统包括两个极点,两个零点。


,当满足条件C1>>C2,R1>>R2时,极点可以表达成下式,


以上面50V/10uF电解电容,和16V/1uF陶瓷电容的数据作为依据,对上述器件进行如下赋值,ESR取f=100kHz的值。R0 = 1Ω,C1 = 8.21uF,C2 = 0.997uF,R1 = 774mΩ,R2 = 190mΩ,图3网络的频率特性如图4所示,
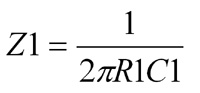
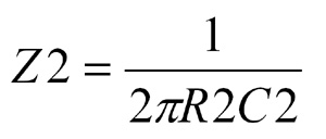
从上图看出,在紧接着第一个极点P1之后,出现了第一个零点Z1,它是由R1、C1形成的,如果没有电容C2,AC曲线将保持水平,不再有衰减。正是由于C2的存在,使得增益在通过第二个极点P2之后继续衰减,直至第二个零点Z2。因此要使两只电容并联的增益衰减更多,可以将Z2外移,也就是使电容C2以及R2远小于C1、R1。
这是假定电容C、ESR在所有频率下都是定值的条件下,用MATHCAD计算出的理想曲线。实际上,根据上表中的数据告诉我们,C、ESR会随着频率而变化,而且在高频时会出现ESL,考虑到这些因素,得到的曲线如图5所示。图6是使用网络分析仪(Agilent 4395A)得到的实际频响曲线。

图5:两只电容并联的幅度相位频率特性。

图6:根据实测数据计算出的频率特性。
在频率小于100kHz时,图5与图6几乎没有差别,大约在f>700kHz,由于ESL的作用,增益上翘。当满足条件R1×C1 = R2×C2时,根据上式系统可以简化成一个极点,一个零点。现实中满足这种条件的有两种情况,两只电容C1、C2完全相同,意味着类型、容值、ESR和频率特性等一样。

图7:网络分析测到的频率特性。
容值与ESR成反比,对于同一类型的电容,实际上也基本满足这个规律。此时其零、极点变为
零点 -> 
极点 -> 
实际上此时可以等效成1个电容,它的容值为两个电容的并联Ce = C1//C2,ESR为两个ESR并联Re = R1//R2。
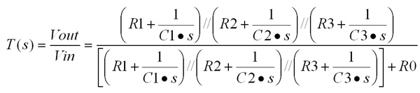
三只电容并联的情况如图8所示,传输函数可以表示成

图8:三只电容并联的交流等效电路。

从上式不难看出,系统包括三个极点,三个零点。
假定上述器件给出值如下,R0 = 1Ω、C1 = 10uF、C2 = 1uF、C3=0.1uF、R1 = 2Ω、R2 = 100mΩ、R3=50mΩ,网络的频率特性如图9,
衰减是第一个极点P1开始,到最后一个零点Z3结束。P1是由C1、R0+R1引起的,Z3是由C3、R3引起的。同样类似的情况,当满足R1×C1 = R2×C2 = R3×C3时,仍可以等效成一只电容,其容值为三个电容的并联Ce = C1//C2//C3,ESR为三个电阻并联Re = R1//R2//R3。
对于线性电压调整器,用户只关心输出端的交流噪声。这个噪声只有两个来源,一个是来自输入端,一个则是来自调整器本身。幸运的是,来自BCD新一代线性电压调整器能够很好地解决这两个问题。芯片本身出色的PSRR性能,可以很好的抑制来自输入端的交流噪声,尤其是在低频部分;而自身的输出噪声很低,几乎可以忽略。比如AP2121,PSRR为70dB,从DC可以持续到1kHz、10Hz ~ 100kHz之间的噪声电压只有30uVrms。因此在使用AP2121时,根本不需要再额外使用多个电容并联,尤其是大的电解电容,就可以得到干净的电压源。

图9:三只电容并联计算出的频率响应。
本文结论
为了实现更好的噪声衰减,当使用多只电容并联时,应选择ESR与C各不相同的电容,这样可以使衰减曲线从第一个极点开始,一直到最后一个零点结束,容值最大的那只电容决定了衰减的起始频率,容值最小的那只电容决定了衰减的终止频率,并且务必减小引线长度,防止出现ESL。当使用AP2121高PSRR、低噪声线性电压调整器时,只需要使用一颗片式陶瓷电容,推荐值1uF。
作者:
王玉
系统工程师
BCD半导体制造有限公司
射频工程师养成培训教程套装,助您快速成为一名优秀射频工程师...
天线设计工程师培训课程套装,资深专家授课,让天线设计不再难...
上一篇:提高汽车电子产品可靠性的新方法
下一篇:超级电容提升移动电话的音频质量和电源性能

