- 易迪拓培训,专注于微波、射频、天线设计工程师的培养
HDTV彩电高压产生电路设计
HDTV扫描电路工作频率范围较宽,随着行频升高行管的有功功耗成倍的增加,使传统的行偏、高压产生二合一电路的行输出级行输出管的工作电流大幅增加,从而引发了高温和大功率驱动等一系列设计难题。本文介绍了一种用于HDTV彩电的同步锁相PWM控制型CRT阳极高压产生器的工作原理及电路设计,该电路可产生32KV的高压,电压调整率小于1%。
高清晰度彩色电视机(HDTV)通常要兼顾显示3种视频图像模式:经数字化处理过的模拟电视信号格式,如PAL倍行/倍场、PAL60和PAL75电视信号格式等;高清晰度电视图像格式,如1080i@50HZ、1080i@60HZ、720P高清电视信号格式;VGA计算机图像格式,如VGA640×480、VGA800×600计算机图像格式等。
一般满足这种要求的扫描电路工作频率范围较宽,例如要求设计扫描电路能够工作在行频fH =28kHz~48kHz,场频fV=50Hz~75Hz范围内。随着行频升高,行管的有功功耗成倍增加,且CRT管本身的高压有功功耗也达到60瓦以上(32英寸、16:9东芝管),致使传统的行偏、高压产生二合一电路的行输出级行输出管的工作电流大幅增加,从而引发了高温和大功率驱动等一系列设计难题。因此,采用与行输出级分开的独立高压产生电路已成为设计工程师解决该类问题的首选方案,该方案与传统的行输出方案相比,其负载由行偏转线圈及高压包组成的一个负载变成两个独立的负载,使得单元电路功率经分配后大大降低,并提高产品的可靠性。此外,由于高压和行输出电路的独立大大减小了高压与行电流的相关性,这对于多频扫描电路至关重要。设计工程师可根据所提出的指标要求独立地对高压单元设计,如采用反馈控制电路来确保显示系统在不同的扫描格式及不同的图像内容下保持高稳定度的CRT阳极高压。
设计原理
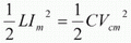
采用与行输出级分开的独立高压产生电路的方案原理如图1所示。当开关S导通时,B+向电感L充电,电流按图中实线方向线性增长。在TON结束时电流达到最大值ILM,此时电感L上储存的磁能为:

当电子开关S关断后,因L两端的电流不能突变,因此,电感L向电容C进行充电,且在T2时电感电流下降为零,此时电容C上充电的电能可以用下式计算:

此时C的电压为上正下负。在电感L上的电流降为零时C又向L充电,但其电流方向相反,如图1虚线所示。随着充电电流的增加,电容C的电压逐渐减小,并在τ3时将电能放尽。定义Tr=(τ3-τ1)为逆程脉冲宽度,可推出仅与L和C的参数值有关:

在τ3至τ4阶段,电感的电能又以电流形式放出,但此时电感L的感应电动势为上负下正,因此二极管D导通,将此段的电能释放回电源B+中去,二极管起到阻尼作用。由图1同名端的标记可知,高压二极管DH只在逆程脉冲期间导通,因此负载RL只在S关断期间才产生能耗。根据能量守恒定律,S导通期储存的能量应等于S断开期间释放的能量,即:

式中PO为负载RL吸收的能量。由(4)式可推导出在高压束流等于零时(既PO=0)逆程脉冲电压公式的表达式。在(4)式中,若PO=0,则PL=PC。由式(1)、(2)得:

故 



又因为 
得: 公式9>

由9式可知,逆程电容C两端逆程脉冲的幅度与供电电压B+和开关导通时间TON成正比。如果取开关S的激励信号为行频方波TH ,则有TON=TOFF=1/2TH,式9可简化为:
图3是按式(10)原理设计的高压产生器基本电路。图中,S2、D2、L2组成降压式B+电源,其输出电压受A点PWM占空比控制。而开关S1则由行频方波来控制产生逆程脉冲Vcm。由(7)式可知,当TH一定时,行逆程脉冲幅度与B+成正比,而高压HV为nVcm(n为高压变压器匝数比),只要行逆程脉冲幅度稳定,则高压稳定。而由功率守恒公式(4)可知,在B+一定时,行逆程脉冲幅度随着次级负载功率的增大而下降。实际的情况是,当B+=100V且CRT阳极电流为零时,实测Vcm=1000 Vp-p。当加大阳极电流到1.5毫安时,行逆程脉冲幅度随之下降至850Vp-p。
图3的工作过程为:当阳极电流增加导致HV下降,经R5取样后控制电源管理电路TL494输出PWM的占空比增大,从而控制S2导通时间变长,B+电压上升,将Vcm逆程脉冲幅度补回原值,使得HV保持稳定。
图4是控制并稳定阳极高压HV的取样控制电路,其中S2是取样电压输入端,S1是PWM控制信号输出端。由图中可以看出,其主要PWM控制是由TL494来完成,其内部由两个取样放大器、一个锯齿波发生器、一个比较器和一个可接成射随或反相器的输出级组成。其工作过程是:取样电压选取后经C15、R13、C9组成的低通滤波器滤除杂波,然后送至由TL494管脚1、2和3组成的误差放大器进行误差放大,其增益由R1、C2、C1组成的反馈网络决定。
调整图中R1和C2的值可改变PWM控制灵敏度,R4、C3是内部锯齿波发生器的定时电路,由Q1组成28kHz~48kHz宽频锁定同步振荡,Q1受行同步脉冲控制。TL494的4管脚是最大占空比控制端,高电压禁止。利用此管脚与R17、C16组成输出软启动功能。S3是过压控制输入,当HV因不正常原因而高于设定值时,稳压管D6击穿导通,将4管脚电压提高,使PWM占空比下降甚至停振,起到过压保护作用。TL494的另外一组误差放大器,即管脚14、15、16与Q5电路组成行逆程监测电路,受控于行偏转输出电路的行逆程脉冲。当行偏转电路发生故障时,行脉冲消失,Q5截止,TL494的16管脚电位升高,控制内部PWM停振使高压消失。
作者:庄万春
高级工程师
Email: zwc@newskyworth.com
隋功浩
创维集团彩电事业部数字研发中心HDTV研究室
射频工程师养成培训教程套装,助您快速成为一名优秀射频工程师...
天线设计工程师培训课程套装,资深专家授课,让天线设计不再难...
上一篇:通信系统电源设计的挑战、趋势与应用实例
下一篇:采用经济的20V
MOSFET技术提高台式计算机和服务器的DC-DC变换器效率

